





中国农业科学 ›› 2025, Vol. 58 ›› Issue (20): 4178-4188.doi: 10.3864/j.issn.0578-1752.2025.20.011
张海睿1,2(
), 贾昂元1, 高奇奇1, 韩哲群1, 南珊珊1, 段碧华2(
), 武雪萍1,3(
)
收稿日期:2025-08-05
接受日期:2025-09-24
出版日期:2025-10-16
发布日期:2025-10-14
通信作者:
联系方式:
张海睿,E-mail:1923601899@qq.com。
基金资助:
ZHANG HaiRui1,2(
), JIA AngYuan1, GAO QiQi1, HAN ZheQun1, NAN ShanShan1, DUAN BiHua2(
), WU XuePing1,3(
)
Received:2025-08-05
Accepted:2025-09-24
Published:2025-10-16
Online:2025-10-14
摘要:
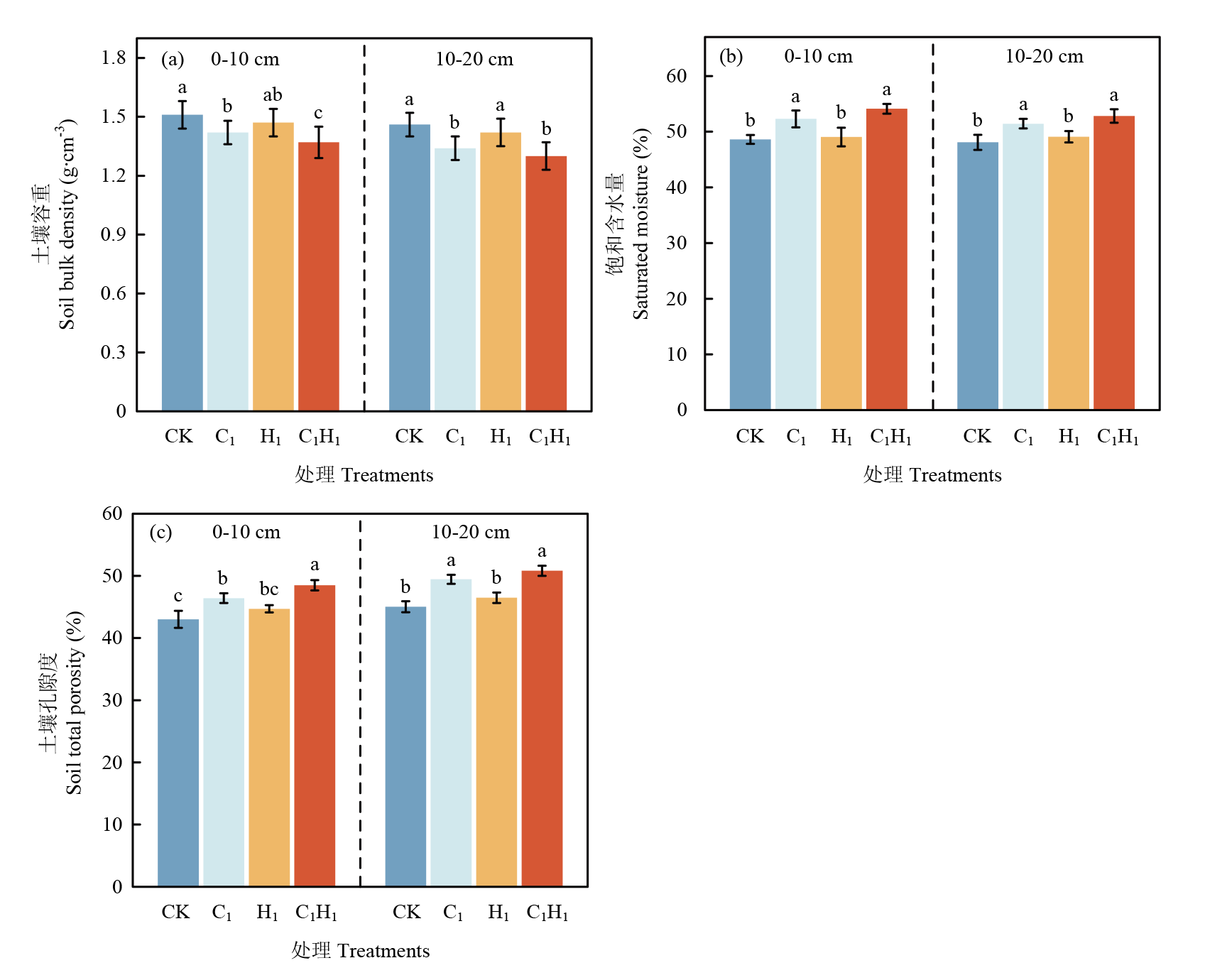
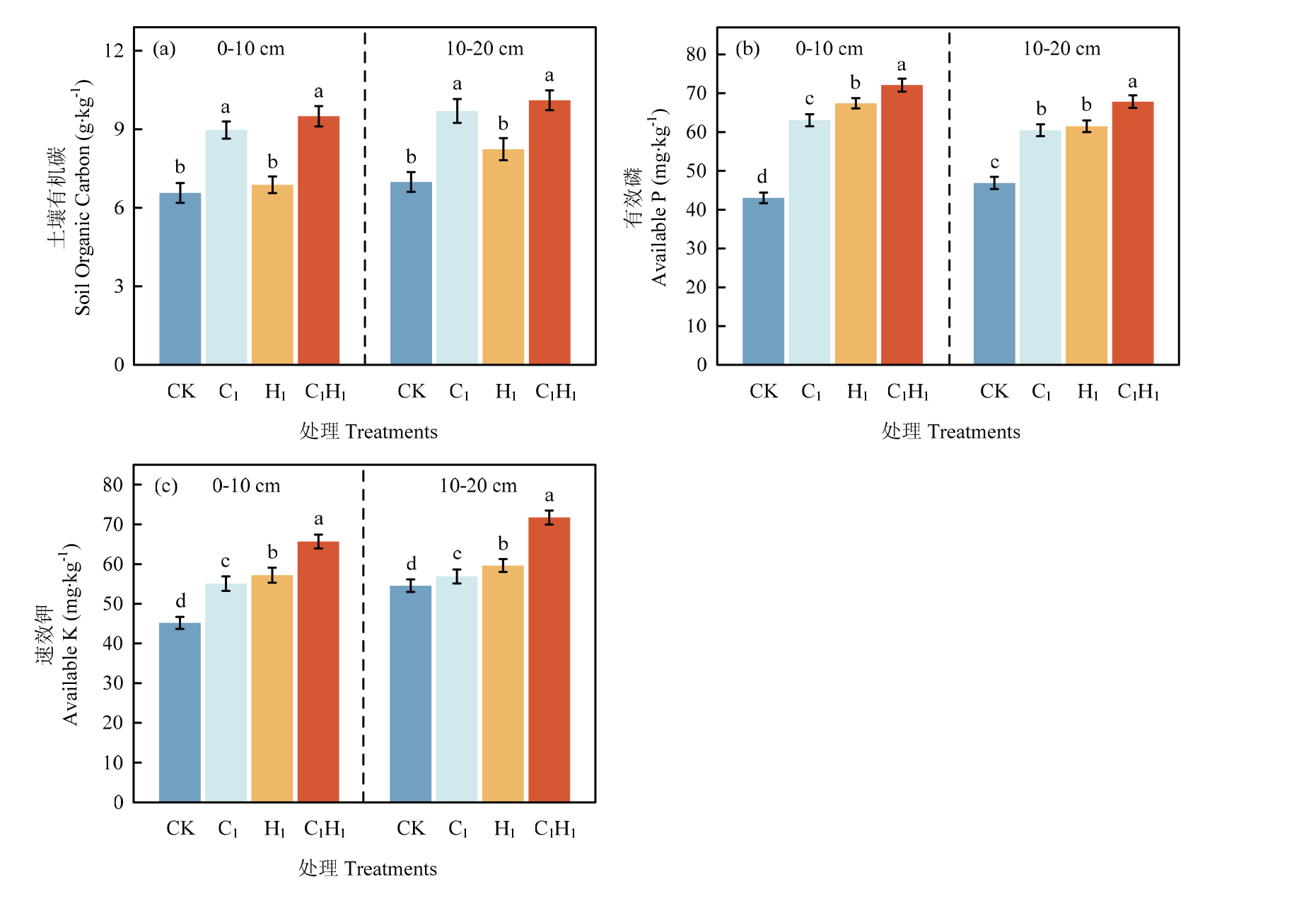
【目的】探讨生物炭配施黄腐酸对滨海盐碱地改良效果及对土壤多功能性(SMF)的影响,为生物炭和黄腐酸的科学配施提供理论支撑。【方法】基于3年的田间定位试验,在滨海盐碱地设置4个处理:对照(CK),单施生物炭30 t·hm-2(C1),单施黄腐酸0.15 t·hm-2(H1)以及生物炭(30 t·hm-2)和黄腐酸(0.15 t·hm-2)配施(C1H1)。测定0—10和10—20 cm土层及根际土的土壤理化性质和酶活性,同时基于平均值法计算土壤多功能性指数。【结果】生物炭和黄腐酸配施能显著改善土壤理化性质和生物性状。与CK相比,C1H1处理0—10和10—20 cm土层容重分别降低9.2%和11.2%;土壤饱和含水量增加11.3%和9.8%;土壤总孔隙度增加12.6%和12.8%;土壤 pH值降低4.4%和3.9%;土壤EC值降低19.9%和22.8%;土壤SOC提升了44.6%和44.7%;有效磷(AP)提升48.3%和44.8%;速效钾(AK)提升45.3%和43.3%。酶活性分析表明,C1H1处理对碳、氮循环相关酶(β-葡萄糖苷酶(BG)、纤维二糖水解酶(CBH)、亮氨酸氨基肽酶(LAP))的促进作用最明显,增幅23.4%—47.0%。生物炭和黄腐酸配施SMF指数增幅最大,增加了77.5%。【结论】生物炭与黄腐酸配施通过改善滨海盐碱地土壤孔隙结构、提升养分有效性和增加酶活性,进而显著提高土壤多功能性。
张海睿, 贾昂元, 高奇奇, 韩哲群, 南珊珊, 段碧华, 武雪萍. 生物炭配施黄腐酸对滨海盐碱地土壤理化性质、酶活性和多功能性的影响[J]. 中国农业科学, 2025, 58(20): 4178-4188.
ZHANG HaiRui, JIA AngYuan, GAO QiQi, HAN ZheQun, NAN ShanShan, DUAN BiHua, WU XuePing. The Effects of Biochar Combined with Fulvic Acid on the Physical and Chemical Properties, Enzyme Activities and Multifunctionality of Soil in Coastal Saline-Alkali Land[J]. Scientia Agricultura Sinica, 2025, 58(20): 4178-4188.
表3
不同处理的酶活性"
| 处理 Treatment | BG (mmol·g-1·h-1) | CBH (mmol·g-1·h-1) | NAG (mmol·g-1·h-1) | LAP (mmol·g-1·h-1) | ACP (mmol·g-1·h-1) |
|---|---|---|---|---|---|
| CK | 1.95±0.03b | 1.02±0.06d | 0.43±0.04c | 82.6±4.72b | 5.47±0.25c |
| C1 | 2.76±0.2a | 1.5±0.12b | 0.59±0.05b | 101.96±6.94a | 6.15±0.31bc |
| H1 | 2±0.16b | 1.22±0.12c | 0.45±0.03c | 84.13±4.71b | 6.45±0.33b |
| C1H1 | 3.09±0.25a | 1.75±0.04a | 0.89±0.08a | 107.18±5.79a | 9.82±0.73a |
图4
不同处理对土壤多功能性指数(SMFI)的影响(a)及土壤理化性质、SMF功能指标、SMF相关性分析(b) BD:容重 Bulk density;θsat:饱和含水量 Saturated moisture;STP:土壤孔隙度 Soil total porosity;EC:土壤电导率 Electric conductivity;AK:速效钾 Available potassium;SOC:土壤有机碳 Soil organic carbon;TN:全氮 Total nitrogen;NH4+-N:铵态氮 Ammonium nitrogen;NO3--N:硝态氮 Nitrate nitrogen;AP:有效磷 Available phosphorus;SMF:土壤多功能性 Soil multifunctionality"
| [1] |
|
| [2] |
王志国, 刘洋, 代朋, 付辉, 武强. 滨海盐碱地综合改良技术研究. 农家参谋, 2022(22): 24-26.
|
|
|
|
| [3] |
康美怡, 阴晓珊, 高逸霏, 刘畅麟, 何香颖, 韦吉龙, 张晨, 朱皓颖, 许颖怡. 滨海新区盐碱地改良技术研究应用现状. 环境保护与循环经济, 2022, 42(9): 16-20.
|
|
|
|
| [4] |
|
| [5] |
|
| [6] |
|
| [7] |
|
| [8] |
|
| [9] |
|
| [10] |
袁访, 李开钰, 杨慧, 邓承佳, 梁红, 宋理洪. 生物炭施用对黄壤土壤养分及酶活性的影响. 环境科学, 2022, 43(9): 4655-4661.
|
|
|
|
| [11] |
|
| [12] |
doi: 10.1186/s12870-024-04863-6 pmid: 38486134 |
| [13] |
|
| [14] |
|
| [15] |
|
| [16] |
|
| [17] |
|
| [18] |
|
| [19] |
|
| [20] |
|
| [21] |
孙运朋, 杨劲松, 姚荣江, 陈小兵. 生物炭和黄腐酸对滨海滩涂盐碱地土壤性质的提升. 中国农业科技导报, 2019, 21(8): 115-121.
doi: 10.13304/j.nykjdb.2018.0357 |
|
doi: 10.13304/j.nykjdb.2018.0357 |
|
| [22] |
|
| [23] |
|
| [24] |
|
| [25] |
吴军虎, 李玉晨, 邵凡凡, 王泽祥. 生化黄腐酸对土壤物理性质及水分运动特性的影响. 水土保持学报, 2021, 35(4): 159-164, 171.
|
|
|
|
| [26] |
|
| [27] |
|
| [28] |
梁芳源. 生物炭与木醋液对盐碱土盐离子吸附淋溶及迁移的影响[D]. 哈尔滨: 东北农业大学, 2023.
|
|
|
|
| [29] |
|
| [30] |
高梦雨, 江彤, 韩晓日, 杨劲峰. 施用炭基肥及生物炭对棕壤有机碳组分的影响. 中国农业科学, 2018, 51(11): 2126-2135. doi: 10.3864/j.issn.0578-1752.2018.11.010.
|
|
|
|
| [31] |
|
| [32] |
韩玮, 申双和, 谢祖彬, 李博, 李玉婷, 刘琦. 生物炭及秸秆对水稻土各密度组分有机碳及微生物的影响. 生态学报, 2016, 36(18): 5838-5846.
|
|
|
|
| [33] |
|
| [34] |
王磊, 应蓉蓉, 石佳奇, 龙涛, 林玉锁. 土壤矿物对有机质的吸附与固定机制研究进展. 土壤学报, 2017, 54(4): 805-818.
|
|
|
|
| [35] |
李少博, 徐英德, 高晓丹, 张昀, 张广才, 李嵩, 许晨阳, 田锐, 汪景宽. 离子界面行为在土壤有机无机复合体形成中的作用. 中国生态农业学报, 2018, 26(11): 1682-1691.
|
|
|
|
| [36] |
|
| [37] |
|
| [38] |
|
| [39] |
|
| [40] |
|
| [41] |
何秀峰, 赵丰云, 于坤, 杨湘, 王军武, 郁松林. 生物炭对葡萄幼苗根际土壤养分、酶活性及微生物多样性的影响. 中国土壤与肥料, 2020(6): 19-26.
|
|
|
|
| [42] |
|
| [43] |
|
| [44] |
|
| [45] |
|
| [46] |
|
| [47] |
|
| [48] |
|
| [49] |
doi: 10.1128/AEM.02775-08 pmid: 19151179 |
| [1] | 韩哲群, 苏莹, 高奇奇, 刘美英, 贾昂元, 张海睿, 南珊珊, 徐勤政, 王强, 王利军, 武雪萍. 智能滴灌水肥耦合模式实现土壤节水控盐与向日葵产量品质协同提升[J]. 中国农业科学, 2025, 58(20): 4158-4177. |
| [2] | 王安心, 方娅婷, 顿谦, 伍永清, 廖世鹏, 李小坤, 任涛, 陆志峰, 丛日环, 鲁剑巍. 秸秆直接还田与炭化还田对稻油轮作作物产量和氮素利用的影响[J]. 中国农业科学, 2025, 58(16): 3280-3292. |
| [3] | 宣泽鹏, 冯慧瑶, 陈美淇, 徐基胜, 刘梦璇, 赵炳梓, 张佳宝. 秸秆还田配施化肥对土壤生态系统多功能性的影响[J]. 中国农业科学, 2025, 58(14): 2821-2837. |
| [4] | 陈会鲜, 何文, 阮丽霞, 黄小娟, 兰秀, 蔡兆琴, 李恒锐, 黄珍玲, 韦婉羚, 梁振华, 李天元, 曹升, 李喜弟, 韦均参. 间作大豆对木薯生长及连作土壤特性的影响[J]. 中国农业科学, 2025, 58(11): 2176-2189. |
| [5] | 高娅菲, 赵媛博, 徐玲, 孙嘉悦, 夏煜轩, 薛丹, 武海雯, 宁航, 吴安驰, 吴林. 冷浸田改种泥炭藓显著增加土壤有机碳含量且降低胞外酶活性[J]. 中国农业科学, 2024, 57(8): 1533-1546. |
| [6] | 高尚洁, 刘杏认, 李迎春, 柳晓婉. 施用生物炭和秸秆还田对农田温室气体排放及增温潜势的影响[J]. 中国农业科学, 2024, 57(5): 935-949. |
| [7] | 王庆阳, 曹殿云, 王迪, 詹增意, 贺婉莹, 孙强, 陈温福, 兰宇. 长期施用生物炭对棕壤养分及腐殖质组分的影响[J]. 中国农业科学, 2024, 57(13): 2612-2622. |
| [8] | 庞津雯, 王钰皓, 陶宏扬, 卫婷, 高飞, 刘恩科, 贾志宽, 张鹏. 生物炭不同添加量对旱作覆膜农田土壤团聚体特性及有机碳含量的影响[J]. 中国农业科学, 2023, 56(9): 1729-1743. |
| [9] | 董秀, 张燕, MUNYAMPIRWA Tito, 陶海宁, 沈禹颖. 长期保护性耕作对黄土高原旱作农田土壤碳含量及转化酶活性的影响[J]. 中国农业科学, 2023, 56(5): 907-919. |
| [10] | 郭鑫虎, 马静, 李仲峰, 初金鹏, 徐海成, 贾殿勇, 代兴龙, 贺明荣. 长期定位条件下栽培模式对麦田土壤理化性质和氮素平衡的影响[J]. 中国农业科学, 2023, 56(12): 2262-2273. |
| [11] | 宋博影, 郭艳杰, 王文赞, 吕泽楠, 赵宇晴, 柳鹭, 张丽娟. 生物炭和双氰胺对设施蔬菜土壤温室气体排放的影响[J]. 中国农业科学, 2023, 56(10): 1935-1948. |
| [12] | 朱长伟,孟威威,石柯,牛润芝,姜桂英,申凤敏,刘芳,刘世亮. 不同轮耕模式下小麦各生育时期土壤养分及酶活性变化特征[J]. 中国农业科学, 2022, 55(21): 4237-4251. |
| [13] | 夏芊蔚,陈浩,姚宇阗,笪达,陈健,石志琦. “优标”水稻体系对稻田土壤环境的影响[J]. 中国农业科学, 2022, 55(17): 3343-3354. |
| [14] | 顾博文, 杨劲峰, 鲁晓玲, 吴怡慧, 李娜, 刘宁, 安宁, 韩晓日. 连续施用生物炭对花生不同生育时期叶绿素荧光特性的影响[J]. 中国农业科学, 2021, 54(21): 4552-4561. |
| [15] | 任海英,周慧敏,戚行江,郑锡良,俞浙萍,张淑文,王震铄. 多效唑对杨梅土壤微生物及内生群落结构的影响[J]. 中国农业科学, 2021, 54(17): 3752-3765. |
|
||