





中国农业科学 ›› 2025, Vol. 58 ›› Issue (20): 4259-4271.doi: 10.3864/j.issn.0578-1752.2025.20.017
所属专题: 专刊——盐碱地智慧监测与生态化利用
陈坚1(
), 吴柳格1, 张鑫1, 邓艾兴1, 宋振伟1, 张卫建1, 郑成岩1,2(
)
收稿日期:2025-07-22
接受日期:2025-10-04
出版日期:2025-10-16
发布日期:2025-10-14
通信作者:
联系方式:
陈坚,E-mail:18811739285@163.com。
基金资助:
CHEN Jian1(
), WU LiuGe1, ZHANG Xin1, DENG AiXing1, SONG ZhenWei1, ZHANG WeiJian1, ZHENG ChengYan1,2(
)
Received:2025-07-22
Accepted:2025-10-04
Published:2025-10-16
Online:2025-10-14
摘要:
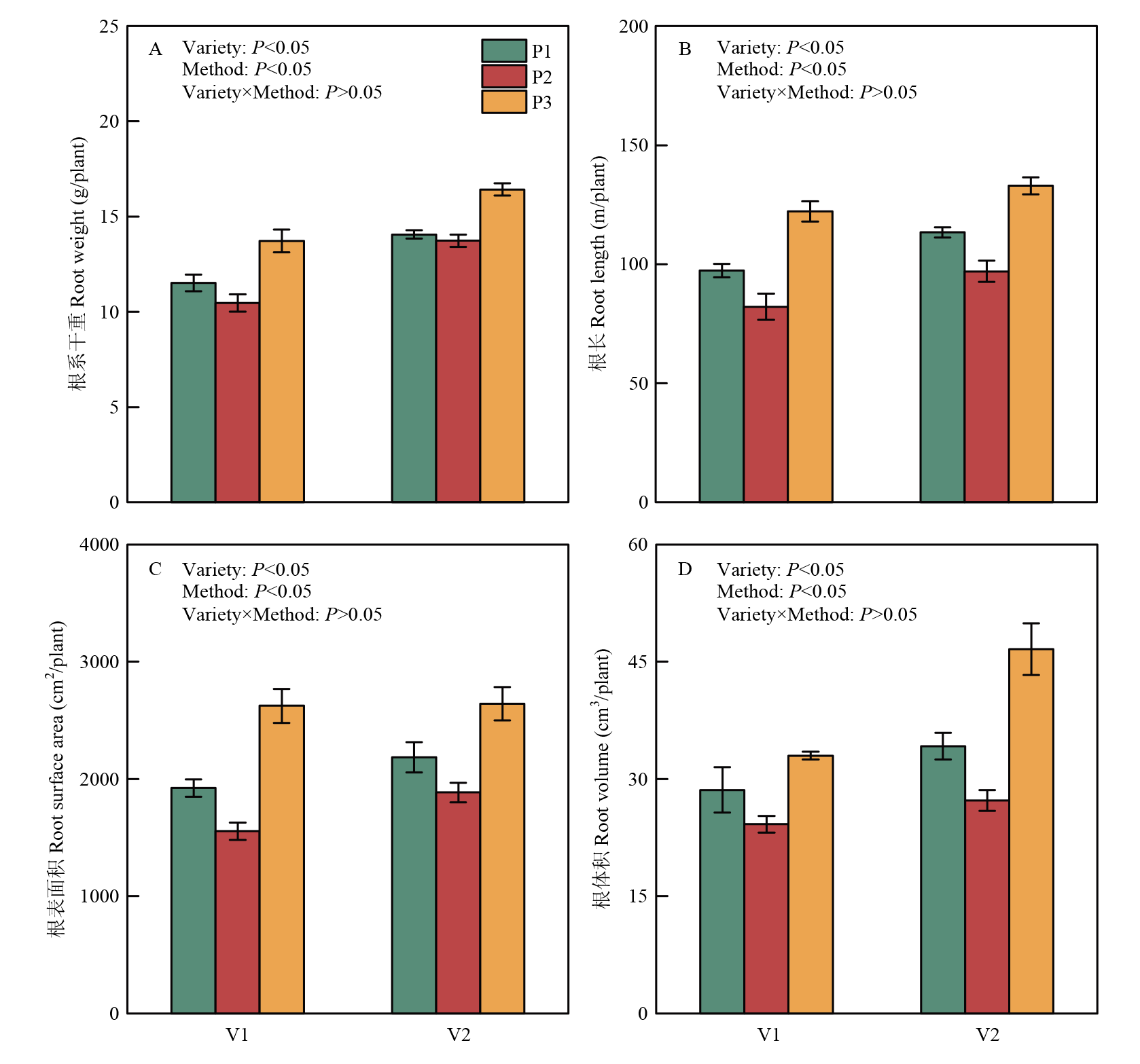
【目的】探究不同种植方式对土壤水盐变化及玉米产量的影响,为进一步挖掘滨海盐碱地产能提供理论依据。【方法】试验于2022—2023年在山东省东营滨海盐碱地进行,采用双因素裂区设计,主区为玉米品种:中试8626(V1)和中单8922(V2);副区为种植方式:平作(P1)、垄作垄播(P2)和垄作沟播(P3),研究种植方式对土壤水盐变化及玉米产量的影响机制。【结果】与P1相比,P3处理的玉米苗期0—40 cm土层含水量增加4.6%,盐分含量降低10.3%;而P2处理的0—40 cm土层含水量降低4.8%,盐分含量升高11.8%。P3处理可以显著提高苗期表层土壤含水量,降低盐分含量,从而提高玉米出苗率,其出苗率比P1处理提高2.9%。与P1相比,P3处理的吐丝期根系干重、根长、根表面积和根体积分别提高18.5%、21.1%、23.1%和26.8%;P3处理的玉米成熟期干物质积累量、有效穗数和穗粒数比P1处理分别增加10.2%、3.1%和4.0%。品种间,V1的出苗率比V2平均提高了5.2%;与V1相比,V2吐丝期的根系干重、根长、根表面积和根体积分别提高26.9%、13.8%、7.1%和26.0%;V2成熟期的干物质积累量和百粒重比V1分别增加7.0%和3.8%,而V1的有效穗数和穗粒数比V2增加5.2%和12.4%。与P1和P2处理相比,P3处理下V1玉米品种的籽粒产量分别提高9.1%和27.1%,V2玉米品种的籽粒产量分别提高10.7%和19.0%。【结论】在本试验条件下,垄作沟播种植能改善土壤的水盐分布,有利于提高中试8626出苗率、穗粒数、收获指数和籽粒产量。
陈坚, 吴柳格, 张鑫, 邓艾兴, 宋振伟, 张卫建, 郑成岩. 垄作沟播对滨海盐碱土水盐变化及玉米生长的影响[J]. 中国农业科学, 2025, 58(20): 4259-4271.
CHEN Jian, WU LiuGe, ZHANG Xin, DENG AiXing, SONG ZhenWei, ZHANG WeiJian, ZHENG ChengYan. Effects of Ridge Tillage and Sowing in Furrow on Soil Water and Salt Dynamics and Maize Growth in Coastal Saline-Alkali Land[J]. Scientia Agricultura Sinica, 2025, 58(20): 4259-4271.
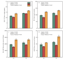
表1
不同种植方式对玉米叶面积指数的影响"
| 年份 Year | 品种 Variety | 种植方式 Planting pattern | 拔节期 V6 | 吐丝期 R1 | 灌浆期 R3 | 成熟期 R6 |
|---|---|---|---|---|---|---|
| 2022 | V1 | P1 | 0.70±0.01c | 4.15±0.06c | 3.79±0.02d | 2.26±0.07c |
| P2 | 0.62±0.01d | 4.03±0.03c | 3.64±0.08d | 2.11±0.06d | ||
| P3 | 0.75±0.03c | 4.34±0.09b | 3.96±0.04c | 2.39±0.04c | ||
| V2 | P1 | 0.88±0.03ab | 4.52±0.06ab | 4.26±0.03ab | 2.80±0.04b | |
| P2 | 0.84±0.02b | 4.43±0.05b | 4.18±0.07b | 2.65±0.11b | ||
| P3 | 0.94±0.03a | 4.63±0.06a | 4.39±0.03a | 3.03±0.09a | ||
| V | * | * | * | ** | ||
| P | ** | ** | ** | ** | ||
| V×P | ns | ns | ns | ns | ||
| 2023 | V1 | P1 | 0.69±0.01b | 4.60±0.07d | 4.23±0.05d | 2.12±0.06de |
| P2 | 0.59±0.03c | 4.35±0.04e | 4.06±0.08d | 2.06±0.04e | ||
| P3 | 0.74±0.06b | 5.19±0.01b | 4.79±0.10bc | 2.40±0.07c | ||
| V2 | P1 | 0.84±0.02a | 5.05±0.04b | 4.94±0.09b | 2.44±0.06b | |
| P2 | 0.85±0.02a | 4.84±0.05c | 4.63±0.04c | 2.27±0.07cd | ||
| P3 | 0.93±0.03a | 5.42±0.11a | 5.19±0.07a | 2.81±0.09a | ||
| V | * | * | * | * | ||
| P | * | ** | ** | ** | ||
| V×P | ns | ns | * | ns |
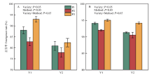
表2
不同种植方式对玉米干物质积累量的影响"
| 年份 Year | 品种 Variety | 种植方式 Planting pattern | 干物质积累量 Dry matter accumulation (×103 kg·hm-2) | |||
|---|---|---|---|---|---|---|
| 拔节期 V6 | 吐丝期 R1 | 灌浆期 R3 | 成熟期 R6 | |||
| 2022 | V1 | P1 | 2.48±0.16a | 9.52±0.36cd | 14.18±0.63bc | 18.03±0.48c |
| P2 | 1.97±0.12b | 8.90±0.36d | 13.81±0.58c | 16.21±0.28d | ||
| P3 | 2.50±0.05a | 10.89±0.51abc | 16.06±0.6ab | 19.72±0.29ab | ||
| V2 | P1 | 2.41±0.01a | 11.79±0.84ab | 15.01±0.79abc | 19.94±0.11a | |
| P2 | 2.39±0.22a | 10.32±0.35bcd | 14.23±0.67bc | 18.60±0.43c | ||
| P3 | 2.60±0.12a | 12.60±0.76a | 16.63±0.51a | 20.82±0.50a | ||
| V | ns | * | ns | * | ||
| P | ns | * | * | ** | ||
| V×P | ns | ns | ns | ns | ||
| 2023 | V1 | P1 | 2.19±0.08b | 11.70±0.10bc | 15.06±0.3cd | 20.67±0.66c |
| P2 | 2.18±0.00b | 10.50±0.11c | 14.20±0.31d | 18.66±0.36d | ||
| P3 | 2.55±0.10ab | 12.21±0.40b | 17.50±0.40ab | 22.44±0.38ab | ||
| V2 | P1 | 2.39±0.08ab | 11.43±0.23bc | 16.37±0.87bc | 20.06±0.45cd | |
| P2 | 2.36±0.13ab | 11.70±0.87bc | 17.34±0.22ab | 21.05±0.51bc | ||
| P3 | 2.74±0.22a | 13.59±0.20a | 18.49±0.33a | 23.15±0.19a | ||
| V | ns | ns | * | * | ||
| P | * | ** | ** | ** | ||
| V×P | ns | ns | ns | ns | ||
表3
不同种植方式对玉米产量和产量构成因素的影响"
| 年份 Year | 品种 Variety | 种植方式 Planting pattern | 产量 Yield (kg·hm-2) | 有效穗数 Ear number (×104·hm-2) | 穗粒数 Kernels per spike | 百粒重 100-grain weight (g) | 收获指数 Harvest index (%) | ||||||
|---|---|---|---|---|---|---|---|---|---|---|---|---|---|
| 2022 | V1 | P1 | 8523.84±314.58a | 6.07±0.22ab | 477.2±10.74b | 30.54±0.54ab | 47.44±1.70a | ||||||
| P2 | 7443.65±402.31b | 5.72±0.11bc | 469.3±0.66b | 29.14±0.35b | 45.95±1.48a | ||||||||
| P3 | 9433.15±276.45a | 6.20±0.06a | 506.9±17.32a | 30.50±0.89ab | 47.87±1.07a | ||||||||
| V2 | P1 | 7105.27±175.39b | 5.43±0.12c | 417.1±5.39cd | 31.14±0.69a | 35.63±0.54b | |||||||
| P2 | 6883.08±99.91b | 5.38±0.13c | 396.2±11.76d | 31.98±0.53a | 37.08±0.83b | ||||||||
| P3 | 7549.12±194.23b | 5.76±0.05bc | 429.7±7.18c | 32.39±0.41a | 36.32±0.88b | ||||||||
| V | * | * | * | * | * | ||||||||
| P | ** | * | * | ns | ns | ||||||||
| V×P | * | ns | ns | ns | ns | ||||||||
| 2023 | V1 | P1 | 9090.65±98.66b | 6.78±0.02a | 469.1±7.82a | 31.75±0.86cd | 44.07±0.67a | ||||||
| P2 | 7680.50±110.33c | 6.63±0.02b | 438.3±7.7b | 30.73±0.52d | 41.18±0.45a | ||||||||
| P3 | 9786.60±162.08a | 6.85±0.02a | 481.8±4.12a | 31.89±0.67cd | 43.66±0.81ab | ||||||||
| V2 | P1 | 7972.48±40.01c | 6.58±0.01bc | 434.1±3.87b | 33.98±0.25ab | 37.92±0.58ab | |||||||
| P2 | 7140.36±234.00d | 6.52±0.06c | 422.0±7.07b | 33.01±0.49bc | 35.72±1.18b | ||||||||
| P3 | 9138.38±74.56b | 6.78±0.02a | 441.1±5.79b | 34.90±0.16a | 39.48±0.31b | ||||||||
| V | * | * | * | * | * | ||||||||
| P | ** | ** | ** | ns | ns | ||||||||
| V×P | ns | ns | ns | ns | ns | ||||||||
| [1] |
杨劲松. 中国盐渍土研究的发展历程与展望. 土壤学报, 2008, 45(5): 837-845.
|
|
|
|
| [2] |
|
| [3] |
孙佳, 夏江宝, 苏丽, 赵西梅, 陈印平, 岳喜元, 李传荣. 黄河三角洲盐碱地不同植被模式的土壤改良效应. 应用生态学报, 2020, 31(4): 1323-1332.
doi: 10.13287/j.1001-9332.202004.032 |
|
|
|
| [4] |
赵耕毛, 杨梦圆, 陈硕, 苏纪康, 吕慧琳, 贾慧昕, 刘兆普. 我国盐碱地治理: 现状、问题与展望. 南京农业大学学报, 2025, 48(1): 14-26.
|
|
|
|
| [5] |
|
| [6] |
|
| [7] |
王国丽, 常芳弟, 张宏媛, 卢闯, 宋佳珅, 王婧, 逄焕成, 李玉义. 不同厚度秸秆隔层对河套灌区盐碱土壤温度、水分和食葵产量的影响. 中国农业科学, 2021, 54(19): 4155-4168. doi: 10.3864/j.issn.0578-1752.2021.19.011.
|
|
|
|
| [8] |
|
| [9] |
|
| [10] |
梁玉刚, 胡文彬, 刘烨, 李咏谊, 方宝华. 中国垄作栽培模式的研究进展. 生态学杂志, 2022, 41(7): 1414-1422.
|
|
doi: DOI: 10.13292/j.1000-4890.202207.024 |
|
| [11] |
刘佩, 刘小利, 王金金, 蔡铁, 张鹏, 任小龙, 贾志宽, 陈小莉. 集雨种植模式对小麦-玉米周年农田土壤水分及作物产量的影响. 灌溉排水学报, 2019, 38(6): 37-43.
|
|
|
|
| [12] |
邓欢, 戴飞, 史瑞杰, 王锋, 宋学锋, 赵武云. 基于HYDRUS-2D/3D的玉米全膜双垄沟水肥运移规律与根系响应. 农业机械学报, 2022, 53(S2): 100-108.
|
|
|
|
| [13] |
|
| [14] |
韩同超. 汉代华北的耕作与环境: 关于三杨庄遗址内农田垄作的探讨. 中国历史地理论丛, 2010, 25(1): 40-49.
|
|
|
|
| [15] |
|
| [16] |
|
| [17] |
|
| [18] |
|
| [19] |
张登奎, 王琦, 周旭姣, 王小赟, 赵晓乐, 赵武成, 雷俊. 生物炭覆盖垄沟集雨种植对集雨垄径流、土壤水热和红豆草产量的影响. 中国生态农业学报(中英文), 2020, 28(2): 272-285.
|
|
|
|
| [20] |
谢军, 尹学伟, 魏灵, 王子芳, 李清虎, 张晓春, 鲁远源, 王秋月, 高明. 垄作直播控制灌溉对水稻产量和温室气体排放的影响. 中国农业科学, 2023, 56(4): 697-710. doi: 10.3864/j.issn.0578-1752.2023.04.009.
|
|
|
|
| [21] |
鲍士旦. 土壤农化分析. 3版. 北京: 中国农业出版社, 2000.
|
|
|
|
| [22] |
|
| [23] |
高英波, 陶洪斌, 朱金城, 黄收兵, 徐彩龙, 盛耀辉, 王璞. 麦茬高度对机播夏玉米苗期生长及水分利用的影响. 中国农业科学, 2015, 48(19): 3803-3810. doi: 10.3864/j.issn.0578-1752.2015.19.003.
|
|
|
|
| [24] |
任昊, 程乙, 刘鹏, 董树亭, 赵杰, 张吉旺, 赵斌. 不同栽培模式对夏玉米根系性能及产量和氮素利用的影响. 中国农业科学, 2017, 50(12): 2270-2281. doi: 10.3864/j.issn.0578-1752.2017.12.008.
|
|
|
|
| [25] |
吴希, 王家瑞, 郝淼艺, 张宏军, 张仁和. 种植密度对不同生育期玉米品种光温资源利用率和产量的影响. 作物学报, 2023, 49(4): 1065-1078.
doi: 10.3724/SP.J.1006.2023.23032 |
|
doi: 10.3724/SP.J.1006.2023.23032 |
|
| [26] |
doi: 10.1038/s41467-021-26907-3 pmid: 34795219 |
| [27] |
|
| [28] |
王琳琳, 李素艳, 孙向阳, 张涛, 付颖, 张红蕾. 不同隔盐措施对滨海盐碱地土壤水盐运移及刺槐光合特性的影响. 生态学报, 2015, 35(5): 1388-1398.
|
|
|
|
| [29] |
|
| [30] |
李玉玲, 张鹏, 张艳, 贾倩民, 刘东华, 董昭芸, 贾志宽, 韩清芳, 任小龙. 旱区集雨种植方式对土壤水分、温度的时空变化及春玉米产量的影响. 中国农业科学, 2016, 49(6): 1084-1096. doi: 10.3864/j.issn.0578-1752.2016.06.005.
|
|
|
|
| [31] |
|
| [32] |
关法春, 苗彦军,
doi: 10.11733/j.issn.1007-0435.2010.06.003 |
|
|
|
| [33] |
苏丽, 葛磊, 夏江宝, 孙佳, 赵西梅. 黄河三角洲滨海滩涂不同微地形改造的盐地碱蓬恢复效应评价. 农业工程学报, 2021, 37(10): 82-90.
|
|
|
|
| [34] |
张静, 王洪章, 任昊, 殷复伟, 吴红燕, 赵斌, 张吉旺, 任佰朝, 戴爱斌, 刘鹏. 夏玉米根系构型与抗根倒性能间的关系. 作物学报, 2023, 49(1): 188-199.
doi: 10.3724/SP.J.1006.2023.23004 |
|
doi: 10.3724/SP.J.1006.2023.23004 |
|
| [35] |
doi: 10.1016/j.tplants.2014.02.001 pmid: 24630845 |
| [36] |
|
| [37] |
张贵芹, 王洪章, 郭新送, 朱福军, 高涵, 张吉旺, 赵斌, 任佰朝, 刘鹏, 任昊. 有机物料投入对滨海盐碱地土壤理化性状和夏玉米产量形成的影响. 作物学报, 2024, 50(9): 2323-2334.
doi: 10.3724/SP.J.1006.2024.43002 |
|
|
|
| [38] |
白小龙, 武晋民, 张家豪, 王腾, 杨正虎, 田丰, 赵卉, 王彬. 不同改良物料及其配施组合对河套平原盐碱土壤玉米光合与根系形态特征的影响. 生态学杂志, 2024, 43(10): 3023-3030.
|
|
doi: 10.13292/j.1000-4890.202410.015 |
|
| [39] |
杨明达, 关小康, 刘影, 崔静宇, 丁超明, 王静丽, 韩静丽, 王怀苹, 康海平, 王同朝. 滴灌模式和水分调控对夏玉米干物质和氮素积累与分配及水分利用的影响. 作物学报, 2019, 45(3): 443-459.
doi: 10.3724/SP.J.1006.2019.83026 |
|
|
|
| [40] |
|
| [41] |
王本龙, 周春生, 李利荣, 胡佩雷, 海珍. 耕作方式与灌溉定额对苏打盐碱土理化性质和玉米生长的影响. 南京农业大学学报, 2025. https://kns.cnki.net/KCMS/detail/detail.aspxfilename=NJNY20250519002&dbname=CJFD&dbcode=CJFQ.
|
|
|
|
| [42] |
韩笑晨, 张贵芹, 王亚辉, 任昊, 王洪章, 刘国利, 林佃旭, 王子强, 张吉旺, 赵斌, 任佰朝, 刘鹏. 土壤调理剂对滨海盐碱地土壤盐分含量及夏玉米产量的影响. 作物学报, 2024, 50(7): 1776-1786.
doi: 10.3724/SP.J.1006.2024.33069 |
|
|
|
| [43] |
邝雨欣, 张体彬, 程煜, 高伟强, 梁青, 童建康, 冯浩, 郁明军. 有机无机肥配施对盐渍化农田无机态氮迁移和玉米生长的影响. 干旱地区农业研究, 2025, 43(2): 105-115, 137.
|
|
|
|
| [44] |
寇江涛, 师尚礼, 蔡卓山. 垄沟集雨种植对旱作紫花苜蓿生长特性及品质的影响. 中国农业科学, 2010, 43(24): 5028-5036. doi: 10.3864/j.issn.0578-1752.2010.24.006.
|
|
|
|
| [45] |
周浩露, 申朝阳, 罗新宇, 黄英惠, 王可心, 王云浩, 高小丽. 氮肥对垄沟集雨种植谷子氮素利用效率及产量的影响. 中国农业科学, 2024, 57(5): 885-899. doi: 10.3864/j.issn.0578-1752.2024.05.005.
|
|
|
|
| [46] |
|
| [47] |
|
| [48] |
徐田军, 吕天放, 赵久然, 王荣焕, 蔡万涛, 刘月娥, 邢锦丰, 成广雷, 张春原, 张勇, 刘秀芝. 青贮玉米适收期淀粉、干物质含量和果穗鲜质量占比关系研究. 华北农学报, 2020, 35(S1): 167-175.
doi: 10.7668/hbnxb.20191264 |
|
doi: 10.7668/hbnxb.20191264 |
| [1] | 彭廷燊, 陆久焱, 吴美林, 严雨欣, 刘宏周, 南文斌, 秦小健, 李明, 龚俊义, 梁永书. 多年生水稻黄糯2号和长白7号产量相关性状的QTL分析[J]. 中国农业科学, 2026, 59(7): 1361-1379. |
| [2] | 王亚菲, 闫鹏, 薛金涛, 董学瑞, 孟凡琦, 郭丽娜, 罗艺, 张娟, 董志强, 卢霖. 乙烯利-甜菜碱-水杨酸合剂对高温胁迫下玉米根系建构、生理功能和产量的影响[J]. 中国农业科学, 2026, 59(7): 1439-1455. |
| [3] | 王玉萍, 符质, 孙佳莹, 穆晓萌, 刘慧淋, 郭进云, 宋文菁, 侯雷平, 赵海亮. 苗期施用褪黑素对番茄短期低温胁迫的缓解作用与应用效果评价[J]. 中国农业科学, 2026, 59(7): 1523-1535. |
| [4] | 王佳诺, 陈桂平, 李盼, 王丽萍, 南运有, 何蔚, 樊志龙, 胡发龙, 柴强, 殷文, 赵连豪. 免耕地膜两年覆盖提高绿洲灌区玉米产量的灌浆期光合生理机制[J]. 中国农业科学, 2026, 59(6): 1189-1202. |
| [5] | 周新杰, 任昊, 陈应龙, 张吉旺, 赵斌, 任佰朝, 刘鹏, 王洪章. 过氧化钙对渍涝农田夏玉米根系形态及产量形成的影响[J]. 中国农业科学, 2026, 59(6): 1203-1216. |
| [6] | 何继航, 张擎, 吕相月, 薛吉全, 徐淑兔, 刘建超. 不同保绿型玉米杂交种氮效率评价[J]. 中国农业科学, 2026, 59(6): 1217-1230. |
| [7] | 李永娟, 张悦彤, 王艺博, 赵长江, 宋洁, 陈雪丽, 姚钦. 生物炭施用对大豆轮连作系统土壤固氮微生物nifH基因丰度及群落组成的影响[J]. 中国农业科学, 2026, 59(6): 1272-1285. |
| [8] | 李思源, 李鸿萍, 常洪庆, 张森焱, 栗思佳, 崔欣飞, 乔泼, 曾波, 刘桂珍, 刘天学, 汤继华, 李潮海. 增密对不同株高玉米品种产量和农艺性状动态变化的影响[J]. 中国农业科学, 2026, 59(5): 967-984. |
| [9] | 董金龙, 赵莹, 余海兵, 吕建晔, 秦佳琦, 梁晨, 明博, 李少昆. 多模型解析玉米籽粒容重的营养品质贡献度与区域异质性[J]. 中国农业科学, 2026, 59(5): 985-995. |
| [10] | 郝琨, 陈洪德, 张威, 钟韵, 党美荣, 朱士江, 黄志坤, 金英. 基于柑橘产量、品质及水氮利用的涌泉根灌水氮综合评价[J]. 中国农业科学, 2026, 59(4): 862-873. |
| [11] | 郭富城, 唐海江, 郝馨怡, 马国林, 杨九菊, 黄霖锋, 田蕾, 王彬, 罗成科. 不同灌溉方式对宁夏盐渍化土壤水盐运移、水稻产量及水分利用效率的影响[J]. 中国农业科学, 2026, 59(4): 750-764. |
| [12] | 延廷霖, 杜娅丹, 胡笑涛, 王贺, 李晓雁, 王玉明, 牛文全, 谷晓博. 加气滴灌下氮肥有机替代对亏缺灌溉棉花产量和水分利用效率的影响[J]. 中国农业科学, 2026, 59(3): 602-618. |
| [13] | 陈桂平, 韦金贵, 郭瑶, 李盼, 王菲儿, 仇海龙, 冯福学, 殷文. 宽窄行与增密对绿洲灌区玉米光合特性及资源利用的协同效应[J]. 中国农业科学, 2026, 59(2): 278-291. |
| [14] | 蔡廷阳, 朱玉鹏, 李瑞东, 吴宗声, 徐一帆, 宋雯雯, 徐彩龙, 吴存祥. 苗期叶损伤对黄淮海夏大豆光合特性、荚果分布及产量形成的影响[J]. 中国农业科学, 2026, 59(2): 292-304. |
| [15] | 张志勇, 谭世超, 熊淑萍, 马新明, 韦一昊, 王小纯. 水氮周年优化对豫北灌区小麦玉米轮作系统产量和氮迁移的影响[J]. 中国农业科学, 2026, 59(2): 336-353. |
|
||