





中国农业科学 ›› 2026, Vol. 59 ›› Issue (1): 129-146.doi: 10.3864/j.issn.0578-1752.2026.01.010
吕旭东1,2(
), 孙世媛1, 李亚楠1, 刘玉龙1, 王艳群1, 付鑫1, 张佳英1, 宁鹏3, 彭正萍1,2,*(
)
收稿日期:2025-02-27
接受日期:2025-03-27
出版日期:2026-01-01
发布日期:2026-01-07
通信作者:
联系方式:
吕旭东,E-mail:1204410594@qq.com。
基金资助:
LÜ XuDong1,2(
), SUN ShiYuan1, LI YaNan1, LIU YuLong1, WANG YanQun1, FU Xin1, ZHANG JiaYing1, NING Peng3, PENG ZhengPing1,2,*(
)
Received:2025-02-27
Accepted:2025-03-27
Published:2026-01-01
Online:2026-01-07
摘要:
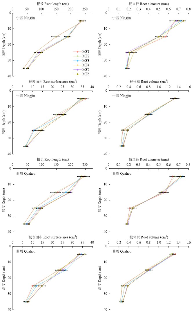
【目的】针对华北中低产田肥料施用不合理、土壤养分分布不均、肥效低及作物产量低等问题,通过精准施肥提高肥料利用效率,增加小麦产量,改善土壤养分分布状况。【方法】基于前期盆栽和田间小区试验结果,采用田间试验法,利用智能化分层施肥机械在河北省宁晋和曲周县分别设置6个施肥处理:农民习惯施肥(MF1)、常规机械优化氮磷钾肥一层施用(MF2)、智能化机械优化氮磷钾肥两层施用(MF3)、智能化机械优化氮磷肥两层钾肥三层施用(MF4)、智能化机械优化氮钾两层磷肥三层施用(MF5)、智能化机械优化氮肥两层磷钾肥三层施用(MF6),探讨精准施肥对土壤酶活性、土壤速效氮磷钾养分时空供应能力、肥料效率、小麦根系特征及籽粒产量的影响。【结果】分层施肥显著提高了20—40 cm土层的铵态氮、硝态氮和有效磷含量,分别增加5.9%—34.5%、6.4%—25.3%和12.9%—91.0%,同时提高了40—60 cm土层速效钾含量3.9%—38.5%。此外,分层施肥增强了20—40 cm土层过氧化氢酶和脲酶活性,分别提高了10.3%—19.7%、18.4%—31.2%,提高0—60 cm土层磷酸酶活性18.1%—32.9%,并增加20—40 cm土层根系长度13.2%—45.1%、表面积4.4%—36.4%和根体积8.7%—45.3%。分层施肥较优化氮磷钾肥一层施用显著提高氮肥、磷肥、钾肥偏生产力和籽粒产量,两试验区均以MF6处理表现最优。【结论】智能机械化分层施肥是一种高效精准的施肥技术,在协同改善土壤养分时空分布、酶活性和增强小麦根系分布方面优势明显,在生产实践中值得推荐。
吕旭东, 孙世媛, 李亚楠, 刘玉龙, 王艳群, 付鑫, 张佳英, 宁鹏, 彭正萍. 智能机械化分层施肥对麦田根-土养分分布和小麦产量的影响[J]. 中国农业科学, 2026, 59(1): 129-146.
LÜ XuDong, SUN ShiYuan, LI YaNan, LIU YuLong, WANG YanQun, FU Xin, ZHANG JiaYing, NING Peng, PENG ZhengPing. Effects of Intelligent Mechanized Layered Fertilization on Root-Soil Nutrient Distribution and Yield in Wheat Fields[J]. Scientia Agricultura Sinica, 2026, 59(1): 129-146.
表1
试验点土壤基础理化性质"
| 地点 Location | 土层 Soil layer (cm) | pH | 土壤容重 Soil bulk density (g·cm-3) | 有机质含量 Organic matter content (g·kg-1) | 铵态氮含量 NH4+-N content (mg·kg-1) | 硝态氮含量 NO3--N content (mg·kg-1) | 有效磷含量 Available P content (mg·kg-1) | 速效钾含量 Available K content (mg·kg-1) | |||||||||||
|---|---|---|---|---|---|---|---|---|---|---|---|---|---|---|---|---|---|---|---|
| 宁晋 Ningjin | 0-20 | 8.35 | 1.41 | 11.8 | 8.65 | 13.7 | 12.9 | 84.2 | |||||||||||
| 20-40 | 7.88 | 1.56 | 6.8 | 4.86 | 7.5 | 4.5 | 58.6 | ||||||||||||
| 曲周 Quzhou | 0-20 | 8.51 | 1.51 | 11.9 | 8.22 | 12.2 | 12.2 | 105.0 | |||||||||||
| 20-40 | 8.02 | 1.60 | 6.6 | 4.83 | 7.9 | 4.9 | 61.8 | ||||||||||||
表2
宁晋和曲周县试验处理和施肥情况(kg·hm-2)"
| 地点 Location | 处理 Treatment | 代号 Code | 上层 Upper layer (0-8 cm) | 中层 Middle layer (15-18 cm) | 下层 Lower layer (25-28 cm) | 追肥 Topdressing | 总量 Total amount | ||||||||||||||||||
|---|---|---|---|---|---|---|---|---|---|---|---|---|---|---|---|---|---|---|---|---|---|---|---|---|---|
| N | P2O5 | K2O | N | P2O5 | K2O | P2O5 | K2O | N | N | P2O5 | K2O | ||||||||||||||
| 宁晋 Ningjin | 农民习惯 Farmer’s habit | MF1 | 162 | 270 | 97.5 | 30 | |||||||||||||||||||
| N1P1K1 | MF2 | 84 | 90 | 75 | 126 | 210 | 90 | 75 | |||||||||||||||||
| N1:1P1:2K1:2 | MF3 | 42 | 30 | 25 | 42 | 60 | 50 | 126 | 210 | 90 | 75 | ||||||||||||||
| N1:1P1:2K2:1:2 | MF4 | 42 | 30 | 30 | 42 | 60 | 15 | 30 | 126 | 210 | 90 | 75 | |||||||||||||
| N1:1P2:1:2K1:2 | MF5 | 42 | 36 | 25 | 42 | 18 | 50 | 36 | 126 | 210 | 90 | 75 | |||||||||||||
| N1:1P2:1:2K2:1:2 | MF6 | 42 | 36 | 30 | 42 | 18 | 15 | 36 | 30 | 126 | 210 | 90 | 75 | ||||||||||||
| 曲周 Quzhou | 农民习惯 Farmer’s habit | MF1 | 162 | 270 | 90 | 60 | |||||||||||||||||||
| N1P1K1 | MF2 | 84 | 90 | 60 | 126 | 210 | 90 | 60 | |||||||||||||||||
| N1:1P1:2K1:2 | MF3 | 42 | 30 | 20 | 42 | 60 | 40 | 126 | 210 | 90 | 60 | ||||||||||||||
| N1:1P1:2K2:1:2 | MF4 | 42 | 30 | 24 | 42 | 60 | 12 | 24 | 126 | 210 | 90 | 60 | |||||||||||||
| N1:1P2:1:2K1:2 | MF5 | 42 | 36 | 20 | 42 | 18 | 40 | 36 | 126 | 210 | 90 | 60 | |||||||||||||
| N1:1P2:1:2K2:1:2 | MF6 | 42 | 36 | 24 | 42 | 18 | 12 | 36 | 24 | 126 | 210 | 90 | 60 | ||||||||||||
表3
智能机械化分层施肥对小麦根干重的影响"
| 处理 Treatment | 0—10 cm土层 0-10 cm soil layer | 10—20 cm土层 10-20 cm soil layer | 20—30 cm土层 20-30 cm soil layer | 30—40 cm土层 30-40 cm soil layer | 总重 Weight | |||||
|---|---|---|---|---|---|---|---|---|---|---|
| 宁晋 Ningjin | 曲周 Quzhou | 宁晋 Ningjin | 曲周 Quzhou | 宁晋 Ningjin | 曲周 Quzhou | 宁晋 Ningjin | 曲周 Quzhou | 宁晋 Ningjin | 曲周 Quzhou | |
| MF1 | 0.2965a | 0.3054a | 0.1612b | 0.1614b | 0.0564c | 0.0547c | 0.0241b | 0.0258b | 0.5382b | 0.5473b |
| MF2 | 0.2871a | 0.2936a | 0.1597b | 0.1547b | 0.0518c | 0.0523c | 0.0235b | 0.0259b | 0.5221b | 0.5265b |
| MF3 | 0.2847a | 0.2813a | 0.1832a | 0.1888a | 0.0588b | 0.0583bc | 0.0266b | 0.0279b | 0.5533b | 0.5563b |
| MF4 | 0.2781a | 0.2846a | 0.1777a | 0.1744a | 0.0636b | 0.0682b | 0.0287b | 0.0292ab | 0.5481b | 0.5564b |
| MF5 | 0.2783a | 0.2896a | 0.1754b | 0.1674b | 0.0777a | 0.0791a | 0.0321a | 0.0343a | 0.5635a | 0.5704a |
| MF6 | 0.2712a | 0.2872a | 0.1782b | 0.1663b | 0.0792a | 0.0806a | 0.0338a | 0.0357a | 0.5624a | 0.5698a |
表4
智能机械化分层施肥对小麦产量及氮磷钾肥偏生产力的影响"
| 年份 Year | 地点 Location | 施肥 Fertilization | 产量 Yield (kg·hm-2) | 氮肥偏生产力 PFPN (kg·kg-1) | 磷肥偏生产力 PFPP (kg·kg-1) | 钾肥偏生产力 PFPK (kg·kg-1) |
|---|---|---|---|---|---|---|
| 2022-2023 | 宁晋 Ningjin | MF1 | 6771.0bc | 25.1c | 69.5b | 225.7a |
| MF2 | 6619.8c | 31.5b | 73.6b | 88.3c | ||
| MF3 | 7217.7a | 34.4a | 80.2a | 96.2b | ||
| MF4 | 7139.7ab | 34.0a | 79.3a | 95.2bc | ||
| MF5 | 7444.9a | 35.5a | 82.7a | 99.3b | ||
| MF6 | 7385.8a | 35.2a | 82.1a | 98.5b | ||
| 曲周 Quzhou | MF1 | 6996.9cd | 25.9d | 77.7d | 116.6cd | |
| MF2 | 6901.2d | 32.9c | 76.7cd | 115.0d | ||
| MF3 | 7417.4abc | 35.3ab | 85.4abc | 123.6abc | ||
| MF4 | 7255.6bcd | 34.6bc | 80.6bcd | 120.9bcd | ||
| MF5 | 7666.5ab | 36.5a | 85.2ab | 127.8ab | ||
| MF6 | 7780.1.8a | 37.1a | 86.5a | 129.7a | ||
| 地点Location | ** | ** | *** | *** | ||
| 施肥Fertilization | *** | *** | *** | *** | ||
| 地点×施肥Location×Fertilization | ns | ns | ns | *** | ||
| 2023-2024 | 宁晋 Ningjin | MF1 | 7067.5c | 26.2d | 78.5c | 235.6a |
| MF2 | 6933.9c | 33.0c | 77.0c | 92.5d | ||
| MF3 | 7732.6b | 36.8b | 85.9b | 103.1bc | ||
| MF4 | 7690.1b | 36.6b | 85.4b | 102.5c | ||
| MF5 | 8151.4a | 38.8a | 90.6a | 108.7b | ||
| MF6 | 8136.1a | 38.7a | 90.4a | 108.5b | ||
| 曲周 Quzhou | MF1 | 7437.8c | 27.5d | 76.3d | 124.0c | |
| MF2 | 7317.4c | 34.8c | 81.3c | 122.0c | ||
| MF3 | 7993.9b | 38.1b | 88.8b | 133.2b | ||
| MF4 | 7963.1b | 37.9b | 88.5b | 132.7b | ||
| MF5 | 8331.4ab | 39.7ab | 92.6ab | 138.9ab | ||
| MF6 | 8485.4a | 40.4a | 94.3a | 141.4a | ||
| 地点Location | *** | *** | * | *** | ||
| 施肥Fertilization | *** | *** | *** | *** | ||
| 地点×施肥Location×Fertilization | ns | ns | ns | *** | ||
表5
土壤养分、酶活性、小麦根系与籽粒产量综合评价"
| 地点 Location | 施肥 Fertilization | Y1 | Y2 | Y3 | Y4 | Y5 | Y6 | Y7 | Y8 | 得分 Score | 排序 Order |
|---|---|---|---|---|---|---|---|---|---|---|---|
| 宁晋 Ningjin | MF1 | -0.554 | 0 | 0.034 | 0.002 | 0.010 | 0.020 | 0.008 | -0.009 | -0.488 | 5 |
| MF2 | -0.558 | -0.034 | -0.035 | 0.013 | -0.012 | -0.026 | 0 | 0 | -0.652 | 6 | |
| MF3 | 0.144 | 0.072 | -0.036 | -0.025 | 0.012 | 0.024 | -0.043 | -0.009 | 0.139 | 4 | |
| MF4 | 0.139 | 0.083 | 0.012 | -0.024 | -0.020 | -0.009 | 0.021 | 0.029 | 0.230 | 3 | |
| MF5 | 0.384 | -0.080 | 0.024 | 0.021 | -0.006 | 0.009 | 0 | 0 | 0.352 | 2 | |
| MF6 | 0.445 | -0.040 | 0.001 | 0.013 | 0.016 | -0.018 | 0.013 | -0.011 | 0.419 | 1 | |
| 曲周 Quzhou | MF1 | -0.532 | 0 | 0.032 | 0.003 | 0.013 | 0.022 | 0.009 | -0.009 | -0.462 | 5 |
| MF2 | -0.537 | -0.033 | -0.033 | 0.015 | -0.015 | -0.028 | 0 | 0 | -0.630 | 6 | |
| MF3 | 0.139 | 0.068 | -0.035 | -0.030 | 0.015 | 0.025 | -0.048 | -0.009 | 0.125 | 4 | |
| MF4 | 0.133 | 0.079 | 0.012 | -0.028 | -0.026 | -0.010 | 0.024 | 0.028 | 0.212 | 3 | |
| MF5 | 0.369 | -0.076 | 0.023 | 0.025 | -0.007 | 0.010 | 0 | 0 | 0.344 | 2 | |
| MF6 | 0.428 | -0.039 | 0.001 | 0.015 | 0.020 | -0.019 | 0.015 | -0.011 | 0.411 | 1 |
| [1] |
高绪科, 汪德水. 土壤耕层紧实度在华北旱地农业生产中作用的研究. 土壤肥料, 1984(6): 21-24.
|
|
|
|
| [2] |
陈智勇, 谢迎新, 张阳阳, 缑培欣, 马冬云, 康国章, 王晨阳, 郭天财. 小麦根长密度和根干重密度对氮肥的响应及其与产量的关系. 麦类作物学报, 2020, 40(10): 1223-1231.
|
|
|
|
| [3] |
宋晓, 张珂珂, 黄晨晨, 黄绍敏, 岳克, 张志标, 郭斗斗, 郭腾飞. 不同氮效率小麦品种根系特征及根际土壤酶活性的分析. 核农学报, 2023, 37(3): 617-625.
doi: 10.11869/j.issn.1000-8551.2023.03.0617 |
|
doi: 10.11869/j.issn.1000-8551.2023.03.0617 |
|
| [4] | |
|
|
|
| [5] |
doi: 10.1038/s41598-024-65784-w pmid: 38926546 |
| [6] |
doi: 10.3390/agronomy14040858 |
| [7] |
doi: 10.1002/ldr.v35.3 |
| [8] |
doi: 10.1007/s42729-023-01246-y |
| [9] |
doi: 10.2489/jswc.2023.00094 |
| [10] |
doi: 10.3390/agriculture12020236 |
| [11] |
doi: 10.1016/j.fcr.2022.108462 |
| [12] |
doi: 10.1016/j.geoderma.2019.114156 |
| [13] |
doi: 10.1016/j.still.2022.105546 |
| [14] |
doi: 10.1016/j.fcr.2023.108895 |
| [15] |
doi: 10.3390/agronomy14061228 |
| [16] |
doi: 10.1002/agj2.v113.6 |
| [17] |
卜明娜, 杨习文, 滕政凯, 胡乃月, 张烁, 王春艳, 杨键, 梁文宪, 马文奇, 贺德先, 周苏玫. 不同灌水条件下分层施肥对土壤养分垂直分布与小麦根系生长和功能的影响. 中国农业科学, 2024, 57(11): 2125-2142. doi: 10.3864/j.issn.0578-1752.2024.11.007.
|
|
|
|
| [18] |
狄楠, 马娟娟, 孙西欢, 郭向红, 黄洁. 灌水深度对冬小麦根系形态的影响研究. 中国农村水利水电, 2016(10): 49-52, 55.
|
|
|
|
| [19] |
doi: 10.3390/agronomy13092428 |
| [20] |
doi: 10.1016/j.fcr.2017.09.001 |
| [21] |
doi: 10.1038/s41598-021-98016-6 pmid: 34556699 |
| [22] |
王泽鹏, 郭靖, 石佳玉, 吕旭东, 王艳群, 门杰, 彭正萍. 分层施磷对冬小麦光合特征、磷素利用及产量的影响. 河北农业大学学报, 2024, 47(2): 1-8.
doi: 10.13320/j.cnki.jauh.2024.0016 |
|
|
|
| [23] |
陈金成, 张惠, 汤智辉, 张景, 纪超. 分层施肥机作业监测系统的设计与田间试验. 江苏农业科学, 2021, 49(20): 205-210.
|
|
|
|
| [24] |
祝清震, 武广伟, 朱志豪, 张恒源, 高原源, 陈立平. 冬小麦精准分层施肥宽苗带播种联合作业机研究. 农业机械学报, 2022, 53(2): 25-35.
|
|
|
|
| [25] |
于兴瑞, 耿端阳, 杜瑞成, 金诚谦, 杨善东, 鹿秀凤. 气力输送式小麦免耕施肥播种机设计与试验. 农业机械学报, 2018, 49(S1): 141-148.
|
|
|
|
| [26] |
温樱, 王东. 底肥分层条施提高冬小麦干物质积累及产量. 植物营养与肥料学报, 2017, 23(5): 1387-1393.
|
|
|
|
| [27] |
鲍士旦. 土壤农化分析. 3版. 北京: 中国农业出版社, 2000.
|
|
|
|
| [28] |
关松荫. 土壤酶及其研究法. 北京: 农业出版社, 1986.
|
|
|
|
| [29] |
doi: 10.1016/j.eja.2023.126852 |
| [30] |
屈佳伟, 田磊, 于长生, 艾俊国, 刘玉龙, 于晓芳, 张悦忠. 耕作方式与秸秆还田对土壤物理性状及春玉米产量的影响. 玉米科学, 2024, 32(8): 55-62, 71.
|
|
|
|
| [31] |
黄炳林, 王孟雪, 金喜军, 张春宇, 张玉先, 胡国华. 不同中耕措施对土壤水分与大豆产量的影响. 大豆科学, 2020, 39(1): 68-75.
|
|
|
|
| [32] |
doi: 10.1016/j.still.2021.105186 |
| [33] |
doi: 10.1016/j.eja.2021.126379 |
| [34] |
doi: 10.1016/j.still.2022.105388 |
| [35] |
doi: 10.1016/j.fcr.2023.108862 |
| [36] |
杨力剑, 宁露, 梁兆君, 张广彩, 李菁, 张甜, 司彤, 于晓娜, 张晓军, 邹晓霞. 分层施肥对花生田土壤养分动态变化的影响研究. 花生学报, 2024, 53(2): 20-30.
|
|
|
|
| [37] |
赵萍, 徐国发, 李增玺, 王瑞丽, 于天阔. 秋季深耕分层施肥对辽北地区玉米产量及土壤理化特性的影响. 沈阳农业大学学报, 2021, 52(4): 500-505.
|
|
|
|
| [38] |
白岚方, 张向前, 张德健, 路战远, 王玉芬, 白云鹤. 不同施氮水平下青贮玉米农田土壤酶活性时空分布特征. 土壤通报, 2022, 53(5): 1088-1097.
|
|
|
|
| [39] |
王鹏博, 张冬霞, 乔唱唱, 黄明, 王贺正. 秸秆还田和施磷量对豫西旱地小麦土壤酶活性和产量形成的影响. 作物学报, 2025, 51(2): 534-547.
doi: 10.3724/SP.J.1006.2025.41030 |
|
|
|
| [40] |
窦航宇, 阮毅好, 张颖蕾, 宋苗苗, 张义涵, 杨留洋, 杨青华, 王浩. 磷肥施用方式对黄淮地区夏玉米土壤磷素有效性及产量的影响. 华北农学报, 2024, 39(1): 127-134.
doi: 10.7668/hbnxb.20194022 |
|
doi: 10.7668/hbnxb.20194022 |
|
| [41] |
邱丽丽, 张佳宝, 赵炳梓. 土壤干旱对两品种小麦根际土壤微生物群落组成和酶活性的影响. 干旱区资源与环境, 2022, 36(2): 116-122.
|
|
|
|
| [42] |
张景云, 关峰, 石博, 万新建. 小麦根系分泌物对苦瓜幼苗生长及土壤生物学环境的影响. 中国农业科技导报, 2024, 26(2): 181-190.
|
|
|
|
| [43] |
doi: 10.1016/j.jenvman.2024.120059 |
| [44] |
孔洁, 庞茹月, 王铭伦, 赵红军, 邹晓霞. 分层减量施肥对花生根系生长的影响. 中国土壤与肥料, 2022(5): 77-83.
|
|
|
|
| [45] |
程文龙, 李敏, 王慧, 卜容燕, 韩上, 唐杉, 卢昌艾, 葛自兵, 武际. 深耕配合施用有机肥提高15—30cm土层小麦根长密度. 植物营养与肥料学报, 2023, 29(7): 1280-1289.
|
|
|
|
| [46] |
doi: 10.1016/j.fcr.2021.108378 |
| [47] |
薛云贵, 张绪成, 侯慧芝, 尹嘉德, 郭宏娟, 梁进宇, 王硕. 化肥深施对干旱条件下春小麦旗叶光合特征及产量形成的影响. 甘肃农业大学学报, 2024, 59(4): 62-70.
|
|
|
| [1] | 蒲丽霞, 张佳芮, 叶建萍, 黄秀兰, 樊高琼, 杨洪坤. 二氢赤霉素与秸秆覆盖对旱地小麦分蘖成穗与产量的影响[J]. 中国农业科学, 2025, 58(9): 1735-1748. |
| [2] | 史帆, 李文广, 易树生, 杨娜, 陈玉萌, 郑伟, 张雪辰, 李紫燕, 翟丙年. 有机无机肥配施下旱地麦田土壤有机碳组分含量的变化特征[J]. 中国农业科学, 2025, 58(4): 719-732. |
| [3] | 房康睿, 丁世杰, 陈雨珊, 杨秉庚, 郭腾飞, 徐新朋, 赵士诚, 王秀斌, 黄绍敏, 仇少君, 何萍, 周卫. 有机无机肥配施下典型潮土小麦季有机肥氮磷的当季释放率[J]. 中国农业科学, 2025, 58(24): 5234-5246. |
| [4] | 吴文琪, 焦阳, 惠家祯, 王绪锋, 郭博森, 沈玉芳. 不同有机物料配施化肥对土壤肥力和玉米产量的影响[J]. 中国农业科学, 2025, 58(23): 4966-4978. |
| [5] | 张海睿, 贾昂元, 高奇奇, 韩哲群, 南珊珊, 段碧华, 武雪萍. 生物炭配施黄腐酸对滨海盐碱地土壤理化性质、酶活性和多功能性的影响[J]. 中国农业科学, 2025, 58(20): 4178-4188. |
| [6] | 佘映军, 周子哲, 伍明, 郭魏, 师昌健, 胡超, 李平. 地下水埋深和施氮对土壤水盐分布及冬小麦养分吸收利用的影响[J]. 中国农业科学, 2025, 58(20): 4285-4304. |
| [7] | 宣泽鹏, 冯慧瑶, 陈美淇, 徐基胜, 刘梦璇, 赵炳梓, 张佳宝. 秸秆还田配施化肥对土壤生态系统多功能性的影响[J]. 中国农业科学, 2025, 58(14): 2821-2837. |
| [8] | 王荣荣, 徐宁璐, 黄修利, 赵凯男, 黄明, 王贺正, 付国占, 吴金芝, 李友军. 一次灌溉和氮肥运筹对旱地小麦籽粒产量和品质的影响[J]. 中国农业科学, 2025, 58(1): 43-57. |
| [9] | 高兴祥, 孔媛, 张耀中, 李美, 李健, 金岩, 张国福, 刘帅帅, 刘明平, 曾艳, 柏连阳. 河南省冬小麦田杂草群落分布现状及其变化原因分析[J]. 中国农业科学, 2025, 58(1): 91-100. |
| [10] | 臧少龙, 刘淋茹, 高越之, 吴珂, 贺利, 段剑钊, 宋晓, 冯伟. 基于无人机影像多时相的小麦品种氮效率分类识别[J]. 中国农业科学, 2024, 57(9): 1687-1708. |
| [11] | 高娅菲, 赵媛博, 徐玲, 孙嘉悦, 夏煜轩, 薛丹, 武海雯, 宁航, 吴安驰, 吴林. 冷浸田改种泥炭藓显著增加土壤有机碳含量且降低胞外酶活性[J]. 中国农业科学, 2024, 57(8): 1533-1546. |
| [12] | 高晨凯, 刘水苗, 李煜铭, 赵志恒, 邵京, 于昊琳, 吴鹏年, 王艳丽, 关小康, 王同朝, 温鹏飞. 冬小麦水分利用效率相关驱动因子及其预测模型构建[J]. 中国农业科学, 2024, 57(7): 1281-1294. |
| [13] | 赵凯男, 丁豪, 刘阿康, 姜宗昊, 陈广周, 冯波, 王宗帅, 李华伟, 司纪升, 张宾, 毕香君, 李勇, 李升东, 王法宏. 氮肥减量后移改善植株光合特性提高麦-玉周年产量及经济效益[J]. 中国农业科学, 2024, 57(5): 868-884. |
| [14] | 高尚洁, 刘杏认, 李迎春, 柳晓婉. 施用生物炭和秸秆还田对农田温室气体排放及增温潜势的影响[J]. 中国农业科学, 2024, 57(5): 935-949. |
| [15] | 朱瑞明, 赵荣钦, 焦士兴, 李小建, 肖连刚, 谢志祥, 杨青林, 王帅, 张慧芳. 河南省乡镇尺度冬小麦灌溉碳排放强度空间格局及影响因素分析[J]. 中国农业科学, 2024, 57(5): 950-964. |
|
||