Scientia Agricultura Sinica ›› 2026, Vol. 59 ›› Issue (7): 1361-1379.doi: 10.3864/j.issn.0578-1752.2026.07.001

• CROP GENETICS & BREEDING·GERMPLASM RESOURCES·MOLECULAR GENETICS • Previous Articles     Next Articles

QTL Analysis of Yield-Related Traits in Both Huangnuo2# and Changbai7# of Perennial Chinese Rice

PENG TingShen1(), LU JiuYan1, WU MeiLin1, YAN YuXin1, LIU HongZhou1, NAN WenBin1, QIN XiaoJian1, LI Ming1, GONG JunYi2, LIANG YongShu1,*()   

  1. 1 Chongqing Normal University/Chongqing Key Laboratory of Plant Environmental Adaptation Biology, Chongqing 401331
    2 China National Rice Research Institute, Hangzhou 310006
  • Received:2025-08-26 Accepted:2025-10-13 Online:2026-04-08 Published:2026-04-08
  • Contact: LIANG YongShu

Abstract:

【Objective】The analysis of quantitative trait loci (QTL) underlying yield-related traits of perennial Chinese rice laid a good foundation for fine mapping, cloning, and functional research of yield-related traits genes. Meanwhile, it also provided technical support for revealing the genetic mechanism of yield-related traits in perennial Chinese rice and breeding perennial rice variety.【Method】Two perennial Chinese japonica rice, namely, Huangnuo2# (HN2#) and Changbai7# (CB7#), and two half-sib (Huangnuo2#/XieqingzaoB and Changbai7# /XieqingzaoB) F2 populations and their bi-parents were selected as experimental materials. Sixteen yield-related traits, including heading date, plant height, and thousand-grain weight of HN2# and CB7# in major crop (MC) and ratooning crop (RC) of 2024, were investigated for phenotypic analysis. Fifteen yield-related traits, including plant height, panicle plant-1, and thousand-grain weight, in HN2# and CB7#-populations and their bi-parents were investigated for phenotypic analysis and QTL mapping.【Result】Between MC and RC of 2024, seven yield-related traits of HN2#, including heading date, plant height, and thousand-grain weight, exhibited significant phenotypic differences (P<0.05). Three yield-related traits of CB7#, including plant height, grain setting density, and grain weight panicle-1, displayed significant phenotypic differences. Among 15 yield-related traits, 34 pairs of significantly positive correlations were calculated in the HN2#-population. A total of 39 pairs of significantly positive correlations were calculated in the CB7#-population. Exactly 29 QTLs were detected in the HN2# -population, accounting for 2.61% to 29.41% of the phenotypic variation. Thirteen novel QTLs were detected in the HN2#-population. Of these, seven QTLs with additive effects were derived from HN2#, and the other six with additive effects were derived from XQZB. Five pleiotropic QTL were detected in the HN2# HN2#-population. A total of 22 QTLs were detected in the CB7#-population, accounting for 2.77% to 27.94% of the phenotypic variation. Ten novel QTLs were detected in the CB7#-population. Of those, six QTLs with additive effects were derived from CB7#, and the other four with additive effects as well were derived from XQZB. Five pleiotropic QTL were detected in the CB7#-population. 【Conclusion】These novel and pleiotropic QTL are unique to HN2# and CB7#, which should be the primary focus of future research.

Key words: perennial Chinese rice, yield-related traits, major crop, ratooning crop, genetic analysis, QTL analysis

Fig. 1

The field performance of perennial Chinese rice HN2# and CB7# in April 2024 A-D: HN2#; E-H: CB7#"

Fig. 2

The field performance of HN2# and CB7# and their yield traits in both MC and RC of 2024 A-E: The field performance of HN2# and its yield traits in MC of 2024; F-J: The field performance of HN2# and its yield traits in RC of 2024; K-O: The field performance of CB7# and its yield traits in MC of 2024; P-T: The field performance of CB7# and its yield traits in RC of 2024"

Table 1

Phenotype of 16 yield-related traits of HN2# and CB7# in both MC and RC of 2024"

性状
Traits
黄糯2号HN2# 长白7号CB7#
正季 MC 再生季 RC t测验值 t test value 正季 MC 再生季 RC t测验值 t test value
抽穗期HD (d) 124.00 131.00 12.40** 95.00 94.00 0.00
株高PH (cm) 103.60 110.40 2.38* 107.20 116.20 6.07**
单株有效穗数EPP 14.80 17.80 1.26 18.60 33.60 1.63
穗长PL (cm) 23.84 23.90 0.03 19.72 20.82 0.10
穗实粒数FGP 120.60 107.00 1.43 174.00 234.40 2.42
穗空粒数UGP 23.20 46.00 1.37 25.40 26.60 0.29
穗粒数SP 143.80 153.00 0.53 199.40 261.00 2.43
结实率SSR (%) 84.00 72.05 1.41 87.10 90.12 1.27
穗粒密度SSD 6.04 6.37 1.03 10.11 12.45 3.31*
单穗重GWP (g) 3.17 2.31 6.53** 3.97 4.72 2.82*
单株产量GYP (g) 32.26 24.42 3.28* 49.41 91.93 1.70
粒长GL (mm) 7.36 8.17 6.24** 7.13 7.06 0.82
粒宽GW (mm) 3.56 3.37 1.44 3.33 3.42 1.08
粒厚GT (mm) 2.47 2.28 2.13 2.14 2.13 0.27
粒长宽比 LWR 2.07 2.44 3.72* 2.14 2.07 1.26
千粒重TGW (g) 26.66 20.76 3.10* 22.14 22.40 0.47

Fig. 3

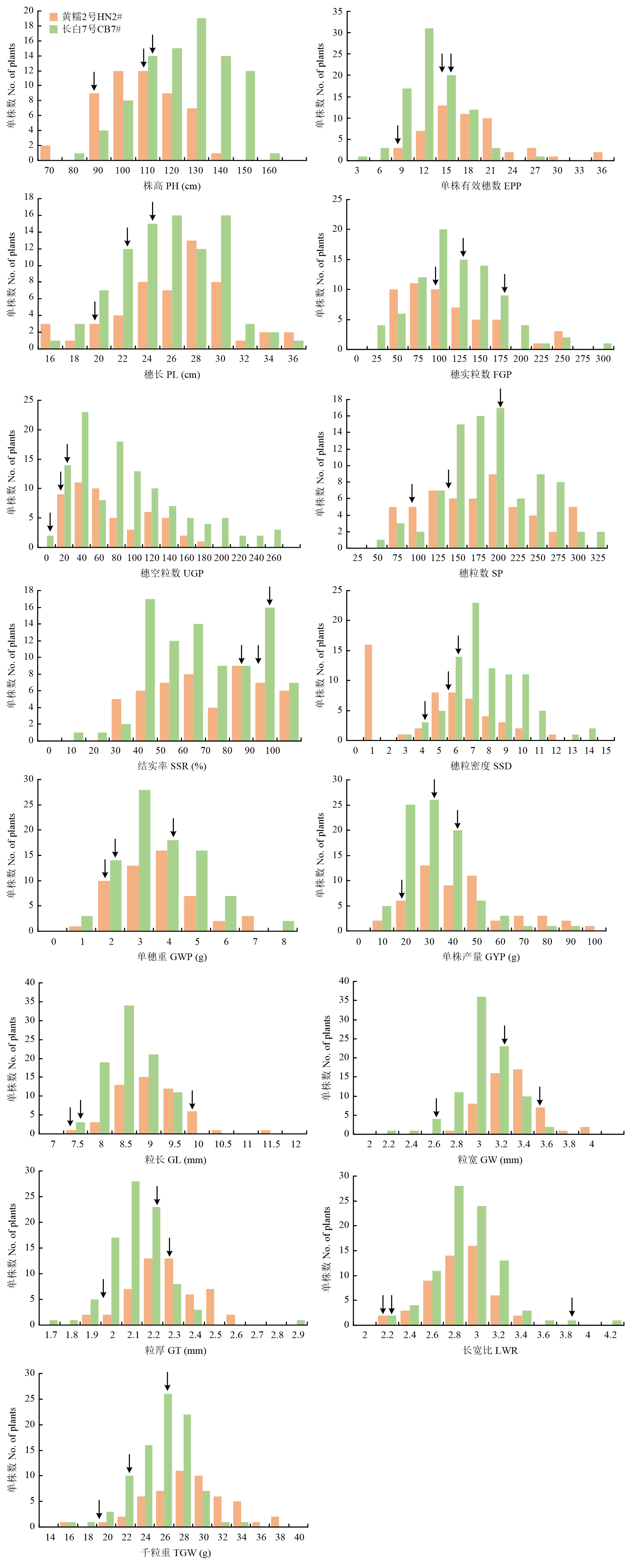
Frequency distribution of 15 yield-related traits in both HN2# and CB7#-population"

Table 2

Phenotype of 15 yield-related traits in HN2#, CB7#, XQZB, F2 populations and their bi-parents"

性状
Traits
亲本Parents HN2#-群体HN2#-population CB7#-群体CB7#-population
黄糯2号
HN2#
长白7号
CB7#
协青早B
XQZB
黄糯2号-
协青早B
HN2#-XQZB
平均值±
标准差
Means±SD
变幅
Variation
变异
系数
CV (%)
长白7号-
协青早B
CB7#-XQZB
平均值±
标准差
Means±SD
变幅
Variation
变异
系数
CV (%)
株高
PH (cm)
109.20 107.40 82.40 11.84** 103.33±14.50 68.00-132.50 14.04 12.28** 120.45±17.48 77.00-152.00 14.52
单株有
效穗数
EPP
16.40 9.00 13.20 2.81* 17.18±5.98 7.00-36.00 34.81 6.33** 12.06±3.71 3.00-25.00 30.79
穗长
PL (cm)
24.32 20.20 22.04 2.21 25.21±4.69 14.50-34.80 18.61 2.36 24.78±3.97 15.00-35.00 16.01
穗实粒数
FGP
136.00 186.00 96.60 4.24** 97.37±55.10 29.00-246.00 56.59 4.53** 108.95±51.83 8.00-282.00 47.57
穗空粒数
UGP
25.00 17.80 10.00 2.43 67.73±45.28 5.00-170.00 66.85 1.37 71.88±49.46 5.00-241.00 68.82
穗粒数
SP
161.00 203.80 106.60 3.96* 165.06±64.47 59.00-285.00 39.06 4.22** 180.59±57.47 49.00-322.00 31.82
结实率
SSR (%)
85.00 92.00 90.88 1.83 6.00±22.00 21.00-97.00 36.77 0.24 60.00±0.22 0.09-97.00 35.92
穗粒密度
SSD
6.64 6.50 4.83 3.17* 4.28±3.19 0.07-11.51 74.51 5.40** 3.50±0.05 0.07-4.90 14.29
单穗重
GWP (g)
2.55 4.43 2.71 0.66 3.20±1.33 0.90-6.61 41.64 4.02* 3.21±1.33 0.81-7.41 41.43
单株产量
GYP (g)
34.91 31.46 24.27 3.41* 38.24±20.84 5.85-99.30 54.48 2.89* 27.85±14.54 5.34-82.53 52.20
粒长
GL (mm)
7.91 6.92 9.80 10.62** 8.82±0.65 7.36-11.10 7.40 13.28** 8.34±0.51 7.32-9.48 6.12
粒宽
GW (mm)
3.58 3.04 2.58 10.73** 3.23±0.23 2.78-3.88 7.16 4.79* 2.97±0.24 2.04-3.47 7.97
粒厚
GT (mm)
2.23 2.23 2.07 2.67* 2.22±0.16 1.85-2.55 7.13 3.59* 2.09±0.18 1.67-3.12 8.84
粒长宽比
LWR
2.21 2.28 3.81 15.58** 2.75±0.26 2.18-3.39 9.44 14.51** 2.83±0.29 2.19-4.13 10.35
千粒重
TGW (g)
20.60 22.7 26.80 3.92* 27.70±4.30 15.30-38.00 15.51 3.27* 24.9±3.00 1.44-32.80 12.05

Table 3

Correlations of 15 yield-related traits in both HN2# and CB7#-populations"

性状
Trait
株高
PH
单株有
效穗数
EPP
穗长
PL
穗实
粒数
FGP
穗空
粒数
UGP
穗粒数
SP
结实率
SSR
穗粒
密度
SSD
单穗重
GWP
单株
产量
GYP
粒长
GL
粒宽
GW
粒厚
GT
粒长
宽比
LWR
千粒重
TGW
株高PH 1.00 0.00 0.51** 0.36** 0.22** 0.52** 0.10 0.37** 0.46** 0.50** 0.03 0.23* -0.04 -0.17* 0.13
单株有
效穗数
EPP
-0.07 1.00 -0.10 -0.11 -0.04 -0.13 -0.10 -0.10 -0.20** 0.19* -0.01 -0.03 -0.15* 0.00 -0.04
穗长PL 0.39** 0.04 1.00 0.19* 0.47** 0.56** -0.16* 0.10 0.22** 0.25** -0.12 -0.02 -0.05 -0.06 -0.04
穗实粒数
FGP
0.22** -0.13 0.33** 1.00 -0.35** 0.60** 0.75** 0.65** 0.88** 0.71** 0.11 0.00 -0.17* 0.04 0.04
穗空粒数
UGP
0.31** 0.05 0.49** -0.22** 1.00 0.54** -0.81** 0.32** -0.23** -0.16* -0.25** 0.06 0.17* -0.19* -0.20**
穗粒数
SP
0.41** -0.08 0.63** 0.72** 0.53** 1.00 -0.01 0.86** 0.60** 0.50** -0.11 0.06 -0.01 -0.13 -0.13
结实率
SSR
-0.12 -0.21** -0.23** 0.60** -0.84** -0.07 1.00 0.14 0.62** 0.47** 0.22** -0.03 -0.20** 0.12 0.18*
穗粒密度
SSD
-0.21** -0.03 0.06 0.36** -0.21** 0.16* 0.27** 1.00 0.60** 0.49** -0.08 0.08 0.01 -0.13 -0.13
单穗重
GWP
0.22** -0.14 0.46** 0.85** -0.13 0.65** 0.51** 0.34** 1.00 0.69** 0.16* 0.11 -0.06 -0.02 0.27**
单株产量
GYP
0.36** 0.31** 0.44** 0.73** -0.07 0.59** 0.36** 0.26** 0.77** 1.00 0.13 -0.01 -0.17* 0.06 0.14
粒长GL 0.01 0.07 0.04 -0.19* -0.08 -0.22** -0.11 0.14 -0.07 -0.04 1.00 0.04 0.05 0.55** 0.45**
粒宽GW -0.15* 0.08 0.15* -0.17* 0.08 -0.09 -0.06 -0.01 -0.02 -0.08 0.09 1.00 0.19* -0.80** 0.40**
粒厚GT -0.23** 0.05 0.11 -0.27* 0.08 -0.17* -0.19* -0.06 -0.25** -0.35** -0.02 0.55** 1.00 -0.06 0.20**
粒长宽比
LWR
0.12 0.00 -0.07 -0.02 -0.10 -0.09 -0.05 0.13 -0.04 0.04 0.70** -0.65** -0.41** 1.00 -0.07
千粒重
TGW
-0.14 -0.05 -0.03 -0.16* -0.24** -0.31** 0.14 0.17* 0.03 -0.08 0.52** 0.40** 0.30** 0.12 1.00

Fig. 4

Chromosomal distribution of QTLs underlying15 yield-related traits in both HN2# and CB7#-population HN2#-map: Chromosomal distribution of QTLs underlying 15 yield-related traits in HN2#-population; CB7#-map: Chromosomal distribution of QTLs underlying 15 yield-related traits in CB7#-population"

Table 4

QTL underlying 15 yield-related traits in HN2#-population"

性状
Traits
QTL 染色体
Chromosome
物理位置
Genomic position
(bp)
标记区间
Marker interval
LOD值
LOD value
贡献率
Variation (%)
加性效应
Additive effect
有利等位基因来源
Favorable allele sources
株高PH qPH7 7 3141181-4418197 RM3484-RM5711 4.05 26.95 4.98 黄糯2号 HN2#
qPH12 12 23443441-27305223 RM7376-RM1227 3.38 19.02 1.24 黄糯2号 HN2#
单株有效穗数
EPP
qEPP1 1 330698-4052895 RM3426-RM1287 3.31 3.86 5.71 黄糯2号 HN2#
qEPP2a 2 15894177-20800963 RM5812-RM262 3.63 3.41 5.13 黄糯2号 HN2#
qEPP2b 2 16390789-20800963 RM262-RM5651 3.47 3.53 6.22 黄糯2号 HN2#
qEPP3 3 13933574-14507885 RM6080-RM6959 2.98 2.61 8.44 黄糯2号 HN2#
qEPP6 6 6230185-11767249 RM276-RM564 3.51 3.36 8.96 黄糯2号 HN2#
穗长PL qPL1 1 39720126-43370870 RM3482-RM3362 3.46 13.13 2.94 黄糯2号 HN2#
qPL7 7 3141181-16200067 RM5711-RM5481 3.39 15.78 2.70 黄糯2号 HN2#
穗实粒数FGP qFGP6 6 5960201-6998987 RM7488-RM2615 2.84 23.94 2.38 黄糯2号 HN2#
穗空粒数
UGP
qUGP1 1 330698-4052895 RM3426-RM1287 3.69 13.35 -26.52 协青早B XQZB
qUGP7 7 16932001-17489638 RM1135-RM5793 2.52 3.36 17.11 黄糯2号 HN2#
qUGP11 11 11763775-21979491 RM7120-RM206 2.91 12.15 47.05 黄糯2号 HN2#
qUGP12 12 3201708-19903791 RM6296-RM519 3.00 11.53 11.44 黄糯2号 HN2#
穗粒数
SP
qSP3 3 9734810-10169054 RM232-RM4321 2.76 11.99 -34.30 协青早B XQZB
qSP5 5 17752245-17956065 RM6024-RM1237 2.82 15.13 -37.38 协青早B XQZB
qSP7 7 3141181-4418197 RM3484-RM5711 3.92 24.37 8.59 黄糯2号 HN2#
结实率
SSR
qSSR6 6 5960201-6230185 RM2615-RM276 4.21 26.02 0.01 黄糯2号 HN2#
qSSR7 7 4660490-18132231 RM418-RM6872 2.80 14.69 -0.10 协青早B XQZB
穗粒密度
SSD
qSSD4 4 15742285-20584454 RM5687-RM5979 2.95 6.52 -0.99 协青早B XQZB
qSSD11 11 11763775-21979491 RM7120-RM206 2.75 6.66 -1.17 协青早B XQZB
粒长
GL
qGL1 1 15118625-18999662 RM7075-RM8004 3.92 21.67 -0.47 协青早B XQZB
qGL8 8 5850563-8385395 RM6429-RM6838 2.86 15.59 -0.01 协青早B XQZB
粒宽
GW
qGW2 2 5477492-7664143 RM6378-RM7636 2.65 13.40 0.20 黄糯2号 HN2#
qGW4 4 13059580-13154172 RM401-RM5633 2.54 10.93 0.20 黄糯2号 HN2#
qGW10 10 2722348-9439397 RM3882-RM1126 2.71 7.45 0.13 黄糯2号 HN2#
粒厚GT qGT2 2 5477492-7664143 RM6378-RM7636 3.88 29.41 0.14 黄糯2号 HN2#
粒长宽比
LWR
qLWR1 1 15118625-18999662 RM7075-RM8004 2.53 11.20 -0.11 协青早B XQZB
qLWR10 10 2722348-9439397 RM3882-RM1126 4.14 23.39 -0.18 协青早B XQZB

Table 5

QTL underlying 15 yield-related traits in CB7#-population"

性状
Traits
QTL 染色体
Chromosome
物理位置
Genomic position
(bp)
标记区间
Marker interval
LOD值
LOD
value
贡献率
Variation
(%)
加性效应
Additive
effect
有利等位基因来源
Favorable allele
sources
株高PH qPH1 1 34902085-37261443 RM3738-RM8084 2.59 13.39 6.39 长白7号 CB7#
穗长PL qPL8 8 4773752-5850563 RM6838-RM1111 2.57 10.05 0.20 长白7号 CB7#
qPL12 12 2304378-3201708 RM6296-RM3747 2.89 15.40 -0.61 协青早B XQZB
穗实粒数FGP qFGP6 6 6998987-8070717 RM7488-RM19720 4.11 27.94 -9.43 协青早B XQZB
穗空粒数UGP qUGP2 2 4407860-7664143 RM3732-RM7636 5.02 23.56 27.54 长白7号 CB7#
qUGP6 6 5960201-6230185 RM276-RM2615 4.73 10.65 18.26 长白7号 CB7#
qUGP7 7 4418197-16200067 RM5481-RM3484 3.74 8.81 25.66 长白7号 CB7#
穗粒数SP qSP1 1 39720126-41167834 RM5536-RM3482 2.64 15.07 26.98 长白7号 CB7#
结实率SSR qSSR2a 2 4407860-7664143 RM3732-RM7636 2.79 13.36 -0.07 协青早B XQZB
qSSR2b 2 15894177-20495111 RM5812-RM2634 2.52 8.37 -0.09 协青早B XQZB
qSSR6 6 5960201-6230185 RM276-RM2615 7.88 24.73 -0.04 协青早B XQZB
穗粒密度SSD qSSD1 1 39720126-41167834 RM5536-RM3482 3.00 17.33 0.96 长白7号 CB7#
单穗重GWP qGWP6 6 6998987-8070717 RM7488-RM19720 3.86 6.10 -0.14 协青早B XQZB
qGWP11 11 5477676-19184001 RM4504-RM5349 2.65 10.65 0.78 长白7号 CB7#
单株产量GYP qGYP1 1 39720126-41167834 RM5536-RM3482 2.83 9.26 6.51 长白7号 CB7#
qGYP6 6 8070717-10822809 RM19720-RM19835 5.46 21.66 -5.69 协青早B XQZB
粒长GL qGL3 3 17694161-1871497 RM15283-RM2346 6.01 22.97 -0.31 协青早B XQZB
qGL6 6 5960201-6230185 RM276-RM2615 3.52 10.78 0.03 长白7号 CB7#
qGL7 7 16200067-16932001 RM1135-RM5481 2.73 8.30 -0.05 协青早B XQZB
粒宽GW qGW5 5 17752245-26174809 RM3790-RM6024 2.79 14.17 0.10 长白7号 CB7#
粒厚GT qGT3 3 3285730-6078216 RM7576-RM6849 5.57 10.69 0.46 长白7号 CB7#
qGT7 7 4418197-16200067 RM5481-RM3484 2.85 2.77 0.10 长白7号 CB7#
[1]
徐春春, 纪龙, 陈中督, 方福平. 2022年我国水稻产业发展分析及2023年展望. 中国稻米, 2023, 29(2): 1-4.

doi: 10.3969/j.issn.1006-8082.2023.02.001
XU C C, JI L, CHEN Z D, FANG F P. Analysis of China’s rice industry in 2022 and the outlook for 2023. China Rice, 2023, 29(2): 1-4. (in Chinese)

doi: 10.3969/j.issn.1006-8082.2023.02.001
[2]
FISCHER G, WINIWARTER W, CAO G Y, ERMOLIEVA T, HIZSNYIK E, KLIMONT Z, WIBERG D, ZHENG X Y. Implications of population growth and urbanization on agricultural risks in China. Population and Environment, 2012, 33: 243-258.

doi: 10.1007/s11111-011-0134-4
[3]
WADE L J. Perennial grains: Needs, essentials, considerations// BATELLO C, WADE L J, COX T S, POGNA N, BOZZINI A, CHOPIANTY J. Perennial Crops Food Security. Rome, Italy: FAO, 2014: 3-13.
[4]
ZHANG S L, HUANG G F, ZHANG Y J, LV X T, WAN K J, LIANG J, FENG Y P, DAO J R, WU S K, ZHANG L, et al. Sustained productivity and agronomic potential of perennial rice. Nature Sustainability, 2023, 6: 28-38.

doi: 10.1038/s41893-022-00997-3
[5]
PATERSON A H, LANDER E S, HEWITT J D, PETERSON S, LINCOLN S E, TANKSLEY S D. Resolution of quantitative traits into Mendelian factors by using a complete linkage map of restriction fragment length polymorphisms. Nature, 1988, 335(6192): 721-726.

doi: 10.1038/335721a0
[6]
LI X Y, QIAN Q, FU Z M, WANG Y H, XIONG G S, ZENG D L, WANG X Q, LIU X F, TENG S, HIROSHI F, et al. Control of tillering in rice. Nature, 2003, 422(6932): 618-621.

doi: 10.1038/nature01518
[7]
WANG Y X, SHANG L G, YU H, ZENG L J, HU J, NI S, RAO Y C, LI S F, CHU J F, MENG X B, et al. A strigolactone biosynthesis gene contributed to the green revolution in rice. Molecular Plant, 2020, 13(6): 923-932.

doi: S1674-2052(20)30071-X pmid: 32222483
[8]
SPIELMEYER W, ELLIS M H, CHANDLER P M. Semidwarf (sd-1), “green revolution” rice, contains a defective gibberellin 20-oxidase gene. Proceedings of the National Academy of Sciences of the United States of America, 2002, 99(13): 9043-9048.
[9]
ZHU Y Y, NOMURA T, XU Y H, ZHANG Y Y, PENG Y, MAO B Z, HANADA A, ZHOU H C, WANG R X, LI P J, et al. ELONGATED UPPERMOST INTERNODE encodes a cytochrome P 450 monooxygenase that epoxidizes gibberellins in a novel deactivation reaction in rice. The Plant Cell, 2006, 18(2): 442-456.

doi: 10.1105/tpc.105.038455
[10]
ASHIKARI M, SAKAKIBARA H, LIN S Y, YAMAMOTO T, TAKASHI T, NISHIMURA A, ANGELES E R, QIAN Q, KITANO H, MATSUOKA M. Cytokinin oxidase regulates rice grain production. Science, 2005, 309(5735): 741-745.

doi: 10.1126/science.1113373 pmid: 15976269
[11]
GAO H, JIN M N, ZHENG X M, CHEN J, YUAN D Y, XIN Y Y, WANG M Q, HUANG D Y, ZHANG Z, ZHOU K N, et al. Days to heading 7, a major quantitative locus determining photoperiod sensitivity and regional adaptation in rice. Proceedings of the National Academy of Sciences of the United States of America, 2014, 111(46): 16337-16342.
[12]
XUE W Y, XING Y Z, WENG X Y, ZHAO Y, TANG W J, WANG L, ZHOU H J, YU S B, XU C G, LI X H, et al. Natural variation in Ghd 7 is an important regulator of heading date and yield potential in rice. Nature Genetics, 2008, 40(6): 761-767.

doi: 10.1038/ng.143
[13]
ZHANG H, ZHU S S, LIU T Z, WANG C M, CHENG Z J, ZHANG X, CHEN L P, SHENG P K, CAI M H, LI C N, et al. DELAYED HEADING DATE 1 interacts with OsHAP5C/D, delays flowering time and enhances yield in rice. Plant Biotechnology Journal, 2019, 17(2): 531-539.

doi: 10.1111/pbi.2019.17.issue-2
[14]
JIAO Y Q, WANG Y H, XUE D W, WANG J, YAN M X, LIU G F, DONG G J, ZENG D L, LU Z F, ZHU X D, et al. Regulation of OsSPL 14 by OsmiR156 defines ideal plant architecture in rice. Nature Genetics, 2010, 42(6): 541-544.

doi: 10.1038/ng.591
[15]
WU Y, WANG Y, MI X F, SHAN J X, LI X M, XU J L, LIN H X. The QTL GNP1 encodes GA20ox1, which increases grain number and yield by increasing cytokinin activity in rice panicle meristems. PLoS Genetics, 2016, 12(10): e1006386.

doi: 10.1371/journal.pgen.1006386
[16]
HUO X, WU S, ZHU Z F, LIU F X, FU Y C, CAI H W, SUN X Y, GU P, XIE D X, TAN L B, et al. NOG1 increases grain production in rice. Nature Communications, 2017, 14, 8(1):1497.

doi: 10.1038/s41467-023-37175-8
[17]
ZHANG X X, MENG W J, LIU D P, PAN D Z, YANG Y Z, CHEN Z, MA X D, YIN W C, NIU M, DONG N N, et al. Enhancing rice panicle branching and grain yield through tissue-specific brassinosteroid inhibition. Science, 2024, 383,6687:1-14.
[18]
WANG Y X, XIONG G S, HU J, JIANG L, YU H, XU J, FANG Y X, ZENG L J, XU E B, XU J, et al. Copy number variation at the GL7locus contributes to grain size diversity in rice. Nature Genetics, 2015, 47(8): 944-948.

doi: 10.1038/ng.3346
[19]
SI L Z, CHEN J Y, HUANG X H, GONG H, LUO J H, HOU Q Q, ZHOU T Y, LU T T, ZHU J J, SHANGGUAN Y Y, et al. OsSPL 13 controls grain size in cultivated rice. Nature Genetics, 2016, 48(4): 447-456.

doi: 10.1038/ng.3518
[20]
SONG X J, HUANG W, SHI M, ZHU M Z, LIN H X. A QTL for rice grain width and weight encodes a previously unknown RING-type E3 ubiquitin ligase. Nature Genetics, 2007, 39(5): 623-630.

doi: 10.1038/ng2014
[21]
LIANG Y S, NAN W B, QIN X J, ZHANG H M. Field performance on grain yield and quality and genetic diversity of overwintering cultivated rice (Oryza sativa L.) in southwest China. Scientific Reports, 2021, 11: 1846.

doi: 10.1038/s41598-021-81291-8
[22]
LIANG Y S, GONG J Y, YAN Y X, WANG B B, GONG W A, WEN H, WU Q, NAN W B, QIN X J, ZHANG H M. Survey of overwintering trait in Chinese rice cultivars (Oryza sativa L.). Euphytica, 2022, 218: 94.

doi: 10.1007/s10681-022-03044-6
[23]
申宗坦. 作物育种学实验. 北京: 中国农业出版社, 1995: 102-107.
SHEN Z T. Crop Breeding Experiment. Beijing: China Agriculture Press, 1995: 102-107. (in Chinese)
[24]
彭廷燊, 陆久焱, 严雨欣, 谭霖, 南文斌, 秦小健, 李明, 龚俊义, 梁永书. 多年生水稻分子图谱的构建与分析. 遗传, 2025, 47(9): 1042-1056.
PENG T S, LU J Y, YAN Y X, TAN L, NAN W B, QIN X J, LI M, GONG J Y, LIANG Y S. Construction and analysis of molecular genetic map of perennial Chinese rice. Hereditas, 2025, 47(9): 1042-1056. (in Chinese)
[25]
MENG L, LI H H, ZHANG L Y, WANG J K. QTL IciMapping: Integrated software for genetic linkage map construction and quantitative trait locus mapping in biparental populations. The Crop Journal, 2015, 3: 269-283.

doi: 10.1016/j.cj.2015.01.001
[26]
MCCOUCH S R, KOCHERT G, YU Z H, WANG Z Y, KHUSH G S, COFFMAN W R, TANKSLEY S D. Molecular mapping of rice chromosomes. Theoretical and Applied Genetics, 1988, 76: 815-829.

doi: 10.1007/BF00273666 pmid: 24232389
[27]
广东省农业科学院. 广东水稻矮化育种的主要经验. 中国农业科学, 1965, 6(1): 19-24. doi: 10.3864/j.issn.0578-1752.1965-06-01-19-24.
Guangdong Academy of Agricultural Sciences. Main experience of rice dwarf breeding in Guangdong. Scientia Agricultura Sinica, 1965, 6(1): 19-24. doi: 10.3864/j.issn.0578-1752.1965-06-01-19-24. (in Chinese)
[28]
袁隆平. 水稻的雄性不孕性. 科学通报, 1966, 4: 185-188.
YUAN L P. Male sterility of rice. Chinese Science Bulletin, 1966, 4: 185-188. (in Chinese)
[29]
石明松, 邓景扬. 湖北光感核不育水稻的发现、鉴定及其利用途径. 遗传学报, 1986, 13(2): 107-112.
SHI M S, DENG J Y. The discovery, determination and utilization of the Hubei photosensitive genic male-sterile rice (Oryza sativa subsp. Japonica). Acta Genetica Sinica, 1986, 13(2): 107-112. (in Chinese)
[30]
阳峰萍, 胡志萍, 刘海林, 颜春龙, 黄蓉芬, 柳美南, 姚志坚, 王可可. 籼型杂交水稻恢复系的选育研究进展. 杂交水稻, 2007, 22(2): 6-10.
YANG F P, HU Z P, LIU H L, YAN C L, HUANG R F, LIU M N, YAO Z J, WANG K K. Progresses in breeding restorer lines of indica hybrid rice. Hybrid Rice, 2007, 22(2): 6-10. (in Chinese)
[31]
CHEN X W, SHANG J J, CHEN D X, LEI C L, ZOU Y, ZHAI W X, LIU G Z, XU J C, LING Z Z, CAO G, et al. A B-lectin receptor kinase gene conferring rice blast resistance. The Plant Journal, 2006, 46(5): 794-804.

doi: 10.1111/tpj.2006.46.issue-5
[32]
SONG W Y, WANG G L, CHEN L L, KIM H S, PI L Y, HOLSTEN T, GARDNER J, WANG B, ZHAI W X, ZHU L H, et al. A receptor kinase-like protein encoded by the rice disease resistance gene, Xa21. Science, 1995, 270(5243): 1804-1806.

doi: 10.1126/science.270.5243.1804
[33]
LI W, YANG K, HU C F, ABBAS W, ZHANG J, XU P K, CHENG B, ZHANG J C, YIN W J, SHALMANI A, et al. A natural gene on-off system confers field thermotolerance for grain quality and yield in rice. Cell, 2025, 188(14): 3661-3678.

doi: 10.1016/j.cell.2025.04.011 pmid: 40311617
[34]
ZHANG S L, HUANG G F, ZHANG J, HUANG L Y, CHENG M, WANG Z L, ZHANG Y N, WANG C L, ZHU P F, YU X L, et al. Genotype by environment interactions for performance of perennial rice genotypes (Oryza sativa L./Oryza longistaminata) relative to annual rice genotypes over regrowth cycles and locations in Southern China. Field Crops Research, 2019, 241: 107556.

doi: 10.1016/j.fcr.2019.107556
[35]
韩雷锋, 周燃, 周涛, 林翠香, 甘泉, 倪大虎, 石英尧, 宋丰顺. 水稻抗倒伏和产量性状的相关性分析及QTLs定位. 生物学杂志, 2023, 40(2): 65-70.
HAN L F, ZHOU R, ZHOU T, LIN C X, GAN Q, NI D H, SHI Y Y, SONG F S. Correlation analysis and QTLs mapping of lodging resistance and yield traits in rice. Journal of Biology, 2023, 40(2): 65-70. (in Chinese)
[36]
CAO G, ZHU J, HE C, GAO Y, YAN J, WU P. Impact of epistasis and QTL x environment interaction on the developmental behavior of plant height in rice (Oryza sativa L.). Theoretical and Applied Genetics, 2001, 103: 153-160.

doi: 10.1007/s001220100536
[37]
THOMSON M J, TAI T H, MCCLUNG A M, LAI X H, HINGA M E, LOBOS K B, XU Y, MARTINEZ C P, MCCOUCH S R. Mapping quantitative trait loci for yield, yield components and morphological traits in an advanced backcross population between Oryza rufipogon and the Oryza sativa cultivar Jefferson. Theoretical and Applied Genetics, 2003, 107: 479-493.

doi: 10.1007/s00122-003-1270-8
[38]
MONCADA P, MARTÍNEZ C P, BORRERO J, CHATEL M, GAUCH JR H, GUIMARAES E, TOHME J, MCCOUCH S R. Quantitative trait loci for yield and yield components in an Oryza sativOryza rufipogon BC2F2 population evaluated in an upland environment. Theoretical and Applied Genetics, 2001, 102: 41-52.

doi: 10.1007/s001220051616
[39]
KOBAYASHI S, FUKUTA Y, SATO T, OSAKI M, KHUSH G S. Molecular marker dissection of rice (Oryza sativa L.) plant architecture under temperate and tropical climates. Theoretical and Applied Genetics, 2003, 107(8): 1350-1356.

doi: 10.1007/s00122-003-1388-8
[40]
ZHUANG J Y, LIN H X, LU J, QIAN H R, HITTALMANI S, HUANG N, ZHENG K L. Analysis of QTL ×environment interaction for yield components and plant height in rice. Theoretical and Applied Genetics, 1997, 95: 799-808.

doi: 10.1007/s001220050628
[41]
MARRI P R, SARLA N, REDDY L V, SIDDIQ E A. Identification and mapping of yield and yield related QTLs from an Indian accession of Oryza rufipogon. BMC Genetics, 2005, 6: 33.

doi: 10.1186/1471-2156-6-33
[42]
谭震波, 沈利爽, 袁祚廉, 陆朝福, 陈英, 周开达, 朱立煌. 水稻再生能力和头季稻产量性状的QTL定位及其遗传效应分析. 作物学报, 1997, 23(3): 289-295.
TAN Z B, SHEN L S, YUAN Z L, LU C F, CHEN Y, ZHOU K D, ZHU L H. Identification of QTLs for ratooning ability and grain yield traits of rice and analysis of their genetic effects. Acta Agronomica Sinica, 1997, 23(3): 289-295. (in Chinese)
[43]
涂夯. 水稻单株有效穗数、每穗实粒数及千粒重QTL定位与分析[D]. 南昌: 江西农业大学, 2023.
TU H. QTL mapping and analysis of effective panicle number per plant, filled grains per panicle and 1000-grain weight in rice[D]. Nanchang: Jiangxi Agricultural University, 2023. (in Chinese)
[44]
LIN H X, QIAN H R, ZHUANG J Y, LU J, MIN S K, XIONG Z M, HUANG N, ZHENG K L. RFLP mapping of QTLs for yield and related characters in rice (Oryza sativa L.). Theoretical and Applied Genetics, 1996, 92(8): 920-927.

doi: 10.1007/BF00224031
[45]
HITTALMANI S, HUANG N, COURTOIS B, VENUPRASAD R, SHASHIDHAR H E, ZHUANG J Y, ZHENG K L, LIU G F, WANG G C, SIDHU J S, et al. Identification of QTL for growth and grain yield-related traits in rice across nine locations of Asia. Theoretical and Applied Genetics, 2003, 107: 679-690.

doi: 10.1007/s00122-003-1269-1
[46]
LI C B, ZHOU A L, SANG T. Genetic analysis of rice domestication syndrome with the wild annual species, Oryza nivara. New Phytologist, 2006, 170: 185-194.

doi: 10.1111/j.1469-8137.2005.01647.x pmid: 16539615
[47]
HUA J P, XING Y Z, WU W R, XU C G, SUN X L, YU S B, ZHANG Q F. Single-locus heterotic effects and dominance by dominance interactions can adequately explain the genetic basis of heterosis in an elite rice hybrid. Proceedings of the National Academy of Sciences of the United States of America, 2003, 100(5): 2574-2579.
[48]
闫超, 郑剑, 段文静, 南文斌, 秦小健, 张汉马, 梁永书. 越冬栽培稻产量性状相关QTL定位. 作物学报, 2019, 45(4): 522-537.

doi: 10.3724/SP.J.1006.2019.82045
YAN C, ZHENG J, DUAN W J, NAN W B, QIN X J, ZHANG H M, LIANG Y S. Locating QTL controlling yield traits in overwintering cultivated rice. Acta Agronomica Sinica, 2019, 45(4): 522-537. (in Chinese)

doi: 10.3724/SP.J.1006.2019.82045
[49]
XIAO J, LI J, YUAN L, TANKSLEY S D. Identification of QTLs affecting traits of agronomic importance in a recombinant inbred population derived from a subspecific rice cross. Theoretical and Applied Genetics, 1996, 92(2): 230-244.

doi: 10.1007/BF00223380 pmid: 24166172
[50]
XU Y B, SHEN Z T, XU J C, ZHU H, CHEN Y, ZHU L H. Interval mapping of quantitative trait loci by molecular markers in rice (Oryza sativa L.). Science in China (Series B), 1995, 38(4): 422-428.
[51]
张应洲, 罗荣剑, 圣忠华, 焦桂爱, 唐绍清, 胡培松, 魏祥进. 日本晴/中嘉早17重组自交系产量性状QTL定位. 中国农业科学, 2017, 50(19): 3640-3651. doi: 10.3864/j.issn.0578-1752.2017.19.002.
ZHANG Y Z, LUO R J, SHENG Z H, JIAO G A, TANG S Q, HU P S, WEI X J. QTL mapping of yield associated traits of nipponbare × ZhongJiaZao 17 RIL population. Scientia Agricultura Sinica, 2017, 50(19): 3640-3651. doi: 10.3864/j.issn.0578-1752.2017.19.002. (in Chinese)
[52]
SUH P J, AHN N S, CHO C Y, KANG K H, HUANG H G. Mapping of QTLs for yield traits using an advanced backcross population from a cross between Oryza sativa and O. glaberrima. Korean Journal of Breeding, 2005, 37(4): 214-220.
[53]
沈希宏, 曹立勇, 陈深广, 占小登, 吴伟明, 程式华. 超级杂交稻协优9308重组自交系群体的穗部性状QTL分析. 中国水稻科学, 2009, 23(4): 354-362.

doi: 10.3969/j.issn.1001-7216.2009.04.04
SHEN X H, CAO L Y, CHEN S G, ZHAN X D, WU W M, CHENG S H. Dissection of QTLs for panicle traits in recombinant inbred lines derived from super hybrid rice, Xieyou 9308. Chinese Journal of Rice Science, 2009, 23(4): 354-362. (in Chinese)

doi: 10.3969/j.issn.1001-7216.2009.04.04
[54]
胡大维, 圣忠华, 陈炜, 李潜龙, 魏祥进, 邵高能, 焦桂爱, 王建龙, 胡培松, 谢黎虹, 等. 超级稻品种中嘉早17高产相关性状的QTL定位. 作物学报, 2017, 43(10): 1434-1447.
HU D W, SHENG Z H, CHEN W, LI Q L, WEI X J, SHAO G N, JIAO G A, WANG J L, HU P S, XIE L H, et al. Identification of QTLs associated with high yield of super rice variety Zhongjiazao 17. Acta Agronomica Sinica, 2017, 43(10): 1434-1447. (in Chinese)

doi: 10.3724/SP.J.1006.2017.01434
[55]
JIANG G H, XU C G, LI X H, HE Y Q. Characterization of the genetic basis for yield and its component traits of rice revealed by doubled haploid population. Acta Genetica Sinica, 2004, 31(1): 63-72.
[56]
WAN X Y, WAN J M, WENG J F, JIANG L, BI J C, WANG C M, ZHAI H Q. Stability of QTLs for rice grain dimension and endosperm chalkiness characteristics across eight environments. Theoretical and Applied Genetics, 2005, 110: 1334-1346.

doi: 10.1007/s00122-005-1976-x pmid: 15809851
[57]
LI J M, XIAO J H, GRANDILLO S, JIANG L Y, WAN Y Z, DENG Q Y, YUAN L P, MCCOUCH S R. QTL detection for rice grain quality traits using an interspecific backcross population derived from cultivated Asian (O. sativa L.) and African (O. glaberrima S.) rice. Genome, 2004, 47: 697-704.

doi: 10.1139/g04-029
[58]
TAN Y F, XING Y Z, LI J X, YU S B, XU C G, ZHANG Q F. Genetic bases of appearance quality of rice grains in Shanyou 63, an elite rice hybrid. Theoretical and Applied Genetics, 2000, 101(5): 823-829.

doi: 10.1007/s001220051549
[1] WU YuanYuan, LÜ ShuWen, ZHANG ZiJun, WANG Tao, ZHANG YiMing, BU LingChao, ZOU QingDao, JIANG Jing. Mixed Major Gene+Polygene Genetic Analysis of Blossom-End Scar Size in Tomato Fruit [J]. Scientia Agricultura Sinica, 2026, 59(5): 1060-1069.
[2] YANG YongQing, HU PengJu, SONG YaHui, JIN XinXin, SU Qiao, WANG Jin. QTL Mapping of Quality Traits for A Peanut Germplasm SW9721-3 with Ultra-High Oil Content [J]. Scientia Agricultura Sinica, 2025, 58(4): 635-646.
[3] YE XueLian, CHEN JingWen, YAO XiangTan, QUAN XinHua, HUANG Li. Genetic Analysis of Leaf Wrinkling Traits in Non-Heading Chinese Cabbage [J]. Scientia Agricultura Sinica, 2024, 57(18): 3684-3694.
[4] TANG Wei, ZHANG ChengLing, YANG DongJing, MA JuKui, CHEN JingWei, GAO FangYuan, XIE YiPing, SUN HouJun. Complete Genomic Sequence Characteristics and Establishment of qPCR Detection Technique of Sweet Potato Virus E in China [J]. Scientia Agricultura Sinica, 2023, 56(20): 4010-4020.
[5] SHAO Zhen, DIAO YouXiang. Investigation and Analysis of Nucleic Acid Detection Results of Viral Viruses in Large-Scale Goose Farms [J]. Scientia Agricultura Sinica, 2023, 56(10): 2021-2034.
[6] WANG Kai,ZHANG HaiLiang,DONG YiXin,CHEN ShaoKan,GUO Gang,LIU Lin,WANG YaChun. Definition and Genetic Parameters Estimation for Health Traits by Using on-Farm Management Data in Dairy Cattle [J]. Scientia Agricultura Sinica, 2022, 55(6): 1227-1240.
[7] CUI ChengQi, LIU YanYang, JIANG XiaoLin, SUN ZhiYu, DU ZhenWei, WU Ke, MEI HongXian, ZHENG YongZhan. Multi-Locus Genome-Wide Association Analysis of Yield-Related Traits and Candidate Gene Prediction in Sesame (Sesamum indicum L.) [J]. Scientia Agricultura Sinica, 2022, 55(1): 219-232.
[8] LONG WeiHua,PU HuiMing,GAO JianQin,HU MaoLong,ZHANG JieFu,CHEN Song. Creation of High-Oleic (HO) Canola Germplasm and the Genetic and Physiological Analysis on HO Trait [J]. Scientia Agricultura Sinica, 2021, 54(2): 261-270.
[9] WANG Ling,CAI Yi,WANG GuiChao,WANG Di,SHENG YunYan. Specific Length Amplified Fragment (SFLA) Sequencing Mapping Construction and QTL Analysis of Fruit Related Traits in Muskmelon [J]. Scientia Agricultura Sinica, 2021, 54(19): 4196-4206.
[10] KunNeng ZHOU,JiaFa XIA,Peng YUN,YuanLei WANG,TingChen MA,CaiJuan ZHANG,ZeFu LI. Transcriptome Research of Erect and Short Panicle Mutant esp in Rice [J]. Scientia Agricultura Sinica, 2020, 53(6): 1081-1094.
[11] DUAN YouHou,LU Feng. Genetic Analysis on Growth Period and Plant Height Traits of Early-maturing Dwarf Sorghum Male-Sterile Line P03A [J]. Scientia Agricultura Sinica, 2020, 53(14): 2828-2839.
[12] GONG ChengSheng, ZHAO ShengJie, LU XuQiang, HE Nan, ZHU HongJu, DOU JunLing, YUAN PingLi, LI BingBing, LIU WenGe. Chemical Compositions and Gene Mapping of Wax Powder on Watermelon Fruit Epidermis [J]. Scientia Agricultura Sinica, 2019, 52(9): 1587-1600.
[13] ZHOU JiaQin,ZHU JunZhao,YANG SiXue,ZHU ZhouJie,YAO Jie,ZHENG WenJuan,ZHU ShiHua,DING WoNa. Cloning and Functional Analysis of a Root Development Related Gene OsKSR7 in Rice (Oryza sativa L.) [J]. Scientia Agricultura Sinica, 2019, 52(5): 777-785.
[14] SONG Xi, PU DingFu, TIAN LuShen, YU QingQing, YANG YuHeng, Dai BingBing, ZHAO ChangBin, HUANG ChengYun, DENG WuMing. Genetic Analysis and Characterization of Hormone Response of Semi-Dwarf Mutant dw-1 in Brasscia napus L. [J]. Scientia Agricultura Sinica, 2019, 52(10): 1667-1677.
[15] ZHAO QianRu, ZHONG XingHua, ZHANG Fei, FANG WeiMin, CHEN FaDi, TENG NianJun. Heterosis and Mixed Genetic Analysis of Green-Center Trait of Spray Cut Chrysanthemum [J]. Scientia Agricultura Sinica, 2018, 51(5): 964-976.
Viewed
Full text


Abstract

Cited

  Shared   
  Discussed   
No Suggested Reading articles found!