Scientia Agricultura Sinica ›› 2026, Vol. 59 ›› Issue (6): 1317-1332.doi: 10.3864/j.issn.0578-1752.2026.06.013

• FOOD SCIENCE AND ENGINEERING • Previous Articles     Next Articles

Extraction Optimization, Structural Characterization, and Anticoagulant Activity of Intestinal Polysaccharides from Yellow-Feathered Chickens

ZHAO QingYao1(), WANG XiaoMing2, XING Tong2,3, LI LingYun2, XU XingLian1, ZHAO Xue1()   

  1. 1 College of Food Science and Technology, Nanjing Agricultural University/National Meat Quality and Safety Control Engineering Technology Research Center, Nanjing 210095
    2 Wen’s Foodstuffs Group Co., Ltd., Yunfu 527400, Guangdong
    3 College of Animal Science and Technology, Nanjing Agricultural University, Nanjing 210095
  • Received:2025-08-24 Accepted:2025-09-30 Online:2026-03-16 Published:2026-03-24
  • Contact: ZHAO Xue

Abstract:

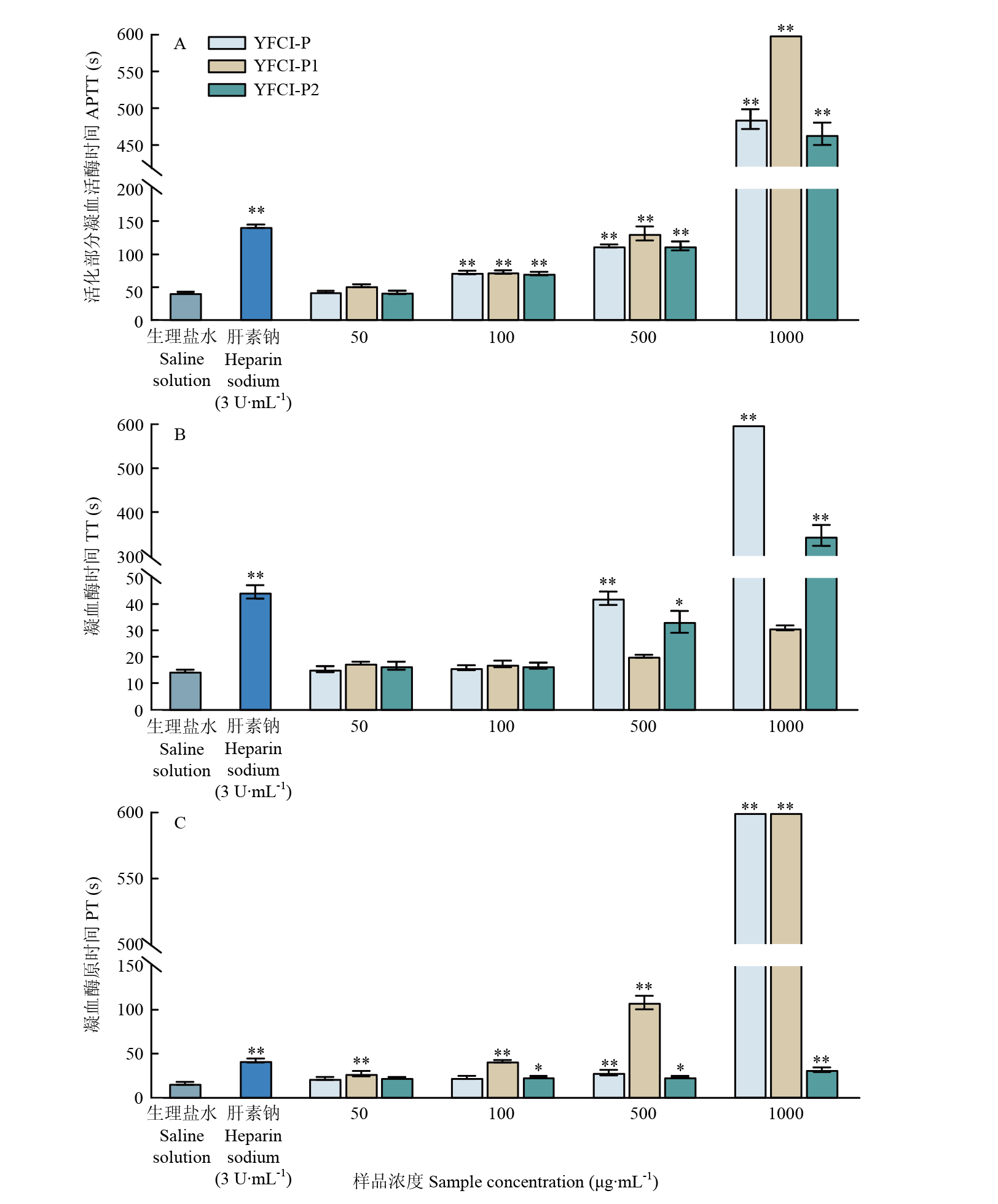
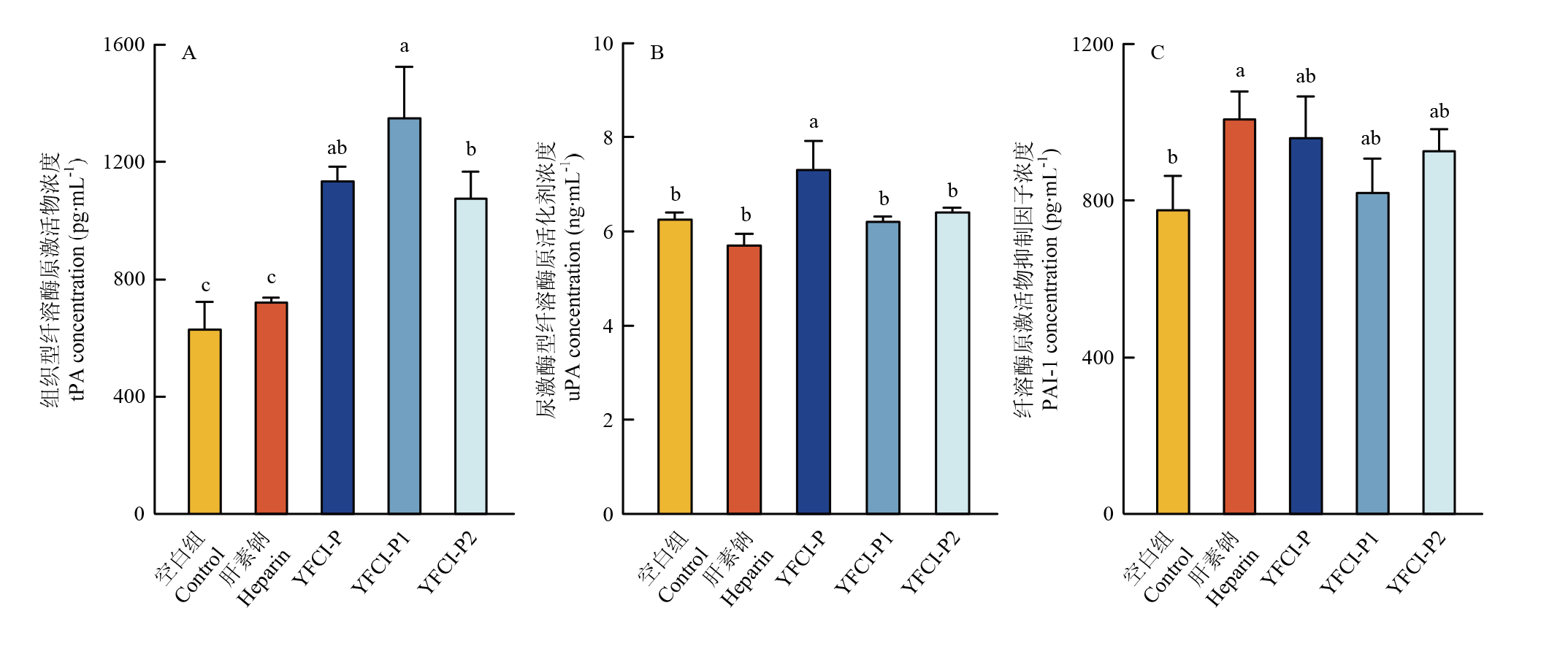
【Objective】 This study aimed to establish an efficient extraction process for polysaccharides from yellow-feathered chicken intestine (YFCI-P), to analyze the structural characteristics of its key components, and to evaluate their in vitro anticoagulant and antithrombotic activities, thereby providing a theoretical basis for the high-value utilization of chicken intestinal by-products. 【Method】Single-factor experiments combined with Response Surface Methodology (RSM) were used to optimize the enzymatic hydrolysis extraction conditions of YFCI-P; The anticoagulant potency of the enzymatic hydrolysate was determined by the sheep plasma method. The polysaccharide components YFCI-P1 and YFCI-P2 were obtained by separation and purification through gel filtration column chromatography. Activated partial thromboplastin time (APTT), thrombin time (TT), and prothrombin time (PT) levels were assessed to evaluate the anticoagulant activity of the polysaccharides, alongside an assessment of in vitro thrombolytic activity. The molecular weight of YFCI-P1 was determined by High-Performance Gel Permeation Chromatography (GPC/HPLC). Fourier Transform Infrared Spectroscopy (FT-IR) and Nuclear Magnetic Resonance (NMR) techniques were applied to analyze its functional group composition and glycosidic linkage patterns. 【Result】The optimum enzymatic hydrolysis conditions were determined as follows: temperature 55 ℃, enzyme-to-substrate ratio 0.9%, time 3 h, sodium chloride concentration 3%, solid-to-liquid ratio 1:1 (g·mL-¹), and pH 8.5. Under these conditions, the anticoagulant potency of the enzymatic hydrolysate reached 5.13 U·mL-1. The predicted value from the response surface model showed good agreement with the experimental value. Two polysaccharide fractions, including YFCI-P1 and YFCI-P2, were obtained through separation and purification by gel filtration chromatography. In vitro anticoagulant activity studies demonstrated that at a concentration of 1 000 μg·mL-1, YFCI-P significantly prolonged APTT to 485.7 s; YFCI-P1 significantly prolonged PT to 600 s; and YFCI-P2 significantly prolonged TT to 367 s, suggesting their anticoagulant effects via the intrinsic and extrinsic pathways, extrinsic and common pathways, and intrinsic and common pathways, respectively. Molecular characterization revealed that YFCI-P1 had a weight-average molecular weight (Mw) of 10.2 kDa and contained uronic acid, acetyl amino, and sulfate groups. Its backbone consisted of repeating disaccharide units composed of glucuronic acid (GlcA) and N-acetylgalactosamine (GalNAc) linked alternately by β-1, 4 and β-1, 3 glycosidic bonds, exhibiting the characteristic features of glycosaminoglycans. Furthermore, YFCI-P, YFCI-P1, and YFCI-P2 promoted tissue plasminogen activator (tPA) generation and demonstrated in vitro thrombolytic activity, with clot dissolution rates of 42.38%, 36.91%, and 19.74% at 1 000 μg·mL-1, respectively. 【Conclusion】An efficient and stable extraction process for YFCI-P was successfully established, and the optimized parameter combination demonstrated promising potential for industrial application. YFCI-P1 was identified as a polysaccharide exhibiting structural features characteristic of glycosaminoglycans. Moreover, YFCI-P, YFCI-P1, and YFCI-P2 all exhibited significant in vitro anticoagulant and thrombolytic activities.

Key words: chicken intestines, polysaccharides, anticoagulant activity, structural characterization, glycosaminoglycan

Fig. 1

Effect of enzymatic hydrolysis conditions on the anticoagulant activity of the hydrolysate Different lowercase letters indicate significant difference (P<0.05). The same as below"

Table 1

Experimental design and results for response surface analysis"

因素
Factor
水平 Level
-1 0 1
酶解温度 Hydrolysis temperature A (℃) 50 55 60
酶底物比 Enzyme-to-substrate ratio B (%) 0.8 0.9 1.0
酶解时间 Hydrolysis time C (h) 2.5 3 3.5
RUN A B C Y (U·mL-1)
1 0 0 0 5.20
2 -1 0 1 4.50
3 1 0 0 5.20
4 -1 -1 0 4.42
5 1 1 0 4.34
6 0 0 0 5.17
7 0 1 1 4.87
8 1 0 1 4.24
9 1 0 -1 4.26
10 0 0 0 5.19
11 0 -1 -1 4.71
12 -1 1 0 4.47
13 0 -1 1 4.65
14 -1 0 -1 4.43
15 0 1 -1 4.73
16 1 -1 0 4.10
17 0 0 0 5.18

Table 2

Analysis of variance table"

方差来源
Source of variance
平方和
Sum of square
自由度
Degree of freedom
均方
Mean square
F
F value
P
P value
模型 Model 2.3600 9 0.2620 1588.05 < 0.0001
A 0.0968 1 0.0968 586.67 < 0.0001
B 0.0351 1 0.0351 212.80 < 0.0001
C 0.0021 1 0.0021 12.80 0.0090
AB 0.0090 1 0.0090 54.70 0.0001
AC 0.0020 1 0.0020 12.27 0.0099
BC 0.0100 1 0.0100 60.61 0.0001
A2 1.6100 1 1.6100 9777.63 <0.0001
B2 0.2355 1 0.2355 1427.30 <0.0001
C2 0.1883 1 0.1883 1141.49 <0.0001
残差 Residual 0.0012 7 0.0002
失拟项 Lack of fit 0.0005 3 0.0002 0.9314 0.5034
误差项 Pure error 0.0007 4 0.0002
总和 Sum 2.3600 16

Fig. 2

Response surface plots for key process factors on the anticoagulant activity of the hydrolysate"

Fig. 3

High-performance gel permeation chromatogram of YFCI-P1"

Table 3

Anticoagulant activity of different samples"

样品组 Sample group YFCI-P YFCI-P1 YFCI-P2
抗凝血效价
Anticoagulant activity (U·mg-1)
7.33±0.37 8.25±0.35 6.95±0.41

Fig. 4

Ultraviolet spectrum scanning spectra of YFCI-P1"

Fig. 5

FTIR spectrum of YFCI-P1"

Fig. 6

1H (A) and 13C (B) NMR spectra of YFCI-P1"

Fig. 7

1H-13C HSQC (A), 1H-1H COSY (B) and NOESY (C) NMR spectra of YFCI-P1"

Fig. 8

Activity of YFCI-P, YFCI-P1 and YFCI-P2 assessed by APTT (A), PT (B), and TT (C) * indicate significant difference compared to the saline control group (P<0.05); ** indicate extremely significant difference (P<0.01)"

Fig. 9

Effects of YFCI-P, YFCI-P1 and YFCI-P2 on plasma concentrations of tPA (A), uPA (B), and PAI-1 (C)"

Table 4

In vitro thrombolytic activity of YFCI-P, YFCI-P1 and YFCI-P2"

样品组 Sample group 浓度 Concentration (μg·mL-1) 血凝块溶解率 Clot lysis rate (%)
生理盐水Saline solution - 10.80±1.90
肝素钠Heparin sodium 8 U·mL-1 10.10±2.17
YFCI-P 1000 42.38±2.30**
500 31.40±1.96**
50 11.04±1.47
YFCI-P1 1000 36.91±1.75**
500 24.27±1.91**
50 10.87±2.00
YFCI-P2 1000 19.74±1.67**
500 11.06±2.49
50 12.13±1.85
[1]
VAN DER MEER J Y, KELLENBACH E, VAN DEN BOS L J. From farm to pharma: An overview of industrial heparin manufacturing methods. Molecules, 2017, 22(6): 1025.

doi: 10.3390/molecules22061025
[2]
毕英豪, 都红芳, 贾爱荣, 王凌英, 张绵松, 崔婷婷, 徐振鲁, 刘雪. 仿刺参肠高抗凝血活性多糖筛选及其结构解析. 食品科学, 2025, 46(6): 47-53.
BI Y H, DU H F, JIA A R, WANG L Y, ZHANG M S, CUI T T, XU Z L, LIU X. Screening and structural analysis of a polysaccharide with high anticoagulant activity from the intestine of Apostichopus japonicus. Food Science, 2025, 46(6): 47-53. (in Chinese)

doi: 10.1111/jfds.1981.46.issue-1
[3]
陈菁, 杜振兴, 陈建平, 贾学静, 刘晓菲, 李瑞, 钟赛意. 虾头类肝素的制备、理化性质及抗凝血活性评价. 食品科学, 2021, 42(11): 71-77.
CHEN J, DU Z X, CHEN J P, JIA X J, LIU X F, LI R, ZHONG S Y. Preparation, physicochemical properties and anticoagulant activity of heparinoid from shrimp head. Food Science, 2021, 42(11): 71-77. (in Chinese)

doi: 10.7506/spkx1002-6630-20200422-282
[4]
刘静雯, 吴宁, 耿丽华, 王晶, 岳洋, 张全斌. 球参多糖的分离纯化及体外抗凝血活性研究. 海洋科学, 2024, 48(9): 34-43.
LIU J W, WU N, GENG L H, WANG J, YUE Y, ZHANG Q B. Isolation, purification, and anticoagulant analysis of polysaccharides from sea cucumber Phyllophorus Proteus. Marine Sciences, 2024, 48(9): 34-43. (in Chinese)
[5]
WARDA M, MAO W J, TOIDA T, LINHARDT R J. Turkey intestine as a commercial source of heparin? Comparative structural studies of intestinal avian and mammalian glycosaminoglycans. Comparative Biochemistry and Physiology Part B: Biochemistry and Molecular Biology, 2003, 134(1): 189-197.

doi: 10.1016/S1096-4959(02)00250-6
[6]
马晟, 罗先群, 黄雪星, 蒋永强, 卿朕, 王翠坚, 欧娜. 黑木耳多糖分离纯化及生物活性研究进展. 微生物学通报, 2025, 52(5): 1967-1986.
MA S, LUO X Q, HUANG X X, JIANG Y Q, QING Z, WANG C J, OU N. Research progress in isolation, purification, and biological activities of Auricularia heimuer polysaccharides. Microbiology China, 2025, 52(5): 1967-1986. (in Chinese)
[7]
孟长虹, 陆益红. 肝素钠及其制剂效价测定方法的改进. 中国生化药物杂志, 2008(5): 337-339.
MENG C H, LU Y H. Improvement in potency determination of heparin sodium and its preparations. Chinese Journal of Biochemical Pharmaceutics, 2008(5): 337-339. (in Chinese)
[8]
张学鑫, 李荣锋, 李航, 李冠天, 毕允晨. 方格星虫(Sipunculus nudus L.)体壁多糖的分离纯化、结构鉴定和抗凝血活性研究. 海洋科学, 2024, 48(12): 83-93.
ZHANG X X, LI R F, LI H, LI G T, BI Y C. Extraction, purification, structural determination, and anti-coagulant activity of polysaccharides from the body wall of Sipunculus nudus L. Marine Sciences, 2024, 48(12): 83-93. (in Chinese)
[9]
王嘉铭, 雷于国, 胡国元, 但冬梅. 香菇多糖纯化前后结构和生物活性的比较. 食品与生物技术学报, 2020, 39(1): 99-106.
WANG J M, LEI Y G, HU G Y, DAN D M. Comparison of the structural characteristics and biological activity of before and after purification polysaccharides of Lentinula edodes. Journal of Food Science and Biotechnology, 2020, 39(1): 99-106. (in Chinese)
[10]
韩其茂, 庞子鑫, 陈璐, 张诗嘉, 张洪财. 夜交藤多糖提取工艺优化、结构表征及抗氧化活性研究. 中华中医药学刊, 2025. https://link.cnki.net/urlid/21.1546.R.20250430.1800.017.
HAN Q M, PANG Z X, CHEN L, ZHANG S J, ZHANG H C. Optimization of extraction process, structural characterization, and antioxidant activity of polysaccharides from Tuber fleeceflower stem. Chinese Archives of Traditional Chinese, 2025. https://link.cnki.net/urlid/21.1546.R.20250430.1800.017. (in Chinese)
[11]
何盛盛, 王水涛, 陈姿亦, 徐周熠, 朱希忱, 徐锦鹏, 高有领. 宽体金线蛭不同工艺提取物的抗凝溶栓活性比较研究. 核农学报, 2023, 37(1): 88-97.

doi: 10.11869/j.issn.1000-8551.2023.01.0088
HE S S, WANG S T, CHEN Z Y, XU Z Y, ZHU X C, XU J P, GAO Y L. Comparison of Whitmania pigra extracts from different processes based on anticoagulant and thrombolytic activity. Journal of Nuclear Agricultural Sciences, 2023, 37(1): 88-97. (in Chinese)
[12]
覃引, 徐文慧, 吴凯, 孟攀, 蔡菊, 林长松. 不同提取方法对黄精多糖理化特性和生物活性的影响. 现代食品科技, 2024, 40(3): 142-152.
QIN Y, XU W H, WU K, MENG P, CAI J, LIN C S. Effects of the physicochemical properties and biological activities of Polygonatum sibiricum polysaccharides extracted by different extraction methods. Modern Food Science & Technology, 2024, 40(3): 142-152. (in Chinese)
[13]
张秋会, 徐俊涛, 李苗云, 赵改名, 高晓平. 2709碱性蛋白酶水解猪肠黏膜制备肝素工艺条件优化研究. 农产品加工, 2018(23): 45-49.
ZHANG Q H, XU J T, LI M Y, ZHAO G M, GAO X P. Hydrolysis conditions optimization of heparin made from hydrolyzed pig intestine mucosa by 2709 alkaline protease. Nongchanpin Jiagong, 2018(23): 45-49. (in Chinese)
[14]
杜振兴, 周斯仪, 钟赛意, 陈观兰, 陈建平, 谌素华, 洪鹏志. 不同海洋生物源肝素的理化性质及抗凝血活性. 食品科学, 2019, 40(17): 134-140.

doi: 10.7506/spkx1002-6630-20180903-027
DU Z X, ZHOU S Y, ZHONG S Y, CHEN G L, CHEN J P, CHEN S H, HONG P Z. Physicochemical properties and anticoagulant activity of heparin from different marine organisms. Food Science, 2019, 40(17): 134-140. (in Chinese)

doi: 10.7506/spkx1002-6630-20180903-027
[15]
任红媛, 何泼, 李红心. 猪小肠粘膜中肝素钠提取与精制工艺研究. 食品研究与开发, 2007, 28(1): 78-81.
REN H Y, HE P, LI H X. Study on technology of herparin extraction and purification from swine intestinal mucosa. Food Research and Development, 2007, 28(1): 78-81. (in Chinese)
[16]
CHEN L H, SONG J L, QIAN Y, ZHAO X, SUO H Y, LI J. Increased preventive effect on colon carcinogenesis by use of resistant starch (RS3) as the carrier for polysaccharide of Larimichthys crocea swimming bladder. International Journal of Molecular Sciences, 2014, 15(1): 817-829.

doi: 10.3390/ijms15010817
[17]
ZHOU R M, CUI M X, WANG Y, ZHANG M, LI F F, LIU K H. Isolation, structure identification and anti-inflammatory activity of a polysaccharide from Phragmites rhizoma. International Journal of Biological Macromolecules, 2020, 161: 810-817.

doi: 10.1016/j.ijbiomac.2020.06.124
[18]
GARNJANAGOONCHORN W, WONGEKALAK L, ENGKAGUL A. Determination of chondroitin sulfate from different sources of cartilage. Chemical Engineering and Processing: Process Intensification, 2007, 46(5): 465-471.

doi: 10.1016/j.cep.2006.05.019
[19]
周斯仪, 钟赛意, 苏伟明, 杜振兴, 陈建平, 洪鹏志, 章超桦. 鱼鳔类肝素的分离纯化与结构鉴定. 食品科学, 2019, 40(15): 84-91.

doi: 10.7506/spkx1002-6630-20180728-351
ZHOU S Y, ZHONG S Y, SU W M, DU Z X, CHEN J P, HONG P Z, ZHANG C H. Isolation, purification and structural identification of heparinoids from fish swim bladder. Food Science, 2019, 40(15): 84-91. (in Chinese)

doi: 10.7506/spkx1002-6630-20180728-351
[20]
左格格, 钟赛意, 陈菁, 徐敏凤, 陈建平, 李瑞, 刘晓菲, 宋兵兵, 贾学静. 罗非鱼加工副产物不同部位硫酸软骨素的制备、理化性质及结构表征. 食品科学, 2022, 43(24): 67-73.
ZUO G G, ZHONG S Y, CHEN J, XU M F, CHEN J P, LI R, LIU X F, SONG B B, JIA X J. Preparation, physicochemical properties and structural characterization of chondroitin sulfate from tilapia processing by-products. Food Science, 2022, 43(24): 67-73. (in Chinese)

doi: 10.7506/spkx1002-6630-20211013-119
[21]
SILVA M B, DE LOURDES DE SOUSA PINTO L, MEDEIROS L H, SOUZA A A, CHAVANTE S F, FILGUEIRA L G A, CAMARA R B G, SASSAKI G L, ROCHA H A O, ANDRADE G P V. Chondroitin sulfate from Oreochromis niloticus waste reduces leukocyte influx in an acute peritonitis model. Molecules, 2023, 28(7): 3082.

doi: 10.3390/molecules28073082
[22]
DONG F K, QUAN X G, WANG Q B, LIU Z M, CUI T, WANG W J, TANG D M, ZHANG R M, ZHANG C, WANG H Y, REN Q. Corrigendum to “Purification, structural characterization, and anticoagulant activity evaluation of chondroitin sulfate from codfish (Gadus macrocephalus) bones”. International Journal of Biological Macromolecules, 2024, 267: 131301.

doi: 10.1016/j.ijbiomac.2024.131301
[23]
USTYUZHANINA N E, BILAN M I, DMITRENOK A S, BORODINA E Y, STONIK V A, NIFANTIEV N E, USOV A I. A highly regular fucosylated chondroitin sulfate from the sea cucumber Massinium magnum: Structure and effects on coagulation. Carbohydrate Polymers, 2017, 167: 20-26.

doi: 10.1016/j.carbpol.2017.02.101
[24]
HU S W, ZHU H L, CHEN S C, WAN X F, LIU Y S, REN Z C, GAO S. Structural characterization and effects on insulin resistance of a novel chondroitin sulfate from Halaelurus burgeri skin. Marine Drugs, 2023, 21(4): 221.

doi: 10.3390/md21040221
[25]
WEI L, XU Y Y, DU M, FAN Y, ZOU R Y, XU X Y, ZHANG Q D, ZHANG Y Z, WANG W S, LI F C. A novel 4-O-endosulfatase with high potential for the structure-function studies of chondroitin sulfate/dermatan sulfate. Carbohydrate Polymers, 2023, 305: 120508.

doi: 10.1016/j.carbpol.2022.120508
[26]
VESSELLA G, VÁZQUEZ J A, VALCÁRCEL J, LAGARTERA L, MONTERREY D T, BASTIDA A, GARCÍA-JUNCEDA E, BEDINI E, FERNÁNDEZ-MAYORALAS A, REVUELTA J. Deciphering structural determinants in chondroitin sulfate binding to FGF-2: Paving the way to enhanced predictability of their biological functions. Polymers, 2021, 13(2): 313.

doi: 10.3390/polym13020313
[27]
WANG K Y, WANG W F, ZHANG R S, LIU Y, HOU C L, GUO Y J, ZHANG C H. Preparation of low molecular weight chondroitin sulfate from different sources by H2O2/ascorbic acid degradation and its degradation mechanism. Food Chemistry, 2024, 434: 137392.

doi: 10.1016/j.foodchem.2023.137392
[28]
YANG K R, TSAI M F, SHIEH C J, ARAKAWA O, DONG C D, HUANG C Y, KUO C H. Ultrasonic-assisted extraction and structural characterization of chondroitin sulfate derived from jumbo squid cartilage. Foods, 2021, 10(10): 2363.

doi: 10.3390/foods10102363
[29]
刘雪, 任晨瑜, 刘新, 张绵松, 白新峰, 王令书, 崔婷婷, 史亚萍, 刘昌衡, 贾爱荣. 羊栖菜褐藻糖胶寡糖组分分析及抗凝血活性. 食品科学, 2022, 43(12): 260-266.
LIU X, REN C Y, LIU X, ZHANG M S, BAI X F, WANG L S, CUI T T, SHI Y P, LIU C H, JIA A R. Structural characterization and anticoagulant activity of oligosaccharides derived from Sargassum fusiforme fucoidan. Food Science, 2022, 43(12): 260-266. (in Chinese)

doi: 10.1111/jfds.1978.43.issue-1
[30]
LIANG P, BI T, ZHOU Y N, WANG C M, MA Y N, XU H P, SHEN H P, REN W, YANG S J. Carbonized Platycladus orientalis derived carbon dots accelerate hemostasis through activation of platelets and coagulation pathways. Small, 2023, 19(49): e2303498.
[31]
魏巍, 李香甜, 戚文超. 芪蛭消栓汤治疗急性脑梗死的临床疗效及对纤溶系统和血液流变学的影响. 中西医结合心脑血管病杂志, 2019, 17(6): 823-826.
WEI W, LI X T, QI W C. The influence of Qizhi Xiaoshuan decoction on fibrinolysis system and hemorheology in patients with acute cerebral infarction. Chinese Journal of Integrative Medicine on Cardio/Cerebrovascular Disease, 2019, 17(6): 823-826. (in Chinese)
[32]
董新玉, 米锐, 王馥仪, 李海漫, 李莹, 陈碧漪, 赵前程. 海参多糖的结构、健康功效及作用机制的研究进展. 食品工业科技, 2025, 46(8): 23-32.
DONG X Y, MI R, WANG F Y, LI H M, LI Y, CHEN B Y, ZHAO Q C. Research progress of sea cucumber polysaccharides on the structure, health efficacy and mechanism. Science and Technology of Food Industry, 2025, 46(8): 23-32. (in Chinese)
[33]
刘梓栋, 符洁雯, 时响, 张雪冬, 刘永宏, 袁清霞, 赵龙岩. 海洋棘皮动物多糖新药挖掘进展: 分离制备、结构解析及药理活性. 药学学报, 2025, 60(7): 2106-2121.
LIU Z D, FU J W, SHI X, ZHANG X D, LIU Y H, YUAN Q X, ZHAO L Y. Advances in novel drug discovery from marine echinoderm polysaccharides: Isolation and preparation, structural elucidation, and pharmacological activity. Acta Pharmaceutica Sinica, 2025, 60(7): 2106-2121. (in Chinese)
[34]
谢峻彬, 朱新婷, 林伦洲, 田美玲, 江新辉, 江敏, 方婷. 不同提取工艺对鲍鱼内脏粗多糖抗氧化活性的影响. 现代食品, 2025(1): 67-72.
XIE J B, ZHU X T, LIN L Z, TIAN M L, JIANG X H, JIANG M, FANG T. Effect of different extraction processes on the antioxidant activity of crude polysaccharides in abalone viscera. Modern Food, 2025(1): 67-72. (in Chinese)
[35]
HOGWOOD J, MULLOY B, LEVER R, GRAY E, PAGE C P. Pharmacology of heparin and related drugs: An update. Pharmacological Reviews, 2023, 75(2): 328-379.

doi: 10.1124/pharmrev.122.000684 pmid: 36792365
[36]
GONZALES J N, KIM K M, ZEMSKOVA M A, RAFIKOV R, HEEKE B, VARN M N, BLACK S, KENNEDY T P, VERIN A D, ZEMSKOV E A. Low anticoagulant heparin blocks thrombin-induced endothelial permeability in a PAR-dependent manner. Vascular Pharmacology, 2014, 62(2): 63-71.

doi: 10.1016/j.vph.2014.01.005 pmid: 24469066
[37]
AREPALLY G M. Heparin-induced thrombocytopenia. Blood, 2017, 129(21): 2864-2872.

doi: 10.1182/blood-2016-11-709873 pmid: 28416511
[38]
RICARD-BLUM S, PEREZ S. Glycosaminoglycan interaction networks and databases. Current Opinion in Structural Biology, 2022, 74: 102355.

doi: 10.1016/j.sbi.2022.102355
[39]
杨艺, 姜宝杰, 王震, 李利, 王鑫, 孙纪录, 邵娟娟. 海洋动物多糖的生物活性及其应用研究进展. 食品工业科技, 2024, 45(16): 418-424.
YANG Y, JIANG B J, WANG Z, LI L, WANG X, SUN J L, SHAO J J. Research progress on biological activity and application of marine animal polysaccharides. Science and Technology of Food Industry, 2024, 45(16): 418-424. (in Chinese)
[1] KONG CaiLin, XU YinHu, HUANG Jie, FENG Lin, YAN XinYi, TAO YongSheng. Apparent Matrix Effect of Yeast Polysaccharides from S. cerevisiae on the Hydrolysis of Wine Fruity Esters [J]. Scientia Agricultura Sinica, 2023, 56(6): 1168-1176.
[2] XU Qian, WANG Han, MA Sai, HU QiuHui, MA Ning, SU AnXiang, LI Chen, MA GaoXing. Inhibition and Interaction of Pleurotus eryngii Polysaccharide and Its Digestion Products on Starch Digestive Enzymes [J]. Scientia Agricultura Sinica, 2023, 56(2): 357-367.
[3] WANG XuanXuan,LIU ChunYu,XIE BeiYu,ZHANG ShuShu,WANG DanYang,ZHU ZhenYuan. Extraction Technology, Preliminary Structure and α-glucosidase Inhibition of Polysaccharide with Alkaline-Extracted from Sugarcane Peel [J]. Scientia Agricultura Sinica, 2021, 54(12): 2653-2665.
[4] GUAN LiJun,XUE Yun,DING WenWen,ZHAO ZhanQin. Advances in Mechanisms of Biosynthesis and Regulation of Pasteurella multocida Capsule [J]. Scientia Agricultura Sinica, 2020, 53(3): 658-668.
[5] LI Jie,JIA XuChao,ZHANG RuiFen,LIU Lei,CHI JianWei,HUANG Fei,DONG LiHong,ZHANG MingWei. Isolation, Structural Characterization and Antioxidant Activity of Black Sesame Melanin [J]. Scientia Agricultura Sinica, 2020, 53(12): 2477-2492.
[6] ZHANG ZhongXiao, WANG HongYan, WANG KaiYun, WANG Dong, JIANG LiLi. Induction Effect of Sharp Eyespot of Wheat and the Effect of Wheat Growth After Ganoderma lucidum Polysaccharides (GLP) Seed Dressing [J]. Scientia Agricultura Sinica, 2018, 51(1): 96-104.
[7] JIA Feng, GUO YuRong, YANG Xi, LIU Dong, LI Jie. Isolation and Purification of Polysaccharide from Fermented Apple Pomace and Its Relationship with Processing Characteristics [J]. Scientia Agricultura Sinica, 2017, 50(10): 1873-1884.
[8] NING Yu-bo, WANG Hong-yan, QIAO Kang, LIU Xiu-mei, WANG Kai-yun. Induced Resistance by Polysaccharides Isolated from Ganoderma lucidum in Tomato Against Gray Mold [J]. Scientia Agricultura Sinica, 2016, 49(11): 2103-2112.
[9] GE Hong-juan, LONG Gui-you, DAI Su-ming, LI Da-zhi, LI Na, DENG Zi-niu. The Influence of ‘Bingtang’ Sweet Orange or Citron C-05 on the Growth Characteristics of Xanthomonas axonopodis pv. citri [J]. Scientia Agricultura Sinica, 2015, 48(7): 1383-1391.
[10] ZHANG Peng-Fei, SONG Yu-Long, ZHANG Gai-Sheng, ZHAO Xin-Liang, BA Qing-Song, LIU Hong-Zhan, ZHU Wan-Wan, LI Zhi-Kuan, WANG Jun-Wei, NIU Na. Relationship Between Microspore Abortion of CMS Lines Associated with Nutrient Metabolism Disorder in Tapetal of Anther in Wheat (Triticum aestivum L.) [J]. Scientia Agricultura Sinica, 2014, 47(9): 1670-1680.
[11] CHEN Jun-Chen, WENG Min-Jie, LAI Pu-Fu, LI Yi-Bin, ZHOU Xue-Hua, SHEN Heng-Sheng. Distribution of Stropharia rugoso–annulata Polysaccharides Molecular Weight and Component Sugar [J]. Scientia Agricultura Sinica, 2011, 44(10): 2109-2117.
[12] WANG Li-xin,WANG Sen,GAO Ai-ling
.

Study on the Composition and the Structure of Polysaccharide of Almond Gum

[J]. Scientia Agricultura Sinica, 2010, 43(19): 4081-4087 .
[13] LIU Jia-you,YU Min,LIU Li-ping,XIAO Hong-dong. Differences of Cell Wall Polysaccharides in Border Cells and Root Apices of Pea (Pisum sativum) Under Aluminium Stress
[J]. Scientia Agricultura Sinica, 2009, 42(6): 1963-1971 .
[14] . Effects of Traditional Chinese Medicine Compound Polysaccharides on Anti-Oxidation Function of Chicks
[J]. Scientia Agricultura Sinica, 2009, 42(2): 706-713 .
Viewed
Full text


Abstract

Cited

  Shared   
  Discussed   
No Suggested Reading articles found!