





中国农业科学 ›› 2025, Vol. 58 ›› Issue (20): 4158-4177.doi: 10.3864/j.issn.0578-1752.2025.20.010
韩哲群1,3(
), 苏莹3, 高奇奇1(
), 刘美英3, 贾昂元1, 张海睿1, 南珊珊1, 徐勤政4, 王强4, 王利军4, 武雪萍1,2(
)
收稿日期:2025-07-22
接受日期:2025-09-28
出版日期:2025-10-16
发布日期:2025-10-14
通信作者:
联系方式:
韩哲群,E-mail:2081149208@qq.com。
基金资助:
HAN ZheQun1,3(
), SU Ying3, GAO QiQi1(
), LIU MeiYing3, JIA AngYuan1, ZHANG HaiRui1, NAN ShanShan1, XU QinZheng4, WANG Qiang4, WANG LiJun4, WU XuePing1,2(
)
Received:2025-07-22
Accepted:2025-09-28
Published:2025-10-16
Online:2025-10-14
摘要:
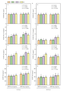
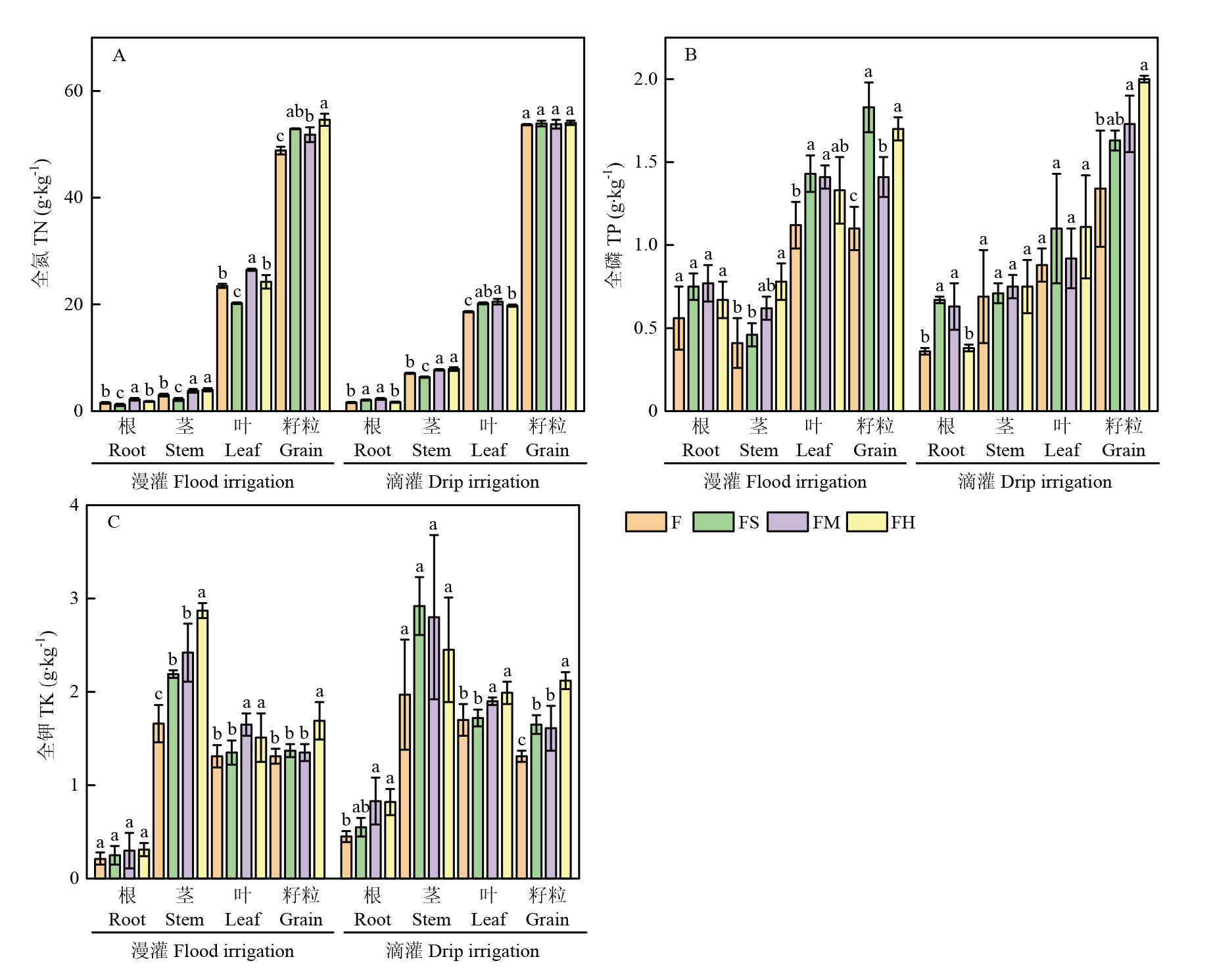
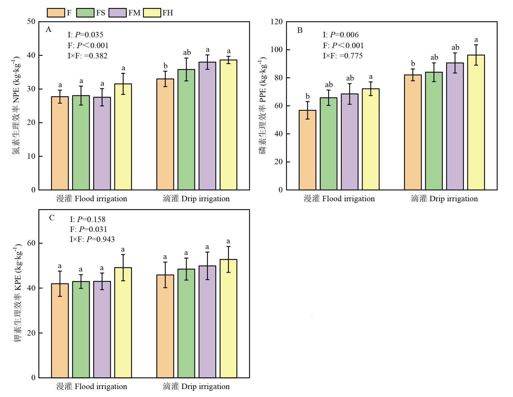
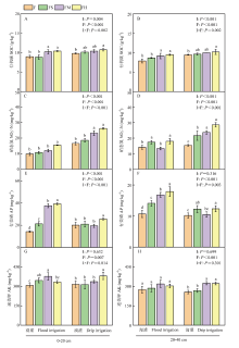
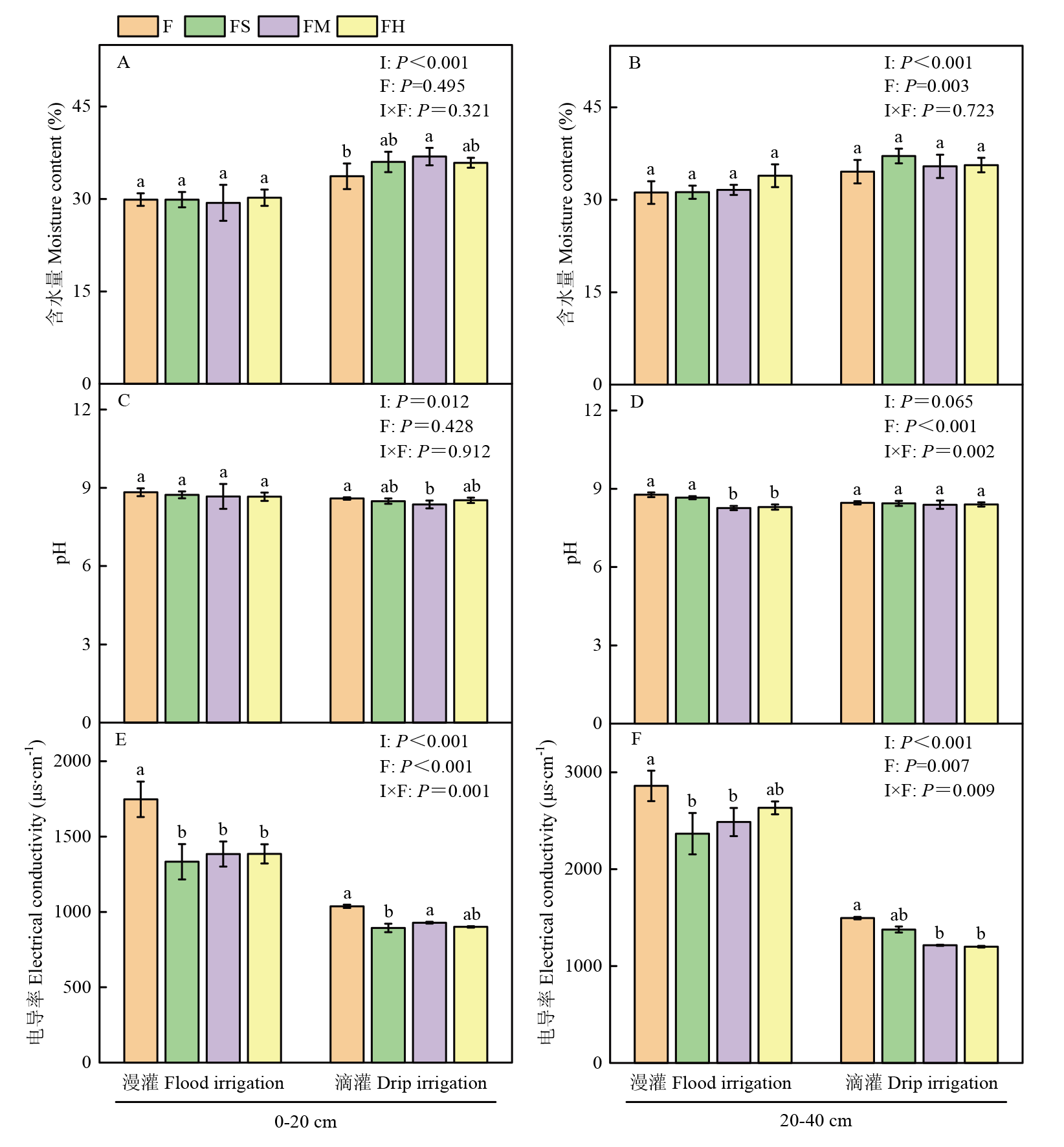
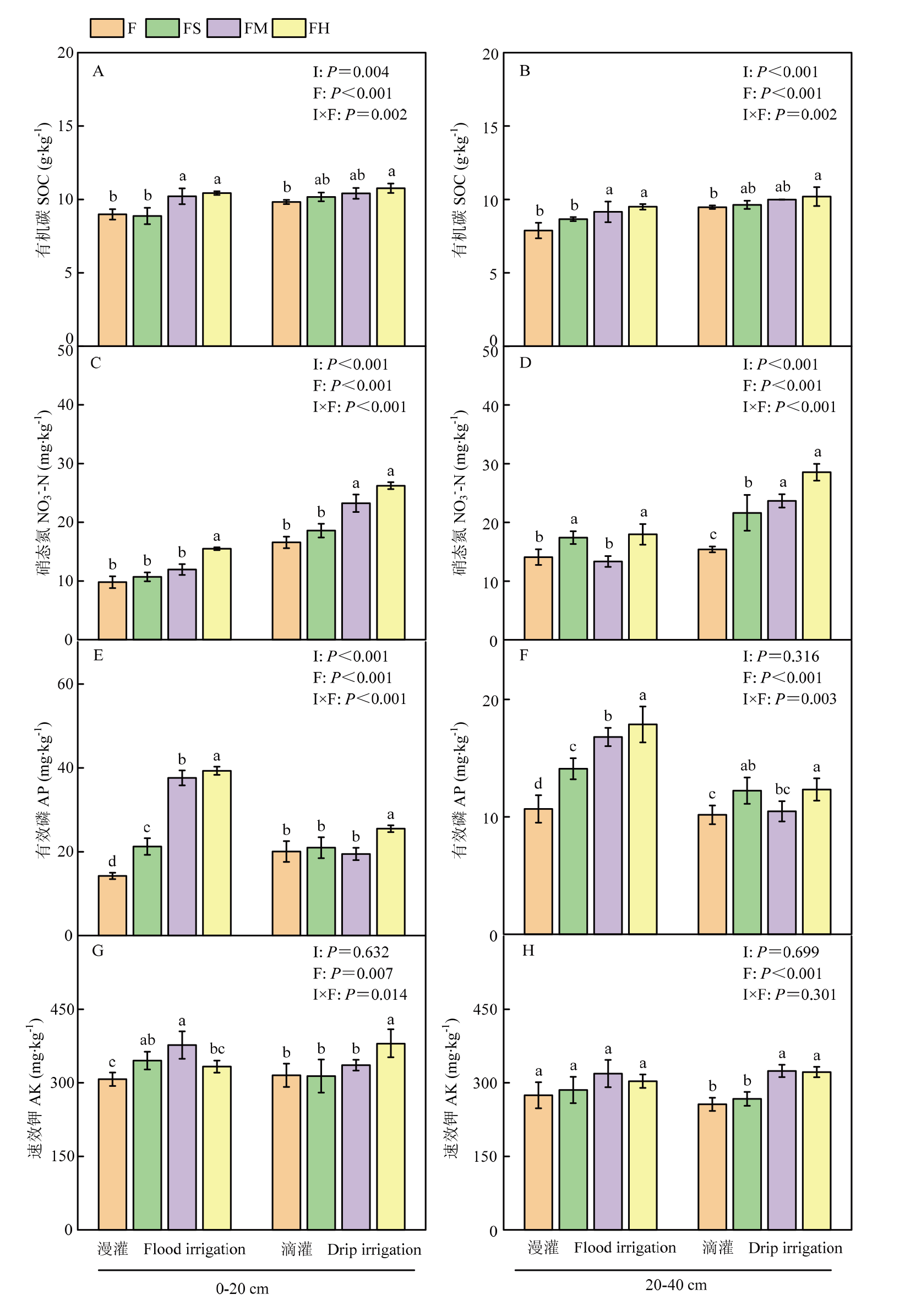
【目的】针对内蒙古引黄灌区盐碱地土壤肥力差、水盐失衡制约向日葵生产的问题,探究智能滴灌水肥耦合模式对引黄灌区盐碱地土壤及向日葵生长和产量品质的调控效应。【方法】基于2年的田间试验结果,于2023—2024年在内蒙古达拉特旗开展双因素裂区试验,以向日葵为供试作物,主区为漫灌和滴灌两种灌溉方式,副区为单施化肥(F)、化肥+秸秆(FS)、化肥+牛粪(FM)、化肥+高碳基肥(FH)4种施肥模式。分析不同水肥管理模式对土壤理化性质、向日葵产量品质及养分生理效率的影响。【结果】两年试验中,智能滴灌水肥一体化与漫灌传统施肥相比,显著降低0—40 cm土层土壤电导率(EC)41.2%,增加土壤含水量15.0%,增加硝态氮(NO3--N)含量37.8%,增加土壤有机碳含量(SOC)10.8%。传统漫灌下,0—40 cm土层中,与F相比,有机物料添加显著降低EC值7.3%—27.0%,使pH降低0.08—0.51,增加SOC含量3.8%—13.0%,增加NO3--N含量9.2%—48.2%,增加有效磷含量(AP)32.2%—62.7%,增加速效钾含量(AK)12.4%—22.7%。智能滴灌下,0—40 cm土层中,与F处理相比,有机物料添加显著降低EC值3.7%—28.5%,增加SOC含量4.3%—9.5%,增加NO3--N含量17.2%—41.4%,增加AP含量20.3%—48.8%,增加AK含量3.6%—26.6%。此外,智能滴灌水肥一体化与传统漫灌施肥相比,向日葵株高与茎粗分别显著提高16.7%和85.4%,氮素生理效率(NPE)、磷素生理效率(PPE)分别提升26.6%、34.1%,生物产量和籽粒产量分别提高12.8%和89.5%,水分利用效率(WUE)提高67.7%。传统漫灌下,与F相比,有机物料添加显著增加株高16.7%—17.5%,PPE增加27.1%,生物产量增加37.0%—43.9%,籽粒产量增加6.0%—25.2%,WUE增加6.0%—25.2%,出仁率增加13.0%—17.9%,籽粒脂肪含量增加9.7%。智能滴灌下,与F相比,有机物料添加显著增加株高7.6%,NPE提高15.2%—17.2%,PPE增加17.2%,生物产量增加23.7%,籽粒产量增加4.6%—20.4%,WUE增加4.6%—20.4%,出仁率增加6.2%—10.2%,籽粒脂肪含量增加3.3%。Mantel分析显示生物产量和籽粒产量与土壤含水量、SOC、株高、茎粗、NPE、PPE呈显著正相关关系,与pH和EC呈显著负相关关系(P<0.01)。综合分析,智能滴灌水肥一体化与牛粪或高碳基肥配施效果最好,是引黄灌区盐碱地适宜的水肥管理模式。【结论】智能滴灌下有机物料添加的水肥耦合模式通过降低土壤盐分、提升养分有效性和作物生理效率,有效地改善了盐碱地质量,并促进了向日葵产量和品质提升。
韩哲群, 苏莹, 高奇奇, 刘美英, 贾昂元, 张海睿, 南珊珊, 徐勤政, 王强, 王利军, 武雪萍. 智能滴灌水肥耦合模式实现土壤节水控盐与向日葵产量品质协同提升[J]. 中国农业科学, 2025, 58(20): 4158-4177.
HAN ZheQun, SU Ying, GAO QiQi, LIU MeiYing, JIA AngYuan, ZHANG HaiRui, NAN ShanShan, XU QinZheng, WANG Qiang, WANG LiJun, WU XuePing. Intelligent Drip Irrigation Water-Fertilizer Coupling Regime Realizes Synergistic Improvement of Soil Water Conservation, Salt Control and Sunflower Yield and Quality[J]. Scientia Agricultura Sinica, 2025, 58(20): 4158-4177.
表1
不同土层土壤理化特性"
| 土层深度 Soil depth (cm) | 容重 Bulk density (g·cm-3) | pH | 电导率 Electrical conductivity (μs·cm-1) | 含盐量 Saltness (g·kg-1) | 有机碳 Organic carbon (g·kg-1) | 全氮 Total nitrogen (g·kg-1) | 有效磷 Available phosphorus (mg·kg-1) | 速效钾 Available potassium (mg·kg-1) |
|---|---|---|---|---|---|---|---|---|
| 0-20 | 1.39 | 8.27 | 1162 | 5.80 | 7.51 | 0.92 | 19.30 | 209.8 |
| 20-40 | 1.32 | 8.20 | 997.33 | 5.90 | 8.15 | 0.93 | 16.43 | 175.8 |
表2
施肥方案设计表"
| 盐碱地程度 Saline soil degree | 灌溉方式 Irrigation method | 施肥模式 Fertilization pattern | 施肥量 Fertilization rate (kg·hm-2) | ||||||
|---|---|---|---|---|---|---|---|---|---|
| 模式 Pattern | 代码 Code | ||||||||
| 中度 Moderate | 漫灌/滴灌 Flood irrigation/ Drip irrigation | 单施化肥 Applying chemical fertilizers alone | F | 基肥Base fertilizer N 120、P2O5 75、K2O 72 追肥Top-dressing N 180、K2O 48 | |||||
| 化肥+秸秆 Chemical Fertilizer + Straw | FS | 化肥量同上,秸秆 Fertilizer application rate as above. Straw: 9000.0 | |||||||
| 化肥+牛粪 Chemical fertilizer + cow manure | FM | 化肥量同上,牛粪 Fertilizer amount as above, cow manure: 8653.7 | |||||||
| 化肥+高碳基肥 Chemical fertilizer + high-carbon fertilizer | FH | 化肥量同上,高碳基肥 Fertilizer application rate as above. high-carbon base fertilizer: 8183.0 | |||||||
表3
不同灌溉施肥方式对向日葵形态特征及品质的影响"
| 指标 Parameters | 施肥处理 Fertilization method | 漫灌 Flood irrigation | 滴灌 Drip irrigation | 显著性检验 P value |
|---|---|---|---|---|
| 株高 Plant height (cm) | F | 123.50±2.50b | 166.33±13.43b | I:P<0.001 F:P=0.098 I×F:P=0.74 |
| FS | 135.33±5.13b | 167.67±5.03b | ||
| FM | 144.17±5.01a | 173.67±5.86b | ||
| FH | 145.33±3.51a | 179.00±5.20a | ||
| 茎粗 Stem diameter (cm) | F | 16.87±0.60a | 30.37±3.76a | I:P<0.001 F:P=0.849 I×F:P=0.958 |
| FS | 17.07±2.18a | 31.90±3.90a | ||
| FM | 17.27±1.25a | 30.97±3.33a | ||
| FH | 18.37±0.59a | 35.73±2.62a | ||
| 出仁率 Rate of benevolence (%) | F | 44.00±0.01c | 48.70±0.01c | I:P=0.002 F:P<0.001 I×F:P=0.001 |
| FS | 49.70±0.01b | 49.54±0.01c | ||
| FM | 51.74±0.02a | 51.68±0.01b | ||
| FH | 51.85±0.01a | 53.67±0.01a | ||
| 脂肪 Fat (%) | F | 0.41±0.01b | 0.42±0.004b | I:P=0.98 F:P=0.016 I×F:P=0.016 |
| FS | 0.44±0.01ab | 0.44±0.005ab | ||
| FM | 0.42±0.02b | 0.44±0.003a | ||
| FH | 0.45±0.01a | 0.43±0.003ab |
| [1] |
doi: 10.1038/s41467-024-48252-x pmid: 38719912 |
| [2] |
|
| [3] |
doi: 10.1038/s41467-021-26907-3 pmid: 34795219 |
| [4] |
|
| [5] |
|
| [6] |
|
| [7] |
|
| [8] |
|
| [9] |
|
| [10] |
|
| [11] |
|
| [12] |
|
| [13] |
蔡慧芳, 李紫燕, 史雷, 张统帅, 王书停, 郝红玉, 翟丙年, 王朝辉. 监控施肥配施有机肥对渭北旱地小麦产量及养分吸收利用的影响. 山西农业科学, 2022, 50(6): 781-787.
|
|
|
|
| [14] |
|
| [15] |
段玉, 张君, 范霞, 李书田, 梁俊梅, 安昊, 张婷婷. 栽培方式与钾互作对食用向日葵产量、品质和钾素利用率的影响. 植物营养与肥料学报, 2020, 26(12): 2264-2275.
|
|
|
|
| [16] |
徐秋韵, 周伟迪, 韩成龙, 谷艳杰. 不同磷肥施用量对高寒地区覆膜蚕豆光合特性、产量和水分利用效率的影响. 中国农业科学, 2025, 58(10): 1917-1933. doi: 10.3864/j.issn.0578-1752.2025.10.005.
|
|
|
|
| [17] |
|
| [18] |
doi: 10.1038/s41598-017-10718-y pmid: 28878251 |
| [19] |
薛旭杰, 康晓晗, 石小霞, 赵诣, 孟凡乔. 长期施肥和秸秆还田对设施蔬菜土壤有机碳的影响. 农业工程学报, 2022, 38(S1): 98-105.
|
|
|
|
| [20] |
|
| [21] |
|
| [22] |
|
| [23] |
|
| [24] |
|
| [25] |
梁凯粼, 王鹏, 张馨方, 王涛, 曾婉莹, 刘媛媛, 吴勇, 陈雨露, 李贝贝, 叶协锋. 腐熟牛粪在丘陵烟田的碳氮矿化特征及对土壤养分的影响. 中国烟草科学, 2025, 46(1): 7-15.
|
|
|
|
| [26] |
|
| [27] |
王楠, 刘兰, 陈晨, 严婷, 王琴, 李万鸿, 王帅. 稻草与牛粪混合腐解的最佳配比筛选. 西北农林科技大学学报(自然科学版), 2020, 48(4): 107-114.
|
|
|
|
| [28] |
马桂秀, 林治安, 李志杰, 温延臣. 有机物料与化肥配施改良盐碱耕地的效果研究. 中国土壤与肥料, 2019(3): 69-75.
|
|
|
|
| [29] |
冶赓康, 俄胜哲, 袁金华, 赵天鑫, 路港滨, 张鹏, 刘雅娜. 施用不同有机物料对作物产量及灌漠土磷组分的影响. 干旱地区农业研究, 2025, 43(1): 91-102.
|
|
|
|
| [30] |
陈利军, 蒋瑀霁, 王浩田, 赵其国, 孙波. 长期施用有机物料对旱地红壤磷组分及磷素有效性的影响. 土壤, 2020, 52(3): 451-457.
|
|
|
|
| [31] |
|
| [32] |
刘国辉, 买文选, 田长彦. 施用有机肥对盐碱土的改良效果: Meta分析. 农业资源与环境学报, 2023, 40(1): 86-96.
|
|
|
|
| [33] |
贾明磊, 魏飒, 刘帆, 张玉翠, 沈彦俊. 土壤质地和滴头流量对地下滴灌土壤水分运移特征的影响. 中国生态农业学报(中英文), 2025, 33(4): 749-758.
|
|
|
|
| [34] |
叶扬, 郭晓雯, 杨茂琪, 闵伟, 郭慧娟. 长期咸水滴灌对棉田土壤磷循环微生物群落结构及功能基因的影响. 环境科学, 2025, 46(2): 1225-1235.
|
|
|
|
| [35] |
|
| [36] |
|
| [37] |
|
| [38] |
宰松梅, 仵峰, 范永申, 温季, 韩启彪, 孙浩. 不同滴灌形式对棉田土壤理化性状的影响. 农业工程学报, 2011, 27(12): 84-89.
|
|
|
|
| [39] |
杨立达, 彭新月, 朱文雪, 赵静, 袁晓婷, 林萍, 罗凯, 李易玲, 罗春明, 李雨泽, 杨文钰, 雍太文. 秸秆还田与灌溉方式对大豆玉米带状间作出苗及幼苗生长的影响. 中国农业科学, 2024, 57(17): 3366-3383. doi: 10.3864/j.issn.0578-1752.2024.17.005.
|
|
|
|
| [40] |
王振华, 陈潇洁, 吕德生, 李文昊, 王天宇, 魏驰林. 水肥耦合对加气滴灌加工番茄产量及品质的影响. 农业工程学报, 2020, 36(19): 66-75.
|
|
|
|
| [41] |
张晶, 党建友, 裴雪霞, 张定一, 王姣爱, 程麦凤. 微喷灌水肥一体化下磷钾肥减量分期施用对小麦产量和养分利用的影响. 核农学报, 2020, 34(3): 629-634.
doi: 10.11869/j.issn.100-8551.2020.03.0629 |
|
doi: 10.11869/j.issn.100-8551.2020.03.0629 |
|
| [42] |
谭军利, 康跃虎, 窦超银. 干旱区盐碱地覆膜滴灌不同年限对糯玉米生长和产量的影响. 中国农业科学, 2013, 46(23): 4957-4967. doi: 10.3864/j.issn.0578-1752.2013.23.012.
|
|
|
|
| [43] |
|
| [44] |
|
| [45] |
郭磊. 油橄榄智能滴灌水肥一体化栽培技术研究. 中国农业文摘-农业工程, 2025, 37(2): 92-96.
|
|
|
|
| [46] |
柴玉琳, 张建华, 王凯, 陈治国. 智能灌溉实现土壤根际改良与水肥决策对马铃薯生产的影响// 第二十五届中国马铃薯大会, 2024.
|
|
|
|
| [47] |
王永东. 智能滴灌系统在新疆棉田的应用与思考. 中国防汛抗旱, 2016, 26(1): 74-77.
|
|
|
|
| [48] |
|
| [49] |
|
| [50] |
苗运彩, 何铁虎, 袁俊吉, 刘德燕, 姚荣江, 丁维新. 有机肥部分替代化肥对河套灌区土壤有机碳和向日葵产量的影响. 北方农业学报, 2024, 52(1): 46-54.
|
|
|
|
| [51] |
李彦旬, 王荣荣, 罗雪梅, 蒋桂英. 减量施氮对滴灌春小麦籽粒灌浆特性和氮代谢酶活性的影响. 麦类作物学报, 2019, 39(7): 794-801.
|
|
|
|
| [52] |
薛钰琦, 赵继玉, 孙旺胜, 任佰朝, 赵斌, 刘鹏, 张吉旺. 不同氮素形态对夏玉米产量和品质的影响. 中国农业科学, 2025, 58(8): 1535-1549. doi: 10.3864/j.issn.0578-1752.2025.08.006.
|
|
|
|
| [53] |
鲁耀泽, 夏玉红, 乌兰其其格, 黄永平, 张伟. 不同水肥模式对盐渍化农田向日葵生长及产量的影响. 节水灌溉, 2021(7): 36-40, 45.
|
|
|
|
| [54] |
doi: 10.1038/s41598-019-45693-z pmid: 31249335 |
| [55] |
|
| [56] |
|
| [57] |
|
| [58] |
|
| [59] |
兰宇, 孟军, 韩晓日, 陈温福. 生物炭基产品及其对土壤培肥改良效应的研究进展. 植物营养与肥料学报, 2024, 30(7): 1396-1412.
|
|
|
| [1] | 蒲丽霞, 张佳芮, 叶建萍, 黄秀兰, 樊高琼, 杨洪坤. 二氢赤霉素与秸秆覆盖对旱地小麦分蘖成穗与产量的影响[J]. 中国农业科学, 2025, 58(9): 1735-1748. |
| [2] | 郭晨荔, 刘扬, 陈燕, 胡伟, 王友华, 周治国, 赵文青. 减氮条件下适当磷肥后移对滴灌棉花产量和磷肥利用效率的影响[J]. 中国农业科学, 2025, 58(9): 1749-1766. |
| [3] | 刘劲松, 伍龙梅, 包晓哲, 刘志霞, 张彬, 杨陶陶. 短期减施氮肥对华南地区早晚兼用型水稻产量和稻米品质的影响[J]. 中国农业科学, 2025, 58(8): 1508-1520. |
| [4] | 韦文华, 李盼, 邵冠贵, 樊志龙, 胡发龙, 范虹, 何蔚, 柴强, 殷文, 赵连豪. 西北灌区青贮玉米产量及品质对减量灌水与有机无机肥配施的响应[J]. 中国农业科学, 2025, 58(8): 1521-1534. |
| [5] | 薛钰琦, 赵继玉, 孙旺胜, 任佰朝, 赵斌, 刘鹏, 张吉旺. 不同氮素形态对夏玉米产量和品质的影响[J]. 中国农业科学, 2025, 58(8): 1535-1549. |
| [6] | 李绍兴, 宋稳锋, 魏泽煜, 周玉玲, 宋李霞, 任可, 马群, 王龙昌. 秸秆与紫云英覆盖对土壤肥力及甘薯产量的影响[J]. 中国农业科学, 2025, 58(8): 1591-1603. |
| [7] | 尹波, 于爱忠, 王鹏飞, 杨学慧, 王玉珑, 尚永盼, 张冬玲, 刘亚龙, 李悦, 王凤. 绿肥还田结合氮肥减施对干旱灌区麦田土壤水热特征及小麦产量的影响[J]. 中国农业科学, 2025, 58(7): 1366-1380. |
| [8] | 陈桂平, 李盼, 邵冠贵, 吴霞玉, 殷文, 赵连豪, 樊志龙, 胡发龙. 减量灌水与有机无机肥配施对青贮玉米吐丝期后叶片持绿特性的调控作用[J]. 中国农业科学, 2025, 58(7): 1381-1396. |
| [9] | 张洪程, 邢志鹏, 张瑞宏, 单翔, 奚小波, 程爽, 翁文安, 胡群, 崔培媛, 魏海燕. 小麦整合化无人化丰产栽培的特征与技术途径[J]. 中国农业科学, 2025, 58(5): 864-876. |
| [10] | 张涵, 张玉琪, 黎景来, 徐虹, 李维环, 李涛. LED补光对日光温室基质栽培草莓生产及叶片生理特性的影响[J]. 中国农业科学, 2025, 58(5): 975-990. |
| [11] | 陈鸽, 谷雨, 文炯, 傅岳峰, 何兮, 李薇, 周峻宇, 刘琼峰, 吴海勇. 冬闲杂草还田对水稻光合物质生产和产量的影响[J]. 中国农业科学, 2025, 58(4): 647-659. |
| [12] | 苏明, 李翻过, 洪自强, 周甜, 柳强娟, 班文慧, 吴宏亮, 康建宏. 施氮缓解旱地马铃薯花后高温早衰的抗氧化特性研究[J]. 中国农业科学, 2025, 58(4): 660-675. |
| [13] | 史帆, 李文广, 易树生, 杨娜, 陈玉萌, 郑伟, 张雪辰, 李紫燕, 翟丙年. 有机无机肥配施下旱地麦田土壤有机碳组分含量的变化特征[J]. 中国农业科学, 2025, 58(4): 719-732. |
| [14] | 罗一诺, 李艳霏, 李文虎, 张思琦, 牟文燕, 黄宁, 孙蕊卿, 丁玉兰, 佘文婷, 宋文斌, 李小涵, 石美, 王朝辉. 我国新育成小麦品种(系)籽粒不同部位铁含量及影响因素[J]. 中国农业科学, 2025, 58(3): 416-430. |
| [15] | 仇海龙, 李盼, 张殿凯, 樊志龙, 胡发龙, 陈桂平, 范虹, 何蔚, 殷文, 赵连豪. 西北绿洲灌区麦后复种绿肥对减量施氮春小麦生长及产量的补偿效应[J]. 中国农业科学, 2025, 58(3): 443-459. |
|
||