Scientia Agricultura Sinica ›› 2026, Vol. 59 ›› Issue (5): 1008-1019.doi: 10.3864/j.issn.0578-1752.2026.05.007

• PLANT PROTECTION • Previous Articles     Next Articles

Relationship Between Glutathione S-Transferase Genes CfGSTe1 and CfGSTd1 and Ethyl Formate Tolerance in Cryptolestes ferrugineus

ZHANG Qi(), CHEN ErHu(), SUN DeHong, TANG PeiAn()   

  1. College of Food Science and Engineering/Collaborative Innovation Center for Modern Grain Circulation and Safety of Jiangsu Province/Key Laboratory of Grains and Oils Quality Control and Processing of Jiangsu Province, Nanjing University of Finance and Economics, Nanjing 210023
  • Received:2025-11-19 Accepted:2025-12-29 Online:2026-03-01 Published:2026-03-06
  • Contact: CHEN ErHu, TANG PeiAn

Abstract:

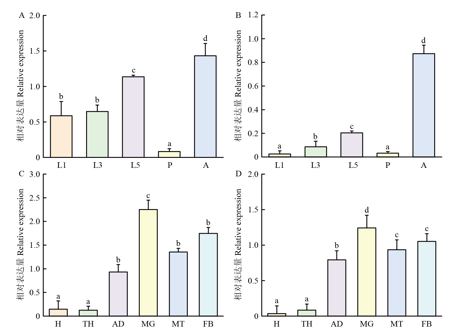
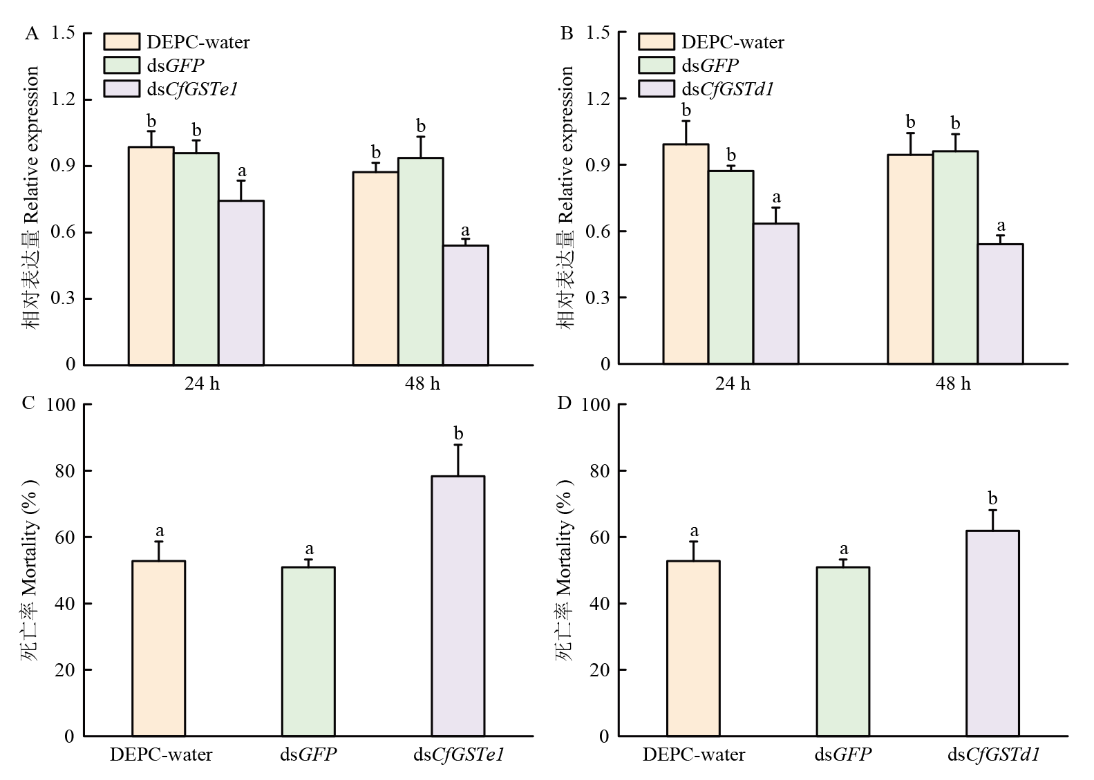
【Background】 Glutathione S-transferases (GSTs) are key detoxification enzymes in insects and play important roles in the development of insect tolerance to chemical insecticides. Ethyl formate (EF), characterized by high efficacy, low toxicity, and low residue, is regarded as a promising green fumigant for stored-grain pest control.【Objective】 To elucidate the molecular mechanisms underlying pest tolerance to EF, this study focuses on the important stored-grain pest Cryolestes ferrugineus, aiming to analyze the relationship between GST genes (CfGSTe1 and CfGSTd) and EF tolerance.【Method】 The present study conducted bioassays to determine the susceptibility of C. ferrugineus with three different levels of phosphine resistance to EF. Through synergistic assays with diethyl maleate (DEM), the potential enhancement of EF fumigation efficacy was evaluated, and the effects of EF treatment on GST activity were analyzed. According to the previous transcriptome data of C. ferrugineus, two key GST genes (CfGSTe1 and CfGSTd1) were identified and subjected to amino acid sequence and phylogenetic analyses. The temporal and spatial expression patterns of these two genes, as well as their transcriptional responses to EF fumigation stress, were further analyzed by using real-time quantitative PCR (RT-qPCR). Finally, the effects of CfGSTe1 and CfGSTd1 on EF tolerance were analyzed by individually silencing these genes using RNA interference (RNAi) technology.【Result】 Bioassay results showed that C. ferrugineus with varying levels of phosphine resistance exhibited no significant differences in sensitivity to EF, confirming the absence of cross-resistance between the two fumigants. The synergist DEM significantly enhanced the fumigant toxicity of EF, and the GST activity in insects was markedly increased under EF stress, suggesting that GSTs play an important role in the detoxification metabolism of EF. Sequence and phylogenetic analyses indicated that CfGSTe1 and CfGSTd1 encode 216 and 215 amino acids, respectively, both containing conserved GST catalytic sites and belonging to the Epsilon and Delta families. The RT-qPCR results indicated that both genes were highly expressed at the adult stage, primarily in the midgut, fat body, and Malpighian tubules, and could be significantly induced by EF exposure. After effectively silencing CfGSTe1 and CfGSTd1 via RNAi, the tolerance of C. ferrugineus to EF was significantly reduced, as evidenced by markedly increased adult mortality following fumigation.【Conclusion】 The CfGSTe1 and CfGSTd1 may play important roles in the detoxification metabolism of EF in C. ferrugineus, suggesting a close association with insect tolerance to this fumigant.

Key words: Cryptolestes ferrugineus, ethyl formate (EF), glutathione S-transferase (GST), RNA interference (RNAi), RT-qPCR

Table 1

Phosphine sensitivity in different C. ferrugineus geographical populations"

种群Population 经纬度<BOLD>L</BOLD>ongitude and latitude 采集时间Collection time 抗性倍数Resistance ratio 抗性水平Resistance level
SH 31.25° N, 121.46° E 2021-06 1.4 低抗Low resistance
ST 28.72° N, 112.81° E 2021-08 14.0 中抗Moderate resistance
XY 28.62° N, 112.94° E 2021-08 45.8 高抗High resistance

Table 2

Primer sequences used for RT-qPCR in this study"

引物名称Primer name 引物序列Primer sequence (5′ to 3′) 决定系数Determination coefficient (R2) 扩增效率Amplification efficiency (%)
CfGSTe1-F TACTGAACGACTACCAACT 1.000 92.38
CfGSTe1-R GCATTTCCTTAATCCATTCG 0.998 101.87
CfGSTd1-F CTTGCTGATTTGGCTTTGG 0.996 92.76
CfGSTd1-R CATTGGCTTCTTCGTAACC 0.999 93.29
RPS13-F ATCCGTAAGCATTTGGAACG 0.996 99.19
RPS13-R AGCCACTAAGGCTGAAGCTG 0.998 102.74
EF1α-F CCAGGCATGGTAGTGACCTT 0.991 94.26
EF1α-R TTGGAGGGTTGTTTTTGGAG 0.993 97.76

Table 3

Primer sequences used for dsRNA synthesis in this study"

引物名称
Primer name
引物序列
Primer sequence (5′ to 3′)
dsCfGSTe1-F ggatcctaatacgactcactataggCATACTGTTCCCACTTT
dsCfGSTe1-R ggatcctaatacgactcactataggCACCAAACTGAAATCTG
dsCfGSTd1-F ggatcctaatacgactcactataggGGAGAACACCTTACACCAGAA
dsCfGSTd1-R ggatcctaatacgactcactataggTTGACCTTAGCGTACCACTT
dsGFP-F ggatcctaatacgactcactataggATGGTGAGCAAGGGCGAGA
dsGFP-R ggatcctaatacgactcactataggTTACTTGTACAGCTCGTCCA

Table 4

Toxicity of ethyl formate against different populations of C. ferrugineus"

种群<BOLD>P</BOLD>opulation LC50(95%置信区间95% CI)(μL·L-1 回归方程Regression equation (y=) 决定系数Determination coefficient (R2)
XY 21.68 (21.05-22.32) 15.47x-15.67 0.990
ST 21.58 (21.01-22.16) 18.55x-19.74 0.992
SH 23.70 (22.68-24.79) 11.24x-10.45 0.998

Fig. 1

Effects of synergist treatment on the mortality of adult C. ferrugineus under ethyl formate fumigation Different lowercases on the bars indicate significant difference among treatments (P<0.05, Tukey’s test). The same as Fig. 5, Fig. 7"

Fig. 2

The activity of GST in C. ferrugineus treated with ethyl formate Independent sample t test was used to analyze the significance of the difference (***: P<0.001). The same as Fig. 6"

Fig. 3

Multiple amino acid sequence alignments of GST from C. ferrugineus and other insects The red box and blue box represent the N-terminal domain and C-terminal domain, respectively; The yellow box marks the glutathione-binding site (G-site); The black box marks the hydrophobic substrate-binding site (H-site)"

Fig. 4

Phylogenetic tree of GST amino acid sequences from C. ferrugineus and other insects"

Fig. 5

Spatiotemporal expression patterns of CfGSTe1 and CfGSTd1"

Fig. 6

The change of relative expression levels of CfGSTe1 and CfGSTd1 after ethyl formate treatment"

Fig. 7

Silencing efficiency of CfGSTe1 and CfGSTd1 and the changes in insecticide sensitivity following gene silencing"

[1]
胡丽华, 郭敏, 张景虎, 任娜. 储粮害虫检测新技术及应用现状. 农业工程学报, 2007, 23(11): 286-290.
HU L H, GUO M, ZHANG J H, REN N. New detection technology and application status of stored-grain insects. Transactions of the Chinese Society of Agricultural Engineering, 2007, 23(11): 286-290. (in Chinese)
[2]
王效国, 宋瑞成. 浅谈锈赤扁谷盗的习性与防治. 中国粮食经济, 2009(7): 40-41.
WANG X G, SONG R C. Brief discussion on the habits and control of Cryptolestes ferrugineus. China Grain Economy, 2009(7): 40-41. (in Chinese)
[3]
WAONGO A, BA N M, DABIRÉ-BINSO L C, SANON A. Diversity and community structure of insect pests developing in stored sorghum in the Northern-Sudan ecological zone of Burkina Faso. Journal of Stored Products Research, 2015, 63: 6-14.

doi: 10.1016/j.jspr.2015.05.002
[4]
AULICKY R, STEJSKAL V, FRYDOVA B. Field validation of phosphine efficacy on the first recorded resistant strains of Sitophilus granarius and Tribolium castaneum from the Czech Republic. Journal of Stored Products Research, 2019, 81: 107-113.

doi: 10.1016/j.jspr.2019.02.003
[5]
KIM K, KIM C, YOO J, KIM J R, KIM Y H, LEE S E. Phosphine gas in the dark induces severe phytotoxicity in Arabidopsis thaliana by increasing a hypoxia stress response and disrupting the energy metabolism: Transcriptomic approaches. Journal of Hazardous Materials, 2023, 443: 130141.

doi: 10.1016/j.jhazmat.2022.130141
[6]
GAUTAM S G, OPIT G P, KONEMANN C, SHAKYA K, HOSODA E. Phosphine resistance in saw-toothed grain beetle, Oryzaephilus surinamensis in the United States. Journal of Stored Products Research, 2020, 89: 101690.

doi: 10.1016/j.jspr.2020.101690
[7]
唐黎标. 储粮害虫防治现状与问题研讨. 粮食问题研究, 2018(4): 43-45.
TANG L B. Current status and issues in the control of stored grain pests. Grain Issues Research, 2018(4): 43-45. (in Chinese)
[8]
TORRE A M, LÓPEZ-MARTÍNEZ G. Anoxia hormesis improves performance and longevity at the expense of fitness in a classic life history trade-off. Science of the Total Environment, 2023, 857: 159629.

doi: 10.1016/j.scitotenv.2022.159629
[9]
WRIGHT E J, REN Y L, HARITOS V. Update on ethyl formate: New toxicity data and application procedure//Proceedings of the Annual International Research Conference on Methyl Bromide Alternatives and Emissions Reductions, 2001: 55-56.
[10]
KAVALLIERATOS N G, NIKA E P, SKOURTI A, NTALLI N, BOUKOUVALA M C, NTALAKA C T, MAGGI F, RAKOTOSAONA R, CESPI M, PERINELLI D R, CANALE A, BONACUCINA G, BENELLI G. Developing a Hazomalania voyronii essential oil nanoemulsion for the eco-friendly management of Tribolium confusum, Tribolium castaneum and Tenebrio molitor larvae and adults on stored wheat. Molecules, 2021, 26(6): 1812.
[11]
DESMARCHELIER J M, JOHNSTON F M, VU L T. Ethyl formate, formic acid and ethanol in air, wheat, barley and sultanas: Analysis of natural levels and fumigant residues. Pesticide Science, 1999, 55: 815-824.

doi: 10.1002/(SICI)1096-9063(199908)55:8&lt;&gt;1.0.CO;2-M
[12]
杨璐, 戴仁怀, 杨洪, 江兆春, 李敏, 杨燕琼. 甲酸乙酯和异硫氰酸甲酯混用对菜豆象的熏蒸活性研究. 山地农业生物学报, 2022, 41(1): 79-83.
YANG L, DAI R H, YANG H, JIANG Z C, LI M, YANG Y Q. Fumigation activity of ethyl formate plus methyl isothiocyanate to Acanthoselies obtectus (Say). Journal of Mountain Agriculture and Biology, 2022, 41(1): 79-83. (in Chinese)
[13]
王诗琦, 汪苏杭, 钟梓春, 吴洪鑫, 何柳燕, 郭玉静, 黄孙滨, 许小霞, 金丰良, 庞锐. 稻飞虱抗药性现状及抗性机制研究进展. 环境昆虫学报, 2025, 47(5): 1341-1353.
WANG S Q, WANG S H, ZHONG Z C, WU H X, HE L Y, GUO Y J, HUANG S B, XU X X, JIN F L, PANG R. Research progress on insecticide resistance status and resistance mechanisms of rice planthoppers. Journal of Environmental Entomology, 2025, 47(5): 1341-1353. (in Chinese)
[14]
刘蔓文. 赤拟谷盗CYP346基因家族介导磷化氢抗性的机理研究[D]. 南京: 南京财经大学, 2019.
LIU M W. Study on the mechanisms of phosphine resistance in Tribolium castaneum (Herbst) based on CYP346 family[D]. Nanjing: Nanjing University of Finance and Economics, 2019. (in Chinese)
[15]
YANG J O, PARK J S, LEE H S, KWON M, KIM G H, KIM J. Identification of a phosphine resistance mechanism in Rhyzopertha dominica based on transcriptome analysis. Journal of Asia-Pacific Entomology, 2018, 21(4): 1450-1456.

doi: 10.1016/j.aspen.2018.11.012
[16]
HUANG Y, LI F F, LIU M W, WANG Y Z, SHEN F, TANG P A. Susceptibility of Tribolium castaneum to phosphine in China and functions of cytochrome P450s in phosphine resistance. Journal of Pest Science, 2019, 92(3): 1239-1248.

doi: 10.1007/s10340-019-01088-7
[17]
高新菊, 沈慧敏. 二斑叶螨对甲氰菊酯的抗性选育及解毒酶活力变化. 昆虫学报, 2011, 54(1): 64-69.
GAO X J, SHEN H M. Resistance selection with fenpropathrin and the change of detoxification enzyme activities in Tetranychus urticae Koch (Acari: Tetranychidae). Acta Entomologica Sinica, 2011, 54(1): 64-69. (in Chinese)
[18]
DATTA J, BANIK S C. Insecticide resistance in the brown planthopper, Nilaparvata lugens (Stål): Mechanisms and status in Asian countries. Journal of the Entomological Research Society, 2021, 23(3): 225-238.
[19]
ENAYATI A A, RANSON H, HEMINGWAY J. Insect glutathione transferases and insecticide resistance. Insect Molecular Biology, 2005, 14(1): 3-8.

doi: 10.1111/j.1365-2583.2004.00529.x pmid: 15663770
[20]
RAUCH N, NAUEN R. Characterization and molecular cloning of a glutathione S-transferase from the whitefly Bemisia tabaci (Hemiptera: Aleyrodidae). Insect Biochemistry and Molecular Biology, 2004, 34(4): 321-329.

doi: 10.1016/j.ibmb.2003.12.001
[21]
VONTAS J G, SMALL G J, HEMINGWAY J. Glutathione S-transferases as antioxidant defence agents confer pyrethroid resistance in Nilaparvata lugens. The Biochemical Journal, 2001, 357(1): 65-72.
[22]
叶侃. 米象磷化氢抗性相关基因的表达分析[D]. 合肥: 合肥工业大学, 2019.
YE K. The expression pattern of genes related to resistance to phosphine of Sitophilus oryzae[D]. Hefei: Hefei University of Technology, 2019. (in Chinese)
[23]
余波, 吴云龙, 王利利, 苗世远, 许安君, 鲁玉杰. 磷化氢与三种防护剂联用对三种主要储粮害虫的防治作用. 应用昆虫学报, 2025, 62(2): 319-326.
YU B, WU Y L, WANG L L, MIAO S Y, XU A J, LU Y J. The effectiveness of phosphine, in combination with three kinds of protective agents, for controlling three major pests of stored grain. Chinese Journal of Applied Entomology, 2025, 62(2): 319-326. (in Chinese)
[24]
KUMAR S, STECHER G, TAMURA K. MEGA7: Molecular evolutionary genetics analysis version 7.0 for bigger datasets. Molecular Biology and Evolution, 2016, 33(7): 1870-1874.

doi: 10.1093/molbev/msw054 pmid: 27004904
[25]
LIVAK K J, SCHMITTGEN T D. Analysis of relative gene expression data using real-time quantitative PCR and the 2-ΔΔCT method. Methods, 2001, 25(4): 402-408.

doi: 10.1006/meth.2001.1262
[26]
RAJENDRAN S. Selection for resistance to phosphine or methyl bromide in Tribolium castaneum (Coleoptera: Tenebrionidae). Bulletin of Entomological Research, 1992, 82(1): 119-124.

doi: 10.1017/S000748530005152X
[27]
HUANG Y, LIAO M, YANG Q, SHI S, XIAO J J, CAO H Q. Knockdown of NADPH-cytochrome P450 reductase and CYP6MS1 increases the susceptibility of Sitophilus zeamais to terpinen-4-ol. Pesticide Biochemistry and Physiology, 2020, 162: 15-22.

doi: 10.1016/j.pestbp.2019.07.008
[28]
OPIT G P, ARTHUR F H, BONJOUR E L, JONES C L, PHILLIPS T W. Efficacy of heat treatment for disinfestation of concrete grain silos. Journal of Economic Entomology, 2011, 104(4): 1415-1422.

pmid: 21882711
[29]
NAYAK M K, DAGLISH G J, PHILLIPS T W, EBERT P R. Resistance to the fumigant phosphine and its management in insect pests of stored products: A global perspective. Annual Review of Entomology, 2020, 65: 333-350.

doi: 10.1146/annurev-ento-011019-025047 pmid: 31610132
[30]
AFFUL E, ELLIOTT B, NAYAK M K, PHILLIPS T W. Phosphine resistance in North American field populations of the lesser grain borer, Rhyzopertha dominica (Coleoptera: Bostrichidae). Journal of Economic Entomology, 2018, 111(1): 463-469.

doi: 10.1093/jee/tox284 pmid: 29182779
[31]
HARITOS V S, DAMCEVSKI K A, DOJCHINOV G. Improved efficacy of ethyl formate against stored grain insects by combination with carbon dioxide in a ‘dynamic’ application. Pest Management Science, 2006, 62(4): 325-333.

doi: 10.1002/ps.v62:4
[32]
REN Y L, NAVARRO H. Ethyl formate for the treatment of invertebrate pests//Control and Management of Pests in Stored Products, Boca Raton: CRC Press, 2024: 410-439.
[33]
DARBY J, WILLIS T, DAMCEVSKI K. Modelling the kinetics of ethyl formate sorption by wheat using batch experiments. Pest Management Science, 2009, 65(9): 982-990.

doi: 10.1002/ps.1783 pmid: 19466692
[34]
XIN N, REN Y L, FORRESTER R I, MING X, MAHON D. Toxicity of ethyl formate to adult Sitophilus oryzae (L.), Tribolium castaneum (Herbst) and Rhyzopertha dominica (F.). Journal of Stored Products Research, 2008, 44(3): 241-246.

doi: 10.1016/j.jspr.2008.02.003
[35]
SHAN C Y, YOU X Y, LI L, DU X, REN Y L, LIU T. Toxicity of ethyl formate to Tribolium castaneum (Herbst) exhibiting different levels of phosphine resistance and its influence on metabolite profiles. Agriculture, 2024, 14: 323.

doi: 10.3390/agriculture14020323
[36]
DAMCEVSKI K A, DOJCHINOV G, WOODMAN J D, HARITOS V S. Efficacy of vaporised ethyl formate/carbon dioxide formulation against stored-grain insects: Effect of fumigant concentration, exposure time and two grain temperatures. Pest Management Science, 2010, 66(4): 432-438.

doi: 10.1002/ps.1895 pmid: 20014158
[37]
TAO F, SI F L, HONG R, HE X, LI X Y, QIAO L, HE Z B, YAN Z T, HE S L, CHEN B. Glutathione S-transferase (GST) genes and their function associated with pyrethroid resistance in the malaria vector Anopheles sinensis. Pest Management Science, 2022, 78(10): 4127-4139.

doi: 10.1002/ps.v78.10
[38]
BOYLAND E, CHASSEAUD L F. The effect of some carbonyl compounds on rat liver glutathione levels. Biochemical Pharmacology, 1970, 19: 1526-1528.

pmid: 5513938
[39]
张芮铭. 甜菜夜蛾对茚虫威的抗性机制及其适合度代价研究[D]. 杨凌: 西北农林科技大学, 2025.
ZHANG R M. Mechanism of resistance to indoxacarb and cost of fitness in Spodoptera exigua[D]. Yangling: Northwest A&F University, 2025. (in Chinese)
[40]
YOU Y C, XIE M, REN N N, CHENG X M, LI J Y, MA X L, ZOU M M, VASSEUR L, GURR G M, YOU M S. Characterization and expression profiling of glutathione S-transferases in the diamondback moth, Plutella xylostella (L.). BMC Genomics, 2015, 16: 152.

doi: 10.1186/s12864-015-1343-5
[41]
胡超. 苹果蠹蛾代谢高效氯氟氰菊酯GSTs基因的鉴定及功能分析[D]. 沈阳: 沈阳农业大学, 2021.
HU C. Identification and functional analysis of lambda-cyhalothrin metabolizing glutathione S-transferase genes in Cydia pomonella[D]. Shenyang: Shenyang Agricultural University, 2021. (in Chinese)
[42]
陈绪虹. 赤拟谷盗抗性相关GSTs基因筛选、功能分析及TcGSTd1差异转录组学分析[D]. 南京: 南京师范大学, 2016.
CHEN X H. Screening and functional analysis of resistance-related GST genes in Tribolium castaneum and differential transcriptomic analysis of TcGSTd1[D]. Nanjing: Nanjing Normal University, 2016. (in Chinese)
[43]
刘茜雅. 烟草甲谷胱甘肽-S-转移酶基因鉴定及其对高温和高效氯氟氰菊酯的响应[D]. 合肥: 安徽农业大学, 2022.
LIU X Y. Identification of glutathione-S-transferases genes responding to high temperature and lambda-cyhalothrin in Lasioderma serricorne[D]. Hefei: Anhui Agricultural University, 2022. (in Chinese)
[44]
YU Q Y, LU C, LI B, FANG S M, ZUO W D, DAI F Y, ZHANG Z, XIANG Z H. Identification, genomic organization and expression pattern of glutathione S-transferase in the silkworm, Bombyx mori. Insect Biochemistry and Molecular Biology, 2008, 38(12): 1158-1164.

pmid: 19280710
[45]
ZHANG Y L, MA X X, HAN Y C, WANG L H, LIU Z W, GUO H F, FANG J C. Transcript-level analysis of detoxification gene mutation-mediated chlorpyrifos resistance in Laodelphax striatellus (Hemiptera: Delphacidae). Journal of Economic Entomology, 2019, 112(3): 1285-1291.

doi: 10.1093/jee/toy411
[46]
刘雯雯, 徐远, 胡连清, 周万海, 席万鹏, 朱文优, 黄奇, 刘雅馨, 罗靓颖, 冯瑞章. 油樟精油对米象和赤拟谷盗的毒力及酶活性影响. 农业工程学报, 2025, 41(7): 308-317.
LIU W W, XU Y, HU L Q, ZHOU W H, XI W P, ZHU W Y, HUANG Q, LIU Y X, LUO L Y, FENG R Z. Biological activity of Camphora longepaniculata essential oil against Sitophilus oryzae and Tribolium castaneum. Transactions of the Chinese Society of Agricultural Engineering, 2025, 41(7): 308-317. (in Chinese)
[47]
RIPOLL-ARISTIZÁBAL D C, PATIÑO-LADINO O J, PRIETO- RODRÍGUEZ J A. Essential oils and phenylpropanoids from Piper: Bioactivity and enzyme inhibition in Sitophilus zeamais and Tribolium castaneum. Journal of Stored Products Research, 2025, 114: 102714.

doi: 10.1016/j.jspr.2025.102714
[48]
YU X, KILLINY N. RNA interference of two glutathione S-transferase genes, Diaphorina citri DcGSTe2 and DcGSTd1, increases the susceptibility of Asian citrus psyllid (Hemiptera: Liviidae) to the pesticides fenpropathrin and thiamethoxam. Pest Management Science, 2018, 74(3): 638-647.

doi: 10.1002/ps.2018.74.issue-3
[49]
YANG X, HE C, XIE W, LIU Y, XIA J X, YANG Z Z, GUO L T, WEN Y, WANG S L, WU Q J, YANG F S, ZHOU X M, ZHANG Y J. Glutathione S-transferases are involved in thiamethoxam resistance in the field whitefly Bemisia tabaci Q (Hemiptera: Aleyrodidae). Pesticide Biochemistry and Physiology, 2016, 134: 73-78.

doi: 10.1016/j.pestbp.2016.04.003
[1] CHEN ErHu, TANG JingJie, HU ShunJie, TANG PeiAn. The Roles of Heat Shock Protein Genes CfHsp70-1 and CfHsp70-2 in Enhancing the High-Temperature Tolerance after Heat Acclimation in Cryptolestes ferrugineus [J]. Scientia Agricultura Sinica, 2025, 58(5): 918-928.
[2] XIAO ZhuoDan, QIAO JiaZheng, GAO YuLan, SHANG ZhangYin, LIU Huai, WANG Jia. Silencing of Cytochrome P450 Genes CYP6CY53 and CYP302A1 in Aphis craccivora Enhances the Sensitivity to Flonicamid [J]. Scientia Agricultura Sinica, 2025, 58(18): 3664-3675.
[3] CHEH ErHu, YUAN GuoQing, CHEN Yan, CHEN MengQiu, SUN ShengYuan, TANG PeiAn. Mitochondrial Protein-Coding Genes Nad5, Nad6 and Atp6 are Involved in Phosphine Resistance of Cryptolestes ferrugineus [J]. Scientia Agricultura Sinica, 2024, 57(9): 1722-1733.
[4] LUO LiDan, CHEN JiaMing, AN Qi, LIU Lei, SUN QinZhe, LIU Huan, WANG SenShan, SONG LiWen. Effects of Extreme High Temperature on Trehalose Content and Trehalose Transporter Gene in Tetranychus truncatus [J]. Scientia Agricultura Sinica, 2024, 57(6): 1091-1101.
[5] ZHAO YiYan, GUO HongFang, LIU WeiMin, ZHAO XiaoMing, ZHANG JianZhen. Effects of Apolipophorin on Ovarian Development and Lipid Deposition in Locusta migratoria [J]. Scientia Agricultura Sinica, 2024, 57(4): 711-720.
[6] YUAN GuoQing, CHEN ErHu, TANG PeiAn. The Mechanisms of Mitochondrial Protein-Coding Genes ND6 and ATP6 in Regulating Cold Tolerance of Cryptolestes ferrugineus [J]. Scientia Agricultura Sinica, 2024, 57(22): 4483-4494.
[7] LI ChuXin, SONG ChenHu, ZHOU JinHuan, LI JiaXin, WANG XinLiang, TIAN XuBin, SONG Zhen. Research on Prevention and Control Technology of Citrus Yellow Vein Clearing Virus Based on VIGS [J]. Scientia Agricultura Sinica, 2024, 57(22): 4473-4482.
[8] WANG Ni, SHI ZheYi, YOU YuanZheng, ZHANG Chao, ZHOU WenWu, ZHOU Ying, ZHU ZengRong. Effects of miRNA on Gene Expression of Sphingolipids Metabolism and Small RNA Analysis of Silencing NlSPT1 and NlSMase4 in Nilaparvata lugens [J]. Scientia Agricultura Sinica, 2024, 57(20): 4022-4034.
[9] ZHANG Ying, YUAN QingYun, REN Fang, HU GuoJun, FAN XuDong, DONG YaFeng. Establishment of RT-qPCR Detection Technology for GINV and Its Spatial and Temporal Distribution in Different Grape Rootstocks [J]. Scientia Agricultura Sinica, 2024, 57(14): 2771-2780.
[10] CHEH ErHu, SHEN DanRong, DU WenWei, MENG HongJie, TANG PeiAn. Cuticle Protein Genes are Involved in Phosphine Resistance of Cryptolestes ferrugineus [J]. Scientia Agricultura Sinica, 2023, 56(9): 1696-1707.
[11] SHAO HongYang, MENG Xiang, ZHANG Tao, CHEN Min. Analysis of Cytochrome P450 Genes in Response to Quercetin and Function of CYP6ZB2 in Hyphantria cunea [J]. Scientia Agricultura Sinica, 2023, 56(7): 1322-1332.
[12] GE TianCheng, YIN Fei, HU QiongBo, PENG ZhengKe, LI ZhenYu. Function of MBF2 Transcriptionally Regulating Glutathione S-transferase Metabolizing Chlorantraniliprole in Plutella xylostella [J]. Scientia Agricultura Sinica, 2023, 56(4): 665-673.
[13] CHEH ErHu, YUAN GuoQing, SUN ShengYuan, TANG PeiAn. The Effect of Environmental Stress on Respiratory Rate and Expression Level of Mitochondrial Protein-Coding Genes in Cryptolestes ferrugineus [J]. Scientia Agricultura Sinica, 2023, 56(24): 4866-4879.
[14] WANG XiaoYang, PENG Zhen, XING AiShuang, ZHAO YingRui, MA XinLi, LIU Fang, DU XiongMing, HE ShouPu. Identification and Expression Analysis of Fuzz Fiber Development Related Long Noncoding RNAs in Gossypium arboreum [J]. Scientia Agricultura Sinica, 2023, 56(23): 4565-4584.
[15] YU YongChao, FAN WenJing, LIU Ming, ZHANG QiangQiang, ZHAO Peng, JIN Rong, WANG Jing, ZHU XiaoYa, TANG ZhongHou. Genome-Wide Association Study of Nitrogen Use Efficient Traits in Sweetpotato Seeding Stage and Screening and Validation of Candidate Genes [J]. Scientia Agricultura Sinica, 2023, 56(18): 3500-3510.
Viewed
Full text


Abstract

Cited

  Shared   
  Discussed   
No Suggested Reading articles found!