





中国农业科学 ›› 2026, Vol. 59 ›› Issue (6): 1189-1202.doi: 10.3864/j.issn.0578-1752.2026.06.004
王佳诺(
), 陈桂平, 李盼, 王丽萍, 南运有, 何蔚, 樊志龙, 胡发龙, 柴强, 殷文(
), 赵连豪(
)
收稿日期:2025-08-04
接受日期:2026-01-30
出版日期:2026-03-16
发布日期:2026-03-24
通信作者:
联系方式:
王佳诺,E-mail:wangjn1008@163.com。
基金资助:
WANG JiaNuo(
), CHEN GuiPing, LI Pan, WANG LiPing, NAN YunYou, HE Wei, FAN ZhiLong, HU FaLong, CHAI Qiang, YIN Wen(
), ZHAO LiaoHao(
)
Received:2025-08-04
Accepted:2026-01-30
Published:2026-03-16
Online:2026-03-24
摘要:
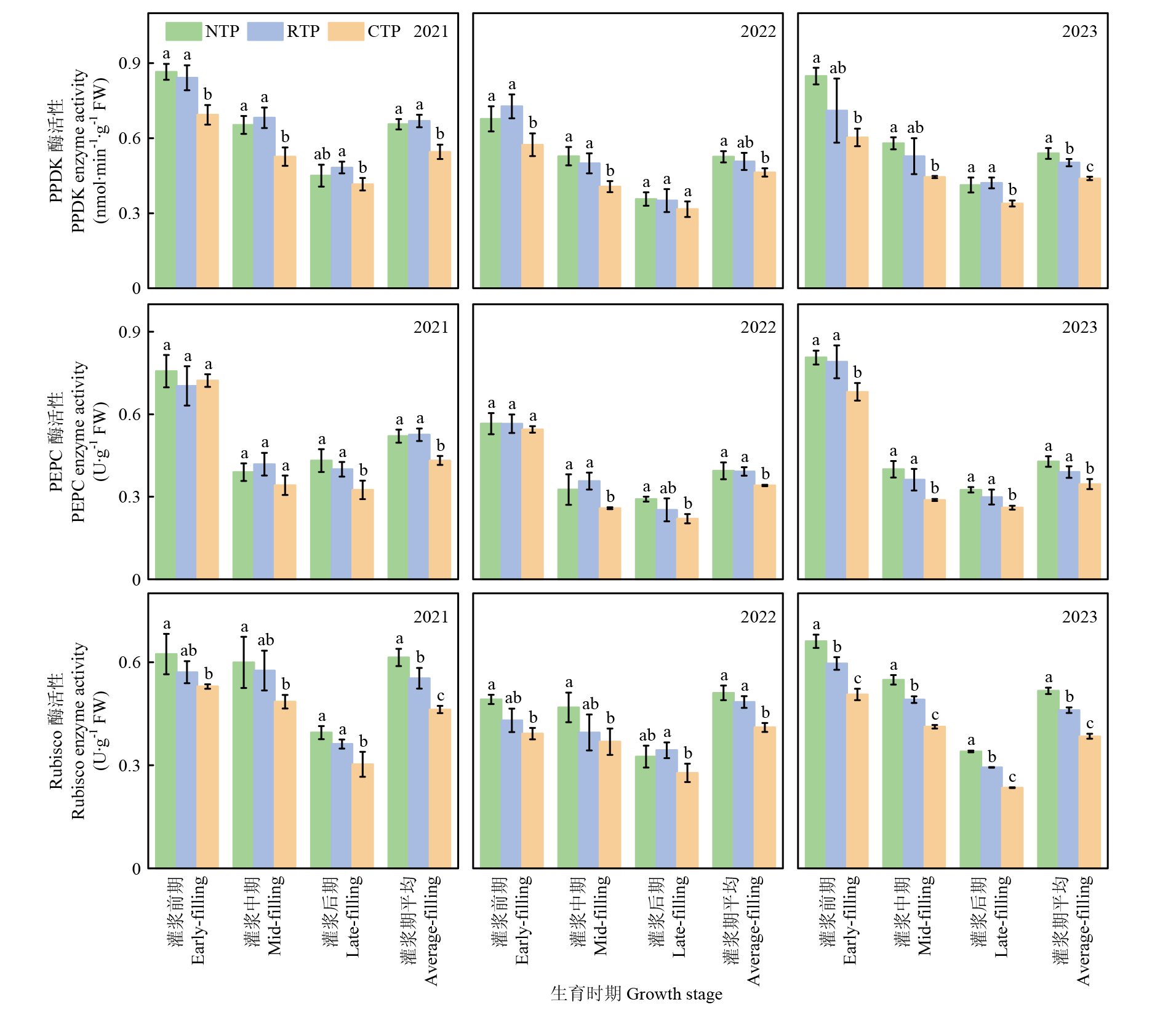
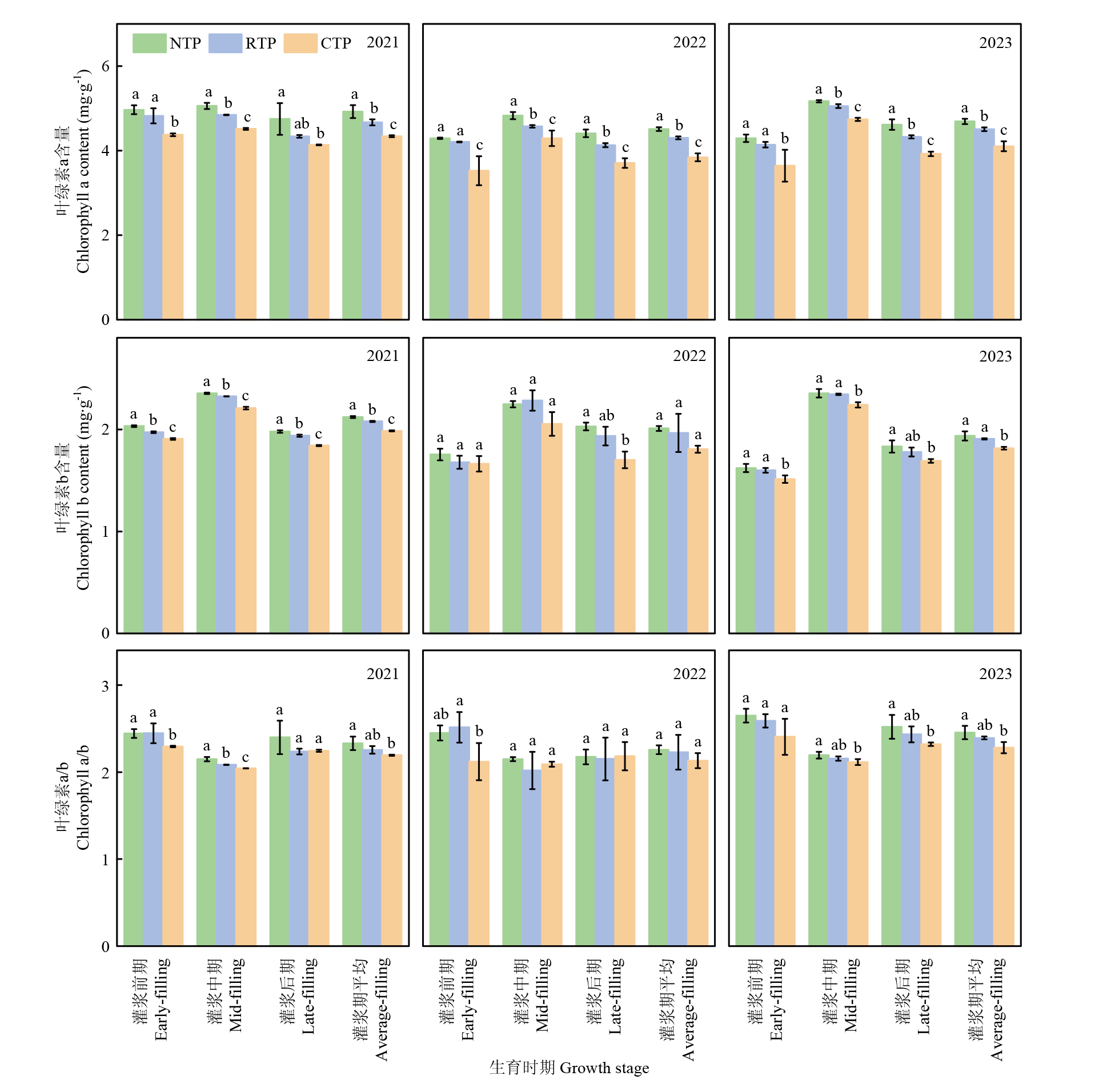
【目的】针对绿洲灌区传统玉米种植地膜投入量大、极端高温易引起玉米灌浆期叶片光合性能低、产量下降等问题,通过研究地膜两年覆盖利用下玉米灌浆期的光合生理机制,旨在为绿洲灌区地膜减量条件下实现玉米高产提供理论支持。【方法】始于2013年在河西走廊绿洲灌区的随机区组试验,本研究于2021—2023年,根据地膜覆盖时间长短形成3种处理:免耕一膜两年覆盖利用(NTP);秋免耕春覆膜(RTP);传统耕作每年覆新膜(对照组,CTP)。探究玉米灌浆期叶片叶绿素含量、气体交换参数、光合生理关键酶活性、基因相对表达量及关键蛋白含量对不同地膜利用方式的响应。【结果】不同地膜利用方式通过调控玉米灌浆期的光合生理特性,促使玉米增产稳产。与CTP处理相比,NTP灌浆期叶绿素a、b平均提高15.1%、8.3%,说明NTP处理有利于维持玉米叶绿素含量,从而有效延缓了叶绿素的降解,促进玉米光合作用。NTP较CTP处理净光合速率和蒸腾速率在灌浆中期、后期分别平均提高25.2%和11.5%、20.0%和12.2%,说明NTP处理有利于调节玉米灌浆期的气体交换参数,增强了玉米灌浆期光合作用。同时,NTP在灌浆期维持较高的光合生理关键酶活性、基因相对表达量及关键蛋白含量,为光合作用的提高提供了保障。与CTP处理相比,NTP处理玉米叶片丙酮酸磷酸二激酶(PPDK)、磷酸烯醇式丙酮酸羧化酶(PEPC)和1,5-二磷酸核酮糖羧化酶(Rubisco)活性平均提高了18.9%、20.0%和30.6%,玉米叶片pepc、ppdk、rub基因表达量分别提高22.1%、75.8%和70.6%,光合反应中心D1、D2蛋白含量分别提高了12.6%和13.2%;RTP较CTP处理玉米叶片PPDK、PEPC和Rubisco活性平均提高了15.6%、16.4%和19.2%,玉米叶片pepc、ppdk、rub基因表达量分别提高13.6%、53.9%和57.7%,光合反应中心D1蛋白含量提高了10.1%。此外,NTP较CTP处理玉米籽粒产量在2021、2022和2023年分别提高了5.2%、6.0%和5.3%;RTP较CTP处理玉米籽粒产量仅在2022年提高了5.2%。【结论】免耕一膜两年覆盖利用是西北绿洲灌区维持较高光合性能、地膜减投、实现玉米增产的有效栽培管理措施。
王佳诺, 陈桂平, 李盼, 王丽萍, 南运有, 何蔚, 樊志龙, 胡发龙, 柴强, 殷文, 赵连豪. 免耕地膜两年覆盖提高绿洲灌区玉米产量的灌浆期光合生理机制[J]. 中国农业科学, 2026, 59(6): 1189-1202.
WANG JiaNuo, CHEN GuiPing, LI Pan, WANG LiPing, NAN YunYou, HE Wei, FAN ZhiLong, HU FaLong, CHAI Qiang, YIN Wen, ZHAO LiaoHao. Photo-Physiological Mechanism at Grain Filling Stage of No-Tillage with Plastic Re-Mulching to Increase Maize Yield in Oasis Irrigation Areas[J]. Scientia Agricultura Sinica, 2026, 59(6): 1189-1202.
表1
2021—2023不同地膜利用方式下玉米叶片净光合速率和蒸腾速率"
| 年份 Year | 处理 Treatment | 净光合速率 Net photosynthetic rate (µmol·m-2·s-1) | 蒸腾速率 Transpiration rate (mmol·m-2·s-1) | ||||||
|---|---|---|---|---|---|---|---|---|---|
| 灌浆前期 Early-filling stage | 灌浆中期 Mid-filling stage | 灌浆后期 Late-filling stage | 灌浆平均 Average-filling stage | 灌浆前期 Early-filling stage | 灌浆中期 Mid-filling stage | 灌浆后期 Late-filling stage | 灌浆平均 Average-filling stage | ||
| 2021 | NTP | 51.44a | 43.30a | 32.58a | 42.44a | 6.22a | 5.51a | 4.77a | 5.50a |
| RTP | 51.39a | 41.61a | 28.18b | 40.39a | 6.12a | 5.32a | 4.23ab | 5.22b | |
| CTP | 47.73b | 33.43b | 26.18b | 35.78b | 6.02a | 4.62b | 4.02b | 4.89c | |
| 2022 | NTP | 44.76a | 34.16a | 25.60a | 34.84a | 5.78a | 4.94a | 4.07a | 4.93a |
| RTP | 43.38ab | 32.87a | 22.95b | 33.07a | 5.69ab | 4.81a | 3.76ab | 4.75b | |
| CTP | 39.56b | 27.22b | 21.28b | 29.35b | 5.53b | 4.43b | 3.61b | 4.52c | |
| 2023 | NTP | 48.55a | 32.94a | 24.64a | 35.38a | 5.58a | 4.57a | 3.53a | 4.56a |
| RTP | 45.48b | 31.81b | 23.10b | 33.46b | 5.48b | 4.48b | 3.45ab | 4.47b | |
| CTP | 40.68c | 27.32c | 21.37c | 29.79c | 5.26c | 4.41c | 3.35b | 4.34c | |
| [1] |
张擂, 周煜明, 董杰谋, 李祥, 刘时栋, 徐丽萍. 中国耕地非农化与非粮化时空分异及其治理策略. 干旱区研究, 2025, 42(2): 372-383.
doi: 10.13866/j.azr.2025.02.16 |
|
doi: 10.13866/j.azr.2025.02.16 |
|
| [2] |
温雯, 韩瑞玺, 唐浩. 品种DUS测试对农作物种业发展的重要性分析. 中国种业, 2021(5): 1-5.
|
|
|
|
| [3] |
张世博, 李宏岩, 李培富, 任瑞华, 路海东. 自然条件下气温升高3℃至4℃对地膜玉米根-冠衰老和产量的影响. 作物学报, 2025, 51(6): 1599-1617.
doi: 10.3724/SP.J.1006.2025.43053 |
|
doi: 10.3724/SP.J.1006.2025.43053 |
|
| [4] |
张建军, 樊廷录, 党翼, 赵刚, 王磊, 李尚中. 密度与氮肥运筹对陇东旱塬全膜双垄沟播春玉米产量及生理指标的影响. 中国农业科学, 2015, 48(22): 4574-4584. doi:10.3864/j.issn.0578-1752.2015.22.017.
|
|
|
|
| [5] |
|
| [6] |
赵丽, 张琪, 谢广明, 陆靖英, 郭虹霞, 邓妍, 秦丽霞, 张丽光, 王创云. 覆盖与行距配置对玉米叶片光合性能和茎秆力学特性及产量的影响. 西北农林科技大学学报(自然科学版), 2023, 51(10): 29-39, 51.
|
|
|
|
| [7] |
陈梦茹, 邢英英, 张帆, 邵雅婷, 付锦涛, 张香竹, 王秀康. 不同灌水定额下缓释氮肥与尿素混掺对玉米生长和产量及水肥利用效率的影响. 西北农业学报, 2024, 33(7): 1235-1248.
|
|
|
|
| [8] |
殷文, 柴强, 于爱忠, 赵财, 樊志龙, 胡发龙, 范虹, 郭瑶. 间作小麦秸秆还田对地膜覆盖玉米灌浆期冠层温度及光合生理特性的影响. 中国农业科学, 2020, 53(23): 4764-4776. doi:10.3864/j.issn.0578-1752.2020.23.004.
|
|
|
|
| [9] |
殷文. 秸秆地膜交替带状覆盖小麦间作玉米的水分竞争互补利用机制[D]. 兰州: 甘肃农业大学, 2017.
|
|
|
|
| [10] |
梁玉刚, 胡文彬, 刘烨, 李咏谊, 方宝华. 中国垄作栽培模式的研究进展. 生态学杂志, 2022, 41(7): 1414-1422.
|
|
doi: DOI: 10.13292/j.1000-4890.202207.024 |
|
| [11] |
文雪, 温艳茹, 刘宝, 周统, 高睿璐, 刘艳辉, 尧水红. 黑土区不同耕作措施对土壤水分和玉米产量的影响. 植物营养与肥料学报, 2024, 30(8): 1447-1460.
|
|
|
|
| [12] |
doi: 10.3390/agronomy14050968 |
| [13] |
陈桂平, 李盼, 邵冠贵, 吴霞玉, 殷文, 赵连豪, 樊志龙, 胡发龙. 减量灌水与有机无机肥配施对青贮玉米吐丝期后叶片持绿特性的调控作用. 中国农业科学, 2025, 58(7): 1381-1396. doi:10.3864/j.issn.0578-1752.2025.07.011.
|
|
|
|
| [14] |
李雪婷, 任昊, 王洪章, 张吉旺, 赵斌, 任佰朝, 刘莹, 姚海燕, 刘鹏. 盐胁迫对不同耐盐型玉米品种叶片光合性能和干物质积累与分配的影响. 作物学报, 2025, 51(4): 1091-1101.
doi: 10.3724/SP.J.1006.2025.43032 |
|
doi: 10.3724/SP.J.1006.2025.43032 |
|
| [15] |
马风兰, 苏泽晖, 刘威帆, 刘昊, 马小英, 黄霖锋, 万猛虎, 李涛, 刘吉利, 吴娜. 灌水定额对不同程度盐碱地玉米光合特性及产量的影响. 中国农业大学学报, 2025, 30(5): 28-41.
|
|
|
|
| [16] |
姚霄宇, 邱纹, 陆虎华, 郭剑, 陆大雷. 种植密度和施肥方式对春播鲜食糯玉米产量、品质及氮素吸收利用的影响. 植物营养与肥料学报, 2023, 29(12): 2258-2271.
|
|
|
|
| [17] |
王岩, 白春生, 李波, 范虹, 何蔚, 杨莉莉, 曹悦, 赵财. 覆膜免耕和灌水量对西北绿洲灌区玉米产量及光合特性的影响. 作物学报, 2025, 51(3): 755-770.
doi: 10.3724/SP.J.1006.2025.43033 |
|
doi: 10.3724/SP.J.1006.2025.43033 |
|
| [18] |
王丽萍, 李盼, 赵连豪, 樊志龙, 胡发龙, 范虹, 何蔚, 柴强, 殷文. 西北绿洲灌区玉米叶片衰老特征对不同地膜覆盖利用方式的响应. 作物学报, 2025, 51(1): 233-246.
doi: 10.3724/SP.J.1006.2025.43022 |
|
doi: 10.3724/SP.J.1006.2025.43022 |
|
| [19] |
吴霞玉, 李盼, 韦金贵, 范虹, 何蔚, 樊志龙, 胡发龙, 柴强, 殷文. 减量灌水及有机无机肥配施对西北灌区玉米光合生理、籽粒产量及品质的影响. 作物学报, 2024, 50(4): 1065-1079.
doi: 10.3724/SP.J.1006.2024.33041 |
|
doi: 10.3724/SP.J.1006.2024.33041 |
|
| [20] |
王伏琴, 岳健敏, 赫文文, 李昱龙, 李阳, 马国军. 节水灌溉对次生盐渍化耕地玉米苗期生长、气孔特征及光合性能的影响. 应用生态学报, 2025, 36(4): 1013-1023.
doi: 10.13287/j.1001-9332.202504.011 |
|
doi: 10.13287/j.1001-9332.202504.011 |
|
| [21] |
doi: 10.3389/fpls.2021.649684 |
| [22] |
王钰皓, 庞津雯, 杨佳霖, 刘畅, 刘子涵, 杨宝平, 贾志宽, 张鹏. 不同覆盖方式对旱作农田土壤碳氮含量及玉米产量的影响. 干旱地区农业研究, 2022, 40(1): 20-29, 41.
|
|
|
|
| [23] |
冯可为, 毛晓敏, 郭同铠. 不同覆膜方式对西北旱区土壤水热盐及春玉米生长和产量的影响. 农业资源与环境学报, 2024, 41(6): 1260-1271, 1236.
|
|
|
|
| [24] |
doi: 10.3390/agronomy15030711 |
| [25] |
闫恒宇, 李朝霞, 李玉斌. 高温对玉米生长的影响及中国耐高温玉米筛选研究进展. 植物学报, 2024, 59(6): 1007-1023.
doi: 10.11983/CBB24104 |
|
doi: 10.11983/CBB24104 |
|
| [26] |
王佳芯, 胡静一, 张巍, 魏骞, 王涛, 王小林, 张雄, 张盼盼. 覆膜方式对间作玉米光合物质生产及水分利用效率的影响. 中国农业科学, 2025, 58(3): 460-477. doi:10.3864/j.issn.0578-1752.2025.03.005.
|
|
|
|
| [27] |
曹巍, 刘宏权, 陈任强, 王鑫鑫, 薛宝松, 商振清. 膜下滴灌对玉米生长及土壤影响的研究进展. 节水灌溉, 2023(4): 39-51.
doi: 10.12396/jsgg.2022268 |
|
doi: 10.12396/jsgg.2022268 |
|
| [28] |
|
| [29] |
张犇, 郭悦, 武钰馨, 周胜君. 叶片温度检测技术与植物高温胁迫响应机制研究进展. 山西大学学报(自然科学版), 2024, 47(3): 657-672.
|
|
|
|
| [30] |
李慧玲, 朱永兴, 陈檬, 刘姝, 王娇, 刘奕清, 张雪梅, 马慧慧. 干旱胁迫与复水对菊芋幼苗的生长及生理特性的影响. 草业学报, 2025, 34(7): 171-184.
doi: 10.11686/cyxb2024339 |
|
|
|
| [31] |
王洁, 单燕, 马兰, 宋延静, 王向誉. 秸秆/生物质炭协同还田措施对黄河三角洲盐碱土壤的改良效果研究. 生态环境学报, 2023, 32(1): 90-98.
doi: 10.16258/j.cnki.1674-5906.2023.01.010 |
|
|
|
| [32] |
张正鹏, 范虹, 胡发龙, 殷文, 樊志龙. 不同种植密度对施氮条件下玉米灌浆期叶片光合特性的影响. 西北农业学报, 2023, 32(7): 1015-1023.
|
|
|
|
| [33] |
徐田军, 吕天放, 张勇, 刘宏伟, 刘月娥, 蔡万涛, 张如养, 宋伟, 邢锦丰, 赵久然, 王荣焕. 高温胁迫对玉米杂交种及其亲本自交系光合特性、保护酶活性和产量的影响. 中国生态农业学报(中英文), 2024, 32(9): 1470-1480.
|
|
|
|
| [34] |
刘秉鑫, 孟浩峰, 李玲玲, 谢军红, 周永杰, 田鑫, 王春艳, 张国超. 有机肥替代基施化肥氮对旱作玉米叶片光合性能、产量及氮肥利用效率的影响. 玉米科学, 2024, 32(9): 96-107.
|
|
|
|
| [35] |
doi: 10.1016/j.jia.2024.04.013 |
| [36] |
安林, 韦海龙, 程乙, 邹军, 左晋, 刘代铃, 宋碧. 不同播期对鲜食玉米花粒期光合特性和碳氮代谢的影响. 玉米科学, 2025, 33(3): 68-78.
|
|
|
| [1] | 王亚菲, 闫鹏, 薛金涛, 董学瑞, 孟凡琦, 郭丽娜, 罗艺, 张娟, 董志强, 卢霖. 乙烯利-甜菜碱-水杨酸合剂对高温胁迫下玉米根系建构、生理功能和产量的影响[J]. 中国农业科学, 2026, 59(7): 1439-1455. |
| [2] | 周新杰, 任昊, 陈应龙, 张吉旺, 赵斌, 任佰朝, 刘鹏, 王洪章. 过氧化钙对渍涝农田夏玉米根系形态及产量形成的影响[J]. 中国农业科学, 2026, 59(6): 1203-1216. |
| [3] | 何继航, 张擎, 吕相月, 薛吉全, 徐淑兔, 刘建超. 不同保绿型玉米杂交种氮效率评价[J]. 中国农业科学, 2026, 59(6): 1217-1230. |
| [4] | 李永娟, 张悦彤, 王艺博, 赵长江, 宋洁, 陈雪丽, 姚钦. 生物炭施用对大豆轮连作系统土壤固氮微生物nifH基因丰度及群落组成的影响[J]. 中国农业科学, 2026, 59(6): 1272-1285. |
| [5] | 李思源, 李鸿萍, 常洪庆, 张森焱, 栗思佳, 崔欣飞, 乔泼, 曾波, 刘桂珍, 刘天学, 汤继华, 李潮海. 增密对不同株高玉米品种产量和农艺性状动态变化的影响[J]. 中国农业科学, 2026, 59(5): 967-984. |
| [6] | 董金龙, 赵莹, 余海兵, 吕建晔, 秦佳琦, 梁晨, 明博, 李少昆. 多模型解析玉米籽粒容重的营养品质贡献度与区域异质性[J]. 中国农业科学, 2026, 59(5): 985-995. |
| [7] | 陈桂平, 韦金贵, 郭瑶, 李盼, 王菲儿, 仇海龙, 冯福学, 殷文. 宽窄行与增密对绿洲灌区玉米光合特性及资源利用的协同效应[J]. 中国农业科学, 2026, 59(2): 278-291. |
| [8] | 张志勇, 谭世超, 熊淑萍, 马新明, 韦一昊, 王小纯. 水氮周年优化对豫北灌区小麦玉米轮作系统产量和氮迁移的影响[J]. 中国农业科学, 2026, 59(2): 336-353. |
| [9] | 吕旭东, 孙世媛, 李亚楠, 刘玉龙, 王艳群, 付鑫, 张佳英, 宁鹏, 彭正萍. 智能机械化分层施肥对麦田根-土养分分布和小麦产量的影响[J]. 中国农业科学, 2026, 59(1): 129-146. |
| [10] | 韦文华, 李盼, 邵冠贵, 樊志龙, 胡发龙, 范虹, 何蔚, 柴强, 殷文, 赵连豪. 西北灌区青贮玉米产量及品质对减量灌水与有机无机肥配施的响应[J]. 中国农业科学, 2025, 58(8): 1521-1534. |
| [11] | 薛钰琦, 赵继玉, 孙旺胜, 任佰朝, 赵斌, 刘鹏, 张吉旺. 不同氮素形态对夏玉米产量和品质的影响[J]. 中国农业科学, 2025, 58(8): 1535-1549. |
| [12] | 陈桂平, 李盼, 邵冠贵, 吴霞玉, 殷文, 赵连豪, 樊志龙, 胡发龙. 减量灌水与有机无机肥配施对青贮玉米吐丝期后叶片持绿特性的调控作用[J]. 中国农业科学, 2025, 58(7): 1381-1396. |
| [13] | 岳润清, 李文兰, 丁照华, 孟昭东. 转基因复合抗虫耐除草剂玉米LD05的分子特征及抗性评价[J]. 中国农业科学, 2025, 58(7): 1269-1283. |
| [14] | 赵耀, 程前, 徐田军, 刘正, 王荣焕, 赵久然, 陆大雷, 李从锋. 高密度条件下株型改良对春玉米根-冠特征及籽粒产量的影响[J]. 中国农业科学, 2025, 58(7): 1296-1310. |
| [15] | 邹晓威, 夏蕾, 朱晓敏, 孙辉, 周琦, 齐霁, 张亚封, 郑岩, 姜兆远. 基于转录组测序的玉米瘤黑粉菌UM01240过表达菌株诱导玉米抗病性分析[J]. 中国农业科学, 2025, 58(6): 1116-1130. |
|
||