





中国农业科学 ›› 2025, Vol. 58 ›› Issue (20): 4246-4258.doi: 10.3864/j.issn.0578-1752.2025.20.016
所属专题: 专刊——盐碱地智慧监测与生态化利用
白小龙1(
), 刘娜1, 宋佳珅1, 王国丽1, 王伟妮3, 刘俊梅3, 李玉义1,2(
)
收稿日期:2025-07-14
接受日期:2025-09-24
出版日期:2025-10-16
发布日期:2025-10-14
通信作者:
联系方式:
白小龙,E-mail:15609585637@163.com。
基金资助:
BAI XiaoLong1(
), LIU Na1, SONG JiaShen1, WANG GuoLi1, WANG WeiNi3, LIU JunMei3, LI YuYi1,2(
)
Received:2025-07-14
Accepted:2025-09-24
Published:2025-10-16
Online:2025-10-14
摘要:
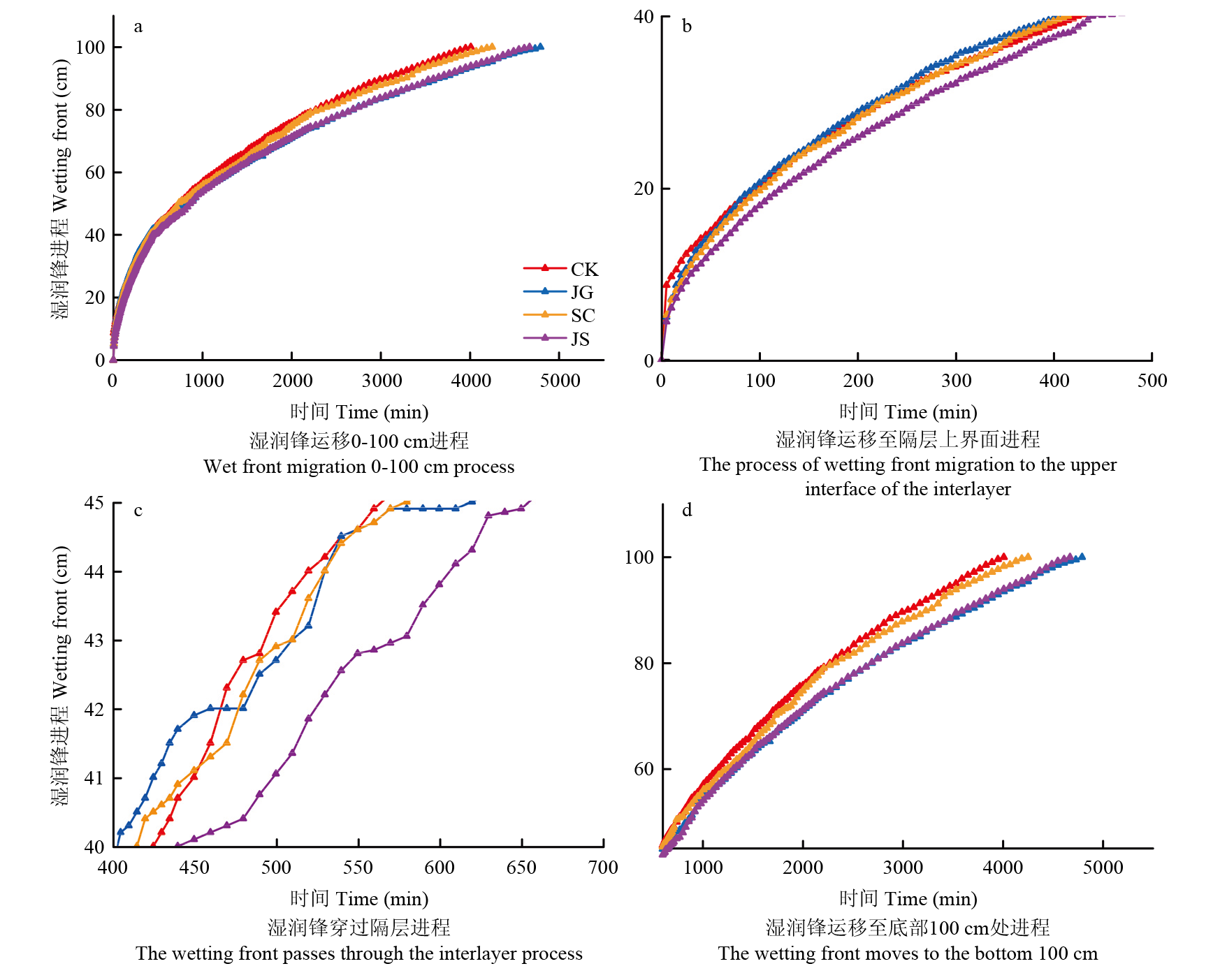
【目的】探究复合隔层对盐碱土水分入渗、蒸发及水盐分布调控机制,为盐碱地改良提供理论依据。【方法】选取内蒙古五原地区典型盐碱土,开展室内土柱模拟试验。设置4种处理:CK (无隔层)、JG(秸秆隔层)、SC(混合砂层)、JS(混合砂层和秸秆组合隔层),对比研究复合隔层和单一隔层对土壤水分入渗过程、蒸发过程以及盐分变化的影响。【结果】湿润锋运移至40 cm处,隔层处理较CK延长3.5%—10.6%,穿过隔层时延长13.8%—55.2%,JG处理到达100 cm土层的时间分别较CK、SC、JS处理延后780、540、120 min。入渗结束后,0—40 cm土层JG、SC、JS处理的土壤平均含水量较CK处理分别提高22.9%、18.7%和21.9%。在0—40 cm土层,隔层处理的土壤含盐量较CK降低了18.6%—29.6%;40—70 cm土层JS处理的脱盐率最高,较CK降低49.4%;70—100 cm土层各隔层处理含盐量均低于CK处理,JS处理降幅最大。在连续45 d蒸发过程中,铺设隔层显著抑制累积蒸发量,CK蒸发量为572 mm,JG、SC、JS处理分别降至194、235、205 mm,较CK降低66.1%、58.9%、64.2%。45 d连续蒸发过程中,各处理0—100 cm剖面含水量整体随深度递减,在0—40 cm土层,CK含水量随蒸发时间延长持续下降,第15、30、45天分别为23.4%、21.0%、21.6%,JG、SC、JS处理较CK降低了14.6%—33.8%、11.2%—17.0%、14.9%—30.3%,JG与JS处理降幅显著大于SC处理;在45—60 cm土层,隔层处理含水量高于CK处理,第15天JG、SC、JS处理分别提高4.8%、3.7%、5.4%。蒸发过程中各处理0—100 cm剖面盐分整体呈“上低下高”分布,在0—40 cm土层,JG、SC、JS处理的土壤平均含盐量分别较CK降低35.0%—70.3%、19.1%—51.4%、32.8%—62.7%;在40—70 cm土层,各处理盐分先升后降,JG、SC、JS处理较CK处理提高10.6%—14.4%;在70—100 cm土层,JG、SC、JS处理的土壤平均含盐量较CK处理降低8.4%—28.3%。【结论】综合来看,在盐碱土壤中铺设隔层能够有效调控水盐分布,混合砂层和秸秆组合隔层在抑制潜水蒸发和盐分上返方面的效果优于单一隔层。
白小龙, 刘娜, 宋佳珅, 王国丽, 王伟妮, 刘俊梅, 李玉义. 复合隔层对盐碱土水分入渗、蒸发及水盐分布的影响[J]. 中国农业科学, 2025, 58(20): 4246-4258.
BAI XiaoLong, LIU Na, SONG JiaShen, WANG GuoLi, WANG WeiNi, LIU JunMei, LI YuYi. Mechanisms of Composite Interlayer in Regulating Water Infiltration, Evaporation, and Water-Salt Distribution in Saline-Alkali Soil[J]. Scientia Agricultura Sinica, 2025, 58(20): 4246-4258.
| [1] |
李玉义, 逄焕成, 张志忠, 刘双平, 张琛平, 魏由庆. 内蒙古河套平原盐碱化土壤改良分区特点与对策. 中国农业资源与区划, 2020, 41(5): 115-121.
|
|
|
|
| [2] |
白小龙, 王彬, 刘云鹏, 王腾, 张百含, 刘盼婷, 田丰, 赵卉. 改良物料配施提升河套灌区盐碱土团聚体稳定性、有机碳含量及玉米产量. 植物营养与肥料学报, 2024, 30(11): 2082-2092.
|
|
|
|
| [3] |
王增丽, 董平国, 樊晓康, 王天任. 膜下滴灌不同灌溉定额对土壤水盐分布和春玉米产量的影响. 中国农业科学, 2016, 49(12): 2345-2354. doi: 10.3864/j.issn.0578-1752.2016.12.010.
|
|
|
|
| [4] |
|
| [5] |
姚宝林, 孙三民, 李发永, 李朝阳, 王学成. 潜水蒸发条件下不同棉秆隔层埋深对土壤盐分时空分布的影响. 灌溉排水学报, 2021, 40(10): 95-102.
|
|
|
|
| [6] |
常芳弟, 王国丽, 张晓丽, 张宏媛, 宋佳珅, 卢闯, 逄焕成, 冀宏杰, 李玉义. 河套灌区春灌结合秸秆隔层对盐碱土壤温度的调控效果. 植物营养与肥料学报, 2020, 26(11): 1987-1997.
|
|
|
|
| [7] |
郭凯, 封晓辉, 伍靖伟, 陈小兵, 巨兆强, 孙宏勇, 刘小京. 盐碱地肥沃耕层构建水肥盐综合调控机理与技术研究进展. 土壤学报, 2024, 61(1): 29-38.
|
|
|
|
| [8] |
乔海龙, 刘小京, 李伟强, 黄玮, 李存桢, 李志刚. 秸秆深层覆盖对土壤水盐运移及小麦生长的影响. 土壤通报, 2006, 37(5): 885-889.
|
|
|
|
| [9] |
|
| [10] |
|
| [11] |
|
| [12] |
|
| [13] |
|
| [14] |
王国丽, 常芳弟, 张宏媛, 卢闯, 宋佳珅, 王婧, 逄焕成, 李玉义. 不同厚度秸秆隔层对河套灌区盐碱土壤温度、水分和食葵产量的影响. 中国农业科学, 2021, 54(19): 4155-4168. doi: 10.3864/j.issn.0578-1752.2021.19.011.
|
|
|
|
| [15] |
卢闯, 逄焕成, 张宏媛, 张建丽, 张浩, 李玉义. 春灌结合秸秆隔层促进土壤脱盐增加微生物多样性. 农业工程学报, 2017, 33(18): 87-94.
|
|
|
|
| [16] |
赵永敢, 逄焕成, 李玉义, 胡小龙, 王婧, 高鸿永. 秸秆隔层对盐碱土水盐运移及食葵光合特性的影响. 生态学报, 2013, 33(17): 5153-5161.
|
|
|
|
| [17] |
张宏媛, 逄焕成, 卢闯, 刘娜, 张晓丽, 李玉义. CT扫描分析秸秆隔层孔隙特征及其对土壤水入渗的影响. 农业工程学报, 2019, 35(6): 114-122.
|
|
|
|
| [18] |
丁运韬, 程煜, 张体彬, 姬祥祥, 董勤各, 冯浩, 张相柱. 滴灌灌水下限对夹砂层农田土壤水盐分布和玉米生长的影响. 土壤学报, 2022, 59(3): 733-744.
|
|
|
|
| [19] |
郑健, 李永春, 王燕, 石聪, 鲍婷婷. 土壤混掺生物炭对微咸水入渗特性及水盐分布特征的影响. 中国水土保持科学(中英文), 2023, 21(6): 13-22.
|
|
|
|
| [20] |
张薇, 蔺文静, 王贵玲. 基于遥感反演河套平原区域蒸发蒸腾量研究. 遥感信息, 2009, 24(6): 28-31, 42.
|
|
|
|
| [21] |
王婧, 逄焕成, 任天志, 李玉义, 赵永敢. 地膜覆盖与秸秆深埋对河套灌区盐渍土水盐运动的影响. 农业工程学报, 2012, 28(15): 52-59.
|
|
|
|
| [22] |
张宏媛, 逄焕成, 宋佳珅, 王国丽, 常芳弟, 李玉义. 亚表层有机培肥调控盐渍土孔隙结构与水盐运移机制. 农业机械学报, 2022, 53(2): 355-364.
|
|
|
|
| [23] |
doi: 10.1007/s40333-022-0060-6 |
| [24] |
|
| [25] |
张瑞喜, 王卫兵, 褚贵新. 磁化水在盐渍化土壤中的入渗和淋洗效应. 中国农业科学, 2014, 47(8): 1634-1641. doi: 10.3864/j.issn.0578-1752.2014.08.019.
|
|
|
|
| [26] |
|
| [27] |
仲昭易, 张瑜, 冯绍元, 黄成真, 王娟. 秸秆深埋结合地膜覆盖土壤水盐运移模拟试验研究. 灌溉排水学报, 2019, 38(6): 25-30.
|
|
|
|
| [28] |
|
| [29] |
赵永敢, 王婧, 李玉义, 逄焕成. 秸秆隔层与地覆膜盖有效抑制潜水蒸发和土壤返盐. 农业工程学报, 2013, 29(23): 109-117.
|
|
|
|
| [30] |
王立成, 朱珠, 孔芊芊, 朱连勇. 棉秆与风积沙混掺隔层对土壤水分入渗及水盐迁移特性的影响. 中国农村水利水电, 2023(8): 209-216.
doi: 10.12396/znsd.221869 |
|
|
|
| [31] |
郭相平, 杨泊, 王振昌, 陈盛, 刘敏昊, 陈瑞. 秸秆隔层对滨海盐渍土水盐运移影响. 灌溉排水学报, 2016, 35(5): 22-27.
|
|
|
|
| [32] |
张金珠, 王振华, 虎胆·吐马尔白. 具有秸秆夹层层状土壤一维垂直入渗水盐分布特征. 土壤, 2014, 46(5): 954-960.
|
|
|
|
| [33] |
霍宏鑫, 杨劲松, 姚荣江, 谢文萍, 王相平, 张璐. 复合隔层对河套灌区盐碱土水盐运移的影响. 土壤, 2024, 56(1): 90-96.
|
|
|
|
| [34] |
|
| [35] |
于茹, 宋佳珅, 张宏媛, 常芳弟, 王永庆, 王希全, 王婧, 王伟妮, 李玉义. 秸秆隔层结合春灌对河套灌区盐碱地土壤呼吸及其温度敏感性的影响. 中国农业科学, 2023, 56(12): 2341-2353. doi: 10.3864/j.issn.0578-1752.2023.12.009.
|
|
|
|
| [36] |
|
| [37] |
虎胆·吐马尔白, 吴旭春, 迪力达. 不同位置秸秆覆盖条件下土壤水盐运动实验研究. 灌溉排水学报, 2006, 25(1): 34-37.
|
|
HUDAN·TUMARBAY,
|
|
| [38] |
张万锋, 杨树青, 靳亚红, 娄帅, 刘鹏. 秸秆深埋下灌水量对土壤水盐分布与夏玉米产量的影响. 农业机械学报, 2021, 52(1): 228-237.
|
|
|
|
| [39] |
陆培榕, 张展羽, 冯根祥, 万长宇, 史栩帆. 秸秆排水体埋深对盐渍土水盐分布的影响及排水抑盐效果. 农业工程学报, 2017, 33(5): 115-121.
|
|
|
|
| [40] |
|
| [41] |
崔浩浩, 张光辉, 张亚哲, 张冰, 冯欣, 郎旭娟. 层状非均质包气带渗透性特征及其对降水入渗的影响. 干旱地区农业研究, 2020, 38(3): 1-9.
|
|
|
|
| [42] |
贾振江, 刘学智, 徐天渊, 李王成, 刘巧玲, 陈继虹, 马波. 砂土混合覆盖下的土壤水分蒸发特性及其因子分析. 水土保持学报, 2023, 37(2): 227-236.
|
|
|
|
| [43] |
李芙荣, 杨劲松, 吴亚坤, 姚荣江, 余世鹏, 张建兵. 不同秸秆埋深对苏北滩涂盐渍土水盐动态变化的影响. 土壤, 2013, 45(6): 1101-1107.
|
|
|
|
| [44] |
|
| [45] |
赵聚宝, 梅旭荣, 薛军红, 钟兆站, 张天佑. 秸秆覆盖对旱地作物水分利用效率的影响. 中国农业科学, 1996, 29(2): 59-66.
|
|
|
|
| [46] |
乔海龙, 刘小京, 李伟强, 黄玮. 秸秆深层覆盖对水分入渗及蒸发的影响. 中国水土保持科学, 2006, 4(2): 34-38.
|
|
|
|
| [47] |
赵廷红, 袁文磊, 苏宗刚. 弱矿化水及秸秆隔层对土壤水盐运移的影响. 科学技术与工程, 2025, 25(1): 94-102.
|
|
|
|
| [48] |
|
| [1] | 靳晓莹, 肖柄政, 张天津, 刘忠宽, 冯伟, 杜章留. 冬绿肥提升滨海盐碱土团聚性及植物源与微生物源有机碳固存[J]. 中国农业科学, 2025, 58(20): 4203-4215. |
| [2] | 于茹, 李玉义, 曹巨峰, 马俊, 常芳弟, 宋佳珅, 张宏媛, 李晓彬, 李浩若, 张华, 王婧. 施肥管理对麦后复种绿肥盐碱土碳组分与小麦产量的影响[J]. 中国农业科学, 2025, 58(20): 4189-4202. |
| [3] | 乔钲岩, 于淼, 唐玉劼, 石贵山, 刘新宇, 刘晓涵, 王新鼎, 李扬, 王鼐, 陈冰嬬. 粒用高粱幼苗期耐苏打盐碱综合评价与指标鉴选[J]. 中国农业科学, 2025, 58(1): 30-42. |
| [4] | 于茹, 宋佳珅, 张宏媛, 常芳弟, 王永庆, 王希全, 王婧, 王伟妮, 李玉义. 秸秆隔层结合春灌对河套灌区盐碱地土壤呼吸及其温度敏感性的影响[J]. 中国农业科学, 2023, 56(12): 2341-2353. |
| [5] | 王国丽,常芳弟,张宏媛,卢闯,宋佳珅,王婧,逄焕成,李玉义. 不同厚度秸秆隔层对河套灌区盐碱土壤温度、水分和食葵产量的影响[J]. 中国农业科学, 2021, 54(19): 4155-4168. |
| [6] | 张晓丽,张宏媛,卢闯,逄焕成,靳存旺,高喜,程挨平,李玉义. 河套灌区不同秋浇年限对土壤细菌群落的影响[J]. 中国农业科学, 2019, 52(19): 3380-3392. |
| [7] | 谭煌,杨培岭,任树梅,俞昊良,王嘉航. 脱硫副产物配合淋洗对碱化土壤团聚体含量的影响[J]. 中国农业科学, 2016, 49(4): 705-716. |
| [8] | 张瑞喜1, 王卫兵2, 褚贵新1. 磁化水在盐渍化土壤中的入渗和淋洗效应[J]. 中国农业科学, 2014, 47(8): 1634-1641. |
| [9] | 张树勤,谢承陶. 盐碱土改良研究50年[J]. 中国农业科学, 2007, 40(增刊): 3227-3236. |
| [10] | 李艳,史舟,吴次芳,李锋,程街亮. 基于模糊聚类分析的田间精确管理分区研究[J]. 中国农业科学, 2007, 40(1): 114-122 . |
| [11] | 黄运祥,何建坤. 新疆塔里木盆地盐碱土综合治理与水资源合理分配规划模型研究[J]. 中国农业科学, 1990, 23(05): 60-66 . |
|
||