





中国农业科学 ›› 2026, Vol. 59 ›› Issue (4): 750-764.doi: 10.3864/j.issn.0578-1752.2026.04.004
郭富城(
), 唐海江, 郝馨怡, 马国林, 杨九菊, 黄霖锋, 田蕾, 王彬, 罗成科(
)
收稿日期:2025-07-29
出版日期:2026-02-10
发布日期:2026-02-10
通信作者:
联系方式:
郭富城,E-mail:guofuchengaku@163.com。
基金资助:
GUO FuCheng(
), TANG HaiJiang, HAO XinYi, MA GuoLin, YANG JiuJu, HUANG LinFeng, TIAN Lei, WANG Bin, LUO ChengKe(
)
Received:2025-07-29
Published:2026-02-10
Online:2026-02-10
摘要:
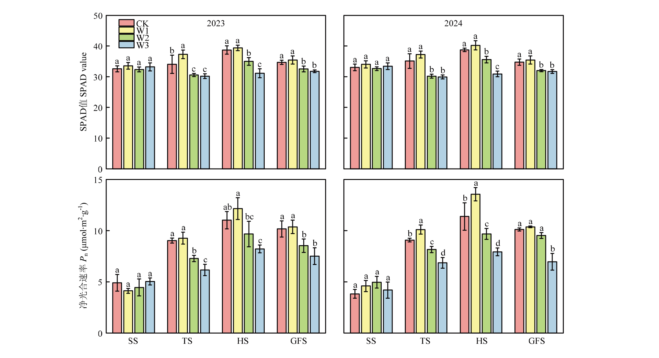
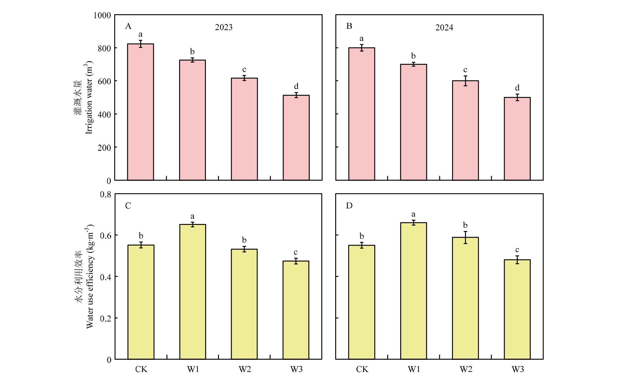
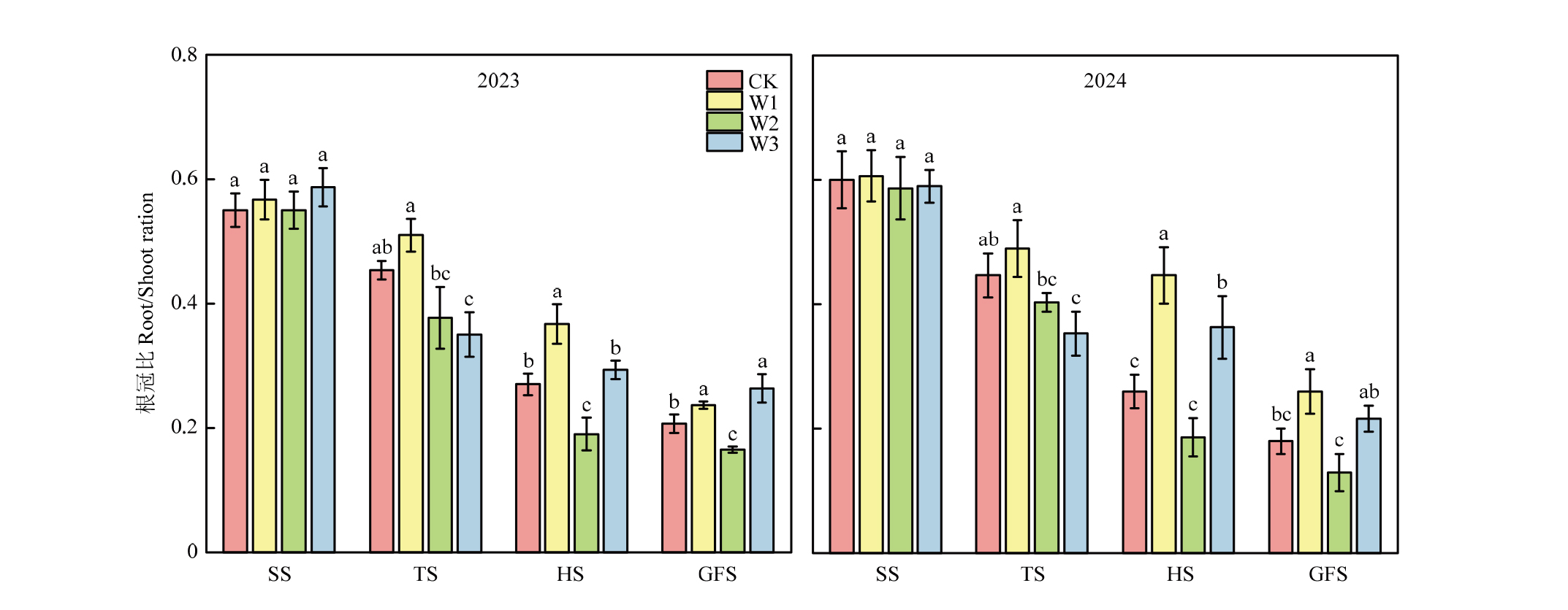
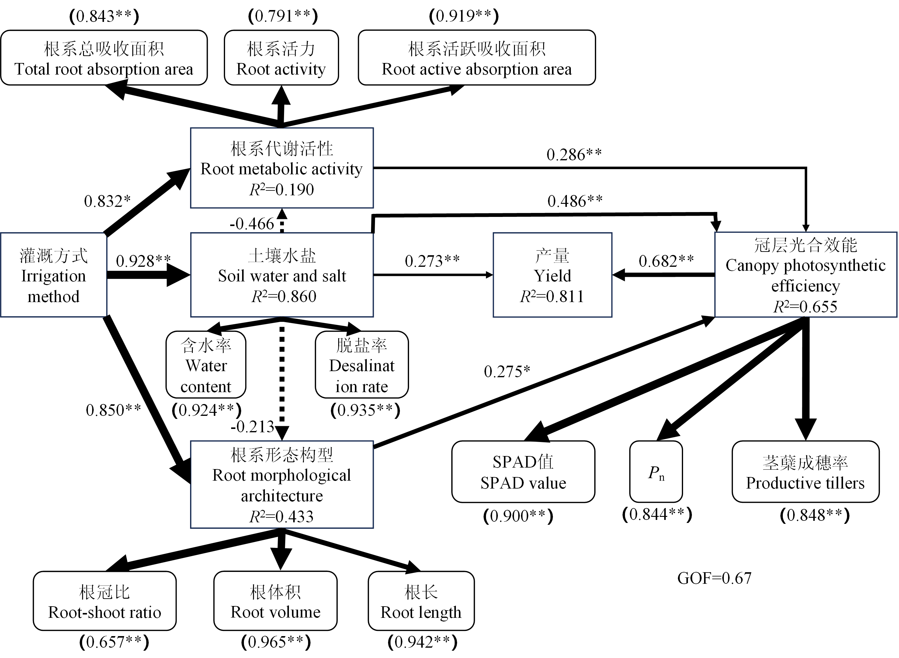
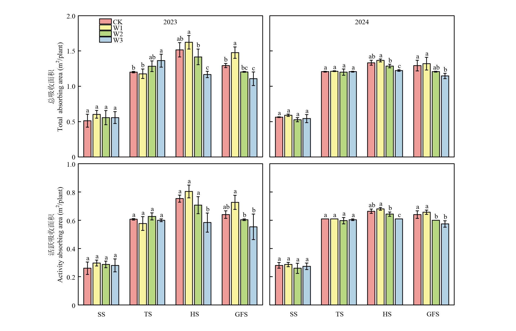
【目的】探明不同灌溉方式对宁夏盐渍化稻田土壤水盐运移、水稻产量及水分利用效率的影响及其生理机制,以明确适宜该地区的水稻灌溉方式。【方法】以当地主栽品种宁粳52为试验材料,通过2年田间定位试验,系统研究传统灌溉(CK)与不同水平干湿交替灌溉方式(W1、W2、W3处理,即水稻分蘖初期至灌浆末期,土壤水势降至-10、-20、-30 kPa后恢复水层,再落干,如此循环)下土壤水盐运移规律、水稻生理特性、产量及水分利用效率,并运用偏最小二乘路径模型(PLS-PM)探究各变量间的关系。【结果】不同灌溉方式显著改变了土壤水盐分布,其中0—40 cm土层是盐分淋洗主要发生区域。相较于CK,W1处理导致0—40 cm土层含水率下降11.46%,0—20 cm土层电导率(EC)增长8.43%,20—40 cm土层脱盐率达6.14%,明显优于CK(2.21%)。生理分析显示,相较于CK,W1处理显著增加了抽穗期和灌浆期的根长、根体积和根冠比,且提高了灌浆期的根系活力、根系总吸收面积和活跃吸收面积,并增强冠层光合效能(叶片叶绿素相对含量(SPAD)和净光合速率),最终使产量提高3.96%—4.75%,水分利用效率提高18.30%—19.77%。相比之下,W2和W3处理下的土壤含水率下降明显,土壤盐分积累增多、根系发育受阻、光合效率下降,产量降幅达20.00%—46.46%。利用PLS-PM进一步分析表明,不同灌溉方式通过调控土壤水盐、根系形态和生理来影响水稻冠层光合效能,进而直接或间接影响产量。其中,冠层光合效能是影响水稻产量的主要驱动因子。【结论】-10 kPa下的干湿交替灌溉方式,通过协调水盐分布、改善根系形态生理和光合效率,实现盐渍化稻田水稻节水增产,可作为宁夏盐渍化地区适宜的灌溉方式。
郭富城, 唐海江, 郝馨怡, 马国林, 杨九菊, 黄霖锋, 田蕾, 王彬, 罗成科. 不同灌溉方式对宁夏盐渍化土壤水盐运移、水稻产量及水分利用效率的影响[J]. 中国农业科学, 2026, 59(4): 750-764.
GUO FuCheng, TANG HaiJiang, HAO XinYi, MA GuoLin, YANG JiuJu, HUANG LinFeng, TIAN Lei, WANG Bin, LUO ChengKe. Effects of Different Irrigation Methods on Water-Salt Transport, Rice Yield, and Water Use Efficiency in Saline Soil in Ningxia[J]. Scientia Agricultura Sinica, 2026, 59(4): 750-764.
表1
土壤基础理化性质"
| 年份 Year | 土层 Depth (cm) | 全盐 Total salt (g·kg-1) | pH | 全氮 Total N (g·kg-1) | 有机质 Organic matter (g·kg-1) | 速效磷 Available P (mg·kg-1) | 碱解氮 Alkali-hydrolysable N (mg·kg-1) | 速效钾 Available K (mg·kg-1) |
|---|---|---|---|---|---|---|---|---|
| 2023 | 0—20 | 4.69 | 8.78 | 0.41 | 8.79 | 29.70 | 14.93 | 139.49 |
| 20—40 | 3.59 | 8.90 | 0.28 | 8.75 | 16.79 | 11.20 | 158.61 | |
| 2024 | 0—20 | 4.34 | 8.78 | 0.35 | 10.71 | 23.06 | 17.92 | 142.13 |
| 20—40 | 2.83 | 9.11 | 0.21 | 9.58 | 18.18 | 11.67 | 167.18 |
表2
不同灌溉方式对水稻产量的影响"
| 年份 Year | 处理 Treatment | 穗数 Panicle number (×104·hm-2) | 每穗粒数 Spikelets per panicle | 结实率 Setting percentage (%) | 千粒重 Thousand-grain weight (g) | 产量 Yield (kg·hm-2) |
|---|---|---|---|---|---|---|
| 2023 | CK | 454a | 72.88a | 88.97b | 23.86a | 6815a |
| W1 | 435a | 76.64a | 93.09a | 23.33ab | 7085a | |
| W2 | 363b | 54.15b | 90.34b | 22.80b | 4917b | |
| W3 | 379b | 49.38b | 76.47c | 21.95c | 3649c | |
| 2024 | CK | 472a | 67.80a | 90.60b | 23.76a | 6608a |
| W1 | 446a | 69.98a | 93.30a | 23.50a | 6922a | |
| W2 | 388b | 52.82b | 88.63b | 22.47b | 5287b | |
| W3 | 379b | 49.38b | 79.86c | 21.95c | 3605c | |
| 方差分析 ANOVA | ||||||
| 年份 Year (Y) | ns | * | ns | ns | ns | |
| 处理 Treatment (T) | ** | ** | ** | ** | ** | |
| 年份×处理 Y×T | ns | ns | ** | ns | ns | |
表3
不同灌溉方式对水稻根长、根体积的影响"
| 年份 Year | 处理 Treatment | 根总长 Total root length (cm/plant) | 根体积 Root volume (mm3/plant) | ||||||
|---|---|---|---|---|---|---|---|---|---|
| 苗期 Seedling | 分蘖期 Tillering | 抽穗期 Heading | 灌浆期 Grain-filling | 苗期 Seedling | 分蘖期 Tillering | 抽穗期 Heading | 灌浆期 Grain-filling | ||
| 2023 | CK | 69.00a | 893.60b | 1007.11b | 780.12a | 294.16a | 66442.56b | 75676.85b | 58328.72a |
| W1 | 70.64a | 975.36a | 1256.63a | 809.72a | 257.86a | 80106.52a | 102707.10a | 63131.65a | |
| W2 | 67.24a | 817.70c | 960.28bc | 709.08b | 278.34a | 51793.50c | 58511.00c | 36429.62b | |
| W3 | 62.91a | 811.58c | 831.81c | 606.26c | 264.40a | 46877.37c | 35676.99d | 23734.85c | |
| 2024 | CK | 66.76b | 852.75a | 1053.29b | 723.72a | 249.27b | 64931.85b | 72674.76b | 47491.38a |
| W1 | 64.58b | 908.45a | 1230.24a | 787.81a | 270.11a | 76090.57a | 86082.73a | 56550.26a | |
| W2 | 65.68b | 709.16b | 938.43c | 652.10ab | 269.82a | 51251.57c | 48047.37c | 32250.94b | |
| W3 | 72.59a | 680.26b | 799.13d | 541.93b | 252.23b | 40978.19d | 39785.55c | 25743.48b | |
| 方差分析 ANOVA | |||||||||
| 年份 Year (Y) | ns | ns | ns | * | ns | ns | * | ns | |
| 处理 Treatment (T) | ns | ** | ** | ** | ns | ** | ** | ** | |
| 年份×处理 Y×T | ns | ns | ns | ns | ns | ns | ns | ns | |
表4
不同灌溉方式对水稻分蘖及分蘖成穗率的影响"
| 年份 Year | 处理 Treatment | 茎蘖数 Number of tillers | 茎蘖成穗率 Productivre tillers (%) | ||
|---|---|---|---|---|---|
| 分蘖初期Initial tillering | 分蘖盛期Active tillering | 灌浆期Grain-filling | |||
| 2023 | CK | 555±5.8b | 827±9.8a | 454±5.3a | 54.93±0.9a |
| W1 | 589±5.3a | 793±15.4b | 435±8.1a | 54.95±2.0a | |
| W2 | 592±12.9a | 795±4.7b | 363±2.2b | 45.63±0.5c | |
| W3 | 592±8.0a | 767±2.4b | 379±5.2b | 49.43±0.6b | |
| 2024 | CK | 568±2.4b | 829±7.0a | 472±4.6a | 56.87±1.2a |
| W1 | 612±4.5a | 814±1.2b | 446±2.0a | 54.82±0.3a | |
| W2 | 576±10.7b | 791±1.2c | 388±4.8b | 49.01±0.6b | |
| W3 | 605±3.6a | 766±5.2d | 379±14.7b | 49.51±2.3b | |
| 方差分析ANOVA | |||||
| 年份Year (Y) | ns | ns | ns | ns | |
| 处理Treatment (T) | ns | ** | ** | ** | |
| 年份×处理 Y×T | ns | ** | ns | ns | |
| [1] |
张洪程, 胡雅杰, 杨建昌, 戴其根, 霍中洋, 许轲, 魏海燕, 高辉, 郭保卫, 邢志鹏, 胡群. 中国特色水稻栽培学发展与展望. 中国农业科学, 2021, 54(7): 1301-1321. doi:10.3864/j.issn.0578-1752.2021.07.001.
|
|
|
|
| [2] |
doi: 10.1016/j.agwat.2022.107507 |
| [3] |
刘涛. 宁夏引黄灌区盐碱荒地水肥盐与植物根系调控技术研究[D]. 北京: 北京林业大学, 2020.
|
|
|
|
| [4] |
|
| [5] |
doi: 10.1016/j.agwat.2024.109096 |
| [6] |
张梅. 吉林省西部苏打盐碱土种稻改良机理与生产关键技术研究[D]. 长春: 吉林农业大学, 2015.
|
|
|
|
| [7] |
吴攀, 张志山, 黄磊, 胡宜刚, 陈永乐. 人工布设基质对农田排水沟水质的影响. 中国生态农业学报, 2012, 20(5): 578-584.
|
|
doi: 10.3724/SP.J.1011.2012.00578 |
|
| [8] |
赵一波, 杨威, 屈忠义, 王丽萍, 高晓瑜, 张如鑫, 任恩良. 春汇/夏浇灌溉制度对盐碱土壤水盐运移及向日葵水分利用的影响. 灌溉排水学报, 2024, 43(6): 10-17.
|
|
|
|
| [9] |
doi: 10.1016/j.agrformet.2015.08.264 |
| [10] |
朱士江, 孙爱华, 张忠学, 王忠波, 杜平. 不同节水灌溉模式对水稻分蘖、株高及产量的影响. 节水灌溉, 2013(12): 16-19.
|
|
|
|
| [11] |
吴海兵, 刘道红, 钟鸣, 汪友元. 水分管理和钾肥施用对水稻产量和抗倒伏性的影响. 作物杂志, 2019(1): 127-133.
|
|
|
|
| [12] |
李永松, 袁帅, 陈基旺, 苏雨婷, 崔璨, 蒋艳方, 陈平平, 王晓玉, 易镇邪. 灌溉方式对湘南双季稻产量的影响机制研究. 杂交水稻, 2022, 37(1): 103-110.
|
|
|
|
| [13] |
doi: 10.1111/aab.2018.173.issue-3 |
| [14] |
徐冉, 杨文叶, 朱均林, 陈松, 徐春梅, 刘元辉, 章秀福, 王丹英, 褚光. 不同灌溉模式对籼粳杂交稻甬优1540产量与水分利用效率的影响. 作物学报, 2024, 50(2): 425-439.
doi: 10.3724/SP.J.1006.2024.32016 |
|
doi: 10.3724/SP.J.1006.2024.32016 |
|
| [15] |
徐国伟, 赵喜辉, 江孟孟, 陆大克, 陈明灿. 轻度干湿交替灌溉协调水稻根冠生长、提高产量及氮肥利用效率. 植物营养与肥料学报, 2021, 27(8): 1388-1396.
|
|
|
|
| [16] |
耿欣宇, 刘月月, 张强, 郭丽颖, 耿艳秋, 桑梦祥, 王金陆, 王昊, 宋春澎, 杨宏森, 邵玺文. 干湿交替灌溉对旱直播水稻产量与品质的影响及其生理机制. 江西农业大学学报, 2023, 45(6): 1331-1346.
|
|
|
|
| [17] |
doi: 10.3390/agronomy11010120 |
| [18] |
李婷婷, 冯钰枫, 朱安, 黄健, 汪浩, 李思宇, 刘昆, 彭如梦, 张宏路, 刘立军. 主要节水灌溉方式对水稻根系形态生理的影响. 中国水稻科学, 2019, 33(4): 293-302.
doi: 10.16819/j.1001-7216.2019.8116 |
|
doi: 10.16819/j.1001-7216.2019.8116 |
|
| [19] |
doi: 10.1002/fes3.442 |
| [20] |
法晓彤, 孟庆好, 王琛, 顾汉柱, 景文疆, 张耗. 水稻根系形态生理对干湿交替灌溉方式的响应研究进展. 作物杂志, 2024(6): 1-8.
|
|
|
|
| [21] |
doi: 10.1016/j.jia.2023.06.031 |
| [22] |
邱佳慧, 刘博懿, 靳伟荣, 才硕, 喻宏磊. 不同灌溉模式对水稻耗水量及产量的影响. 江西水利科技, 2021, 47(5): 313-316.
|
|
|
|
| [23] |
杨文伟, 石亚飞, 高莲, 张娟伟, 陈丽, 孙建昌, 罗成科. 播深和播量对宁夏地区直播稻幼苗素质和产量的影响. 核农学报, 2023, 37(1): 148-158.
doi: 10.11869/j.issn.1000-8551.2023.01.0148 |
|
doi: 10.11869/j.issn.1000-8551.2023.01.0148 |
|
| [24] |
曹振玺, 李勇, 申孝军, 宋妮, 王峰, 王兴鹏. 不同灌水技术参数对农田水盐运移的影响. 灌溉排水学报, 2020, 39(3): 57-62, 71.
|
|
|
|
| [25] |
杨颖. 不同籼稻品种的农艺生理特征对干湿交替灌溉的响应[D]. 扬州: 扬州大学, 2022.
|
|
|
|
| [26] |
张伟杨, 任维晨, 于吉祥, 张耗, 顾骏飞, 王志琴, 刘立军, 赵步洪, 杨建昌. 轻干湿交替灌溉促进水稻茎中碳同化物积累与转运的机制. 扬州大学学报(农业与生命科学版), 2021, 42(6): 9-16.
|
|
|
|
| [27] |
褚光, 展明飞, 朱宽宇, 王志琴, 杨建昌. 干湿交替灌溉对水稻产量与水分利用效率的影响. 作物学报, 2016, 42(7): 1026-1036.
|
|
doi: 10.3724/SP.J.1006.2016.01026 |
|
| [28] |
许兴, 张佳宝, 李玉义, 尹雪斌, 田军仓, 陈小兵, 赵举, 佘冬立. 黄河流域盐碱地改良与综合利用. 农业科学研究, 2024, 45(4): 1-12.
|
|
|
|
| [29] |
宋仁友, 吕廷波, 刘一凡, 李文昊, 付鑫法, 李港强. 春灌定额对不同盐碱度农田水盐分布影响研究. 节水灌溉, 2024(4): 19-26.
doi: 10.12396/jsgg.2023452 |
|
|
|
| [30] |
宁慧峰, 曹振玺, 李松敏, 史璐剑, 申孝军, 李勇, 韩其晟, 张现波, 杨光. 灌溉处理对膜下滴灌棉花根区水盐分布及水分利用效率的影响. 灌溉排水学报, 2025, 44(8): 9-19.
|
|
|
|
| [31] |
刘小媛, 高佩玲, 杨大明, 张晴雯, 张宇航. 咸淡水间歇组合灌溉对盐碱耕地土壤水盐运移特性的影响. 土壤学报, 2017, 54(6): 1404-1413.
|
|
|
|
| [32] |
吴忠东, 王全九. 微咸水波涌畦灌对土壤水盐分布的影响. 农业机械学报, 2010, 41(1): 53-58.
|
|
|
|
| [33] |
doi: 10.5194/hess-22-2937-2018 |
| [34] |
胡旭凯, 陈居田, 朱利霞, 李俐俐. 干湿交替对土壤团聚体特征的影响. 中国农业科技导报, 2021, 23(2): 141-149.
doi: 10.13304/j.nykjdb.2019.0471 |
|
doi: 10.13304/j.nykjdb.2019.0471 |
|
| [35] |
春宇, 李向颖, 元元, 萨日娜. 盐碱胁迫对藜麦生理生化及代谢水平的影响综述. 农业科学研究, 2024, 45(4): 67-77.
|
|
|
|
| [36] |
蒋玉兰. 干湿交替灌溉对水稻产量、根系形态生理和土壤性状的影响[D]. 扬州: 扬州大学, 2018.
|
|
|
|
| [37] |
徐国伟, 王贺正, 翟志华, 孙梦, 李友军. 不同水氮耦合对水稻根系形态生理、产量与氮素利用的影响. 农业工程学报, 2015, 31(10): 132-141.
|
|
|
|
| [38] |
李萍, 刘玉皎. 高海拔地区蚕豆/马铃薯根系时空分布特征及根系活性研究. 宁夏大学学报(自然科学版), 2013, 34(4): 338-343.
|
|
|
|
| [39] |
唐文帮, 邓化冰, 肖应辉, 张桂莲, 范科, 莫慧, 陈立云. 两系杂交水稻C两优系列组合的高产根系特征. 中国农业科学, 2010, 43(14): 2859-2868. doi:10.3864/j.issn.0578-1752.2010.14.004.
|
|
|
|
| [40] |
|
| [41] |
张静, 刘娟, 陈浩, 杜彦修, 李俊周, 孙红正, 赵全志. 干湿交替条件下稻田土壤氧气和水分变化规律研究. 中国生态农业学报, 2014, 22(4): 408-413.
|
|
|
| [1] | 彭廷燊, 陆久焱, 吴美林, 严雨欣, 刘宏周, 南文斌, 秦小健, 李明, 龚俊义, 梁永书. 多年生水稻黄糯2号和长白7号产量相关性状的QTL分析[J]. 中国农业科学, 2026, 59(7): 1361-1379. |
| [2] | 王玉萍, 符质, 孙佳莹, 穆晓萌, 刘慧淋, 郭进云, 宋文菁, 侯雷平, 赵海亮. 苗期施用褪黑素对番茄短期低温胁迫的缓解作用与应用效果评价[J]. 中国农业科学, 2026, 59(7): 1523-1535. |
| [3] | 王佳诺, 陈桂平, 李盼, 王丽萍, 南运有, 何蔚, 樊志龙, 胡发龙, 柴强, 殷文, 赵连豪. 免耕地膜两年覆盖提高绿洲灌区玉米产量的灌浆期光合生理机制[J]. 中国农业科学, 2026, 59(6): 1189-1202. |
| [4] | 周新杰, 任昊, 陈应龙, 张吉旺, 赵斌, 任佰朝, 刘鹏, 王洪章. 过氧化钙对渍涝农田夏玉米根系形态及产量形成的影响[J]. 中国农业科学, 2026, 59(6): 1203-1216. |
| [5] | 何继航, 张擎, 吕相月, 薛吉全, 徐淑兔, 刘建超. 不同保绿型玉米杂交种氮效率评价[J]. 中国农业科学, 2026, 59(6): 1217-1230. |
| [6] | 陈敏, 焦紫岚, 乔承彬, 许昊, 张碧, 马东花, 孔维儒, 王敬文, 宋佳伟, 罗成科, 李培富, 田蕾. 不同亚种水稻种质资源对盐胁迫的形态生理响应及适应策略[J]. 中国农业科学, 2026, 59(4): 705-722. |
| [7] | 张卫建, 严圣吉, 尚子吟, 唐志伟, 吴柳格, 李佳锐, 陈浩天, 邓艾兴, 张俊, 张鑫, 郑成岩, 宋振伟. 稻田甲烷不完全源于水稻种植的人为贡献[J]. 中国农业科学, 2026, 59(4): 824-833. |
| [8] | 郝琨, 陈洪德, 张威, 钟韵, 党美荣, 朱士江, 黄志坤, 金英. 基于柑橘产量、品质及水氮利用的涌泉根灌水氮综合评价[J]. 中国农业科学, 2026, 59(4): 862-873. |
| [9] | 朱姝, 国志鹏, 孙颖. 水稻雷帕霉素靶蛋白OsTOR调控根伸长的功能研究[J]. 中国农业科学, 2026, 59(3): 475-485. |
| [10] | 咸青林, 肖鉴珂, 高阿庆, 郜利闯, 刘杨. 种植方式结合测墒补灌下冬小麦产量及水分利用效率[J]. 中国农业科学, 2026, 59(3): 589-601. |
| [11] | 延廷霖, 杜娅丹, 胡笑涛, 王贺, 李晓雁, 王玉明, 牛文全, 谷晓博. 加气滴灌下氮肥有机替代对亏缺灌溉棉花产量和水分利用效率的影响[J]. 中国农业科学, 2026, 59(3): 602-618. |
| [12] | 吕文彦, 程海涛, 马兆惠, 田淑华. 育种新时代水稻杂交育种技术与策略探讨[J]. 中国农业科学, 2026, 59(2): 233-238. |
| [13] | 廖婷璐, 石亚飞, 肖东浩, 舍杨梦斐, 郭富城, 杨九菊, 唐海江, 罗成科. 外源硝普钠对碱胁迫下水稻幼苗糖代谢的影响[J]. 中国农业科学, 2026, 59(2): 265-277. |
| [14] | 蔡廷阳, 朱玉鹏, 李瑞东, 吴宗声, 徐一帆, 宋雯雯, 徐彩龙, 吴存祥. 苗期叶损伤对黄淮海夏大豆光合特性、荚果分布及产量形成的影响[J]. 中国农业科学, 2026, 59(2): 292-304. |
| [15] | 刘天生, 刘耕源, 赵安琪, 杨旭, 蔡明雪, 杨艾文, 娄铭轩, 李沐恺, 王晗, 张亚玲. 黑龙江省水稻恶苗病致病群体[J]. 中国农业科学, 2026, 59(2): 305-321. |
|
||