





中国农业科学 ›› 2025, Vol. 58 ›› Issue (20): 4231-4245.doi: 10.3864/j.issn.0578-1752.2025.20.015
所属专题: 专刊——盐碱地智慧监测与生态化利用
李明珠1,2(
), 田荣荣1,2, 李然1, 王淑娟1,2, 王伟妮3, 王婧4,5, 刘俊梅3, 刘嘉1,2,6, 李玉义4,5, 徐立珍1,2,6, 李彦1,2, 赵永敢1,2,6(
)
收稿日期:2025-08-25
接受日期:2025-09-30
出版日期:2025-10-16
发布日期:2025-10-14
通信作者:
联系方式:
李明珠,E-mail:516097813@qq.com。
基金资助:
LI MingZhu1,2(
), TIAN RongRong1,2, LI Ran1, WANG ShuJuan1,2, WANG WeiNi3, WANG Jing4,5, LIU JunMei3, LIU Jia1,2,6, LI YuYi4,5, XU LiZhen1,2,6, LI Yan1,2, ZHAO YongGan1,2,6(
)
Received:2025-08-25
Accepted:2025-09-30
Published:2025-10-16
Online:2025-10-14
摘要:
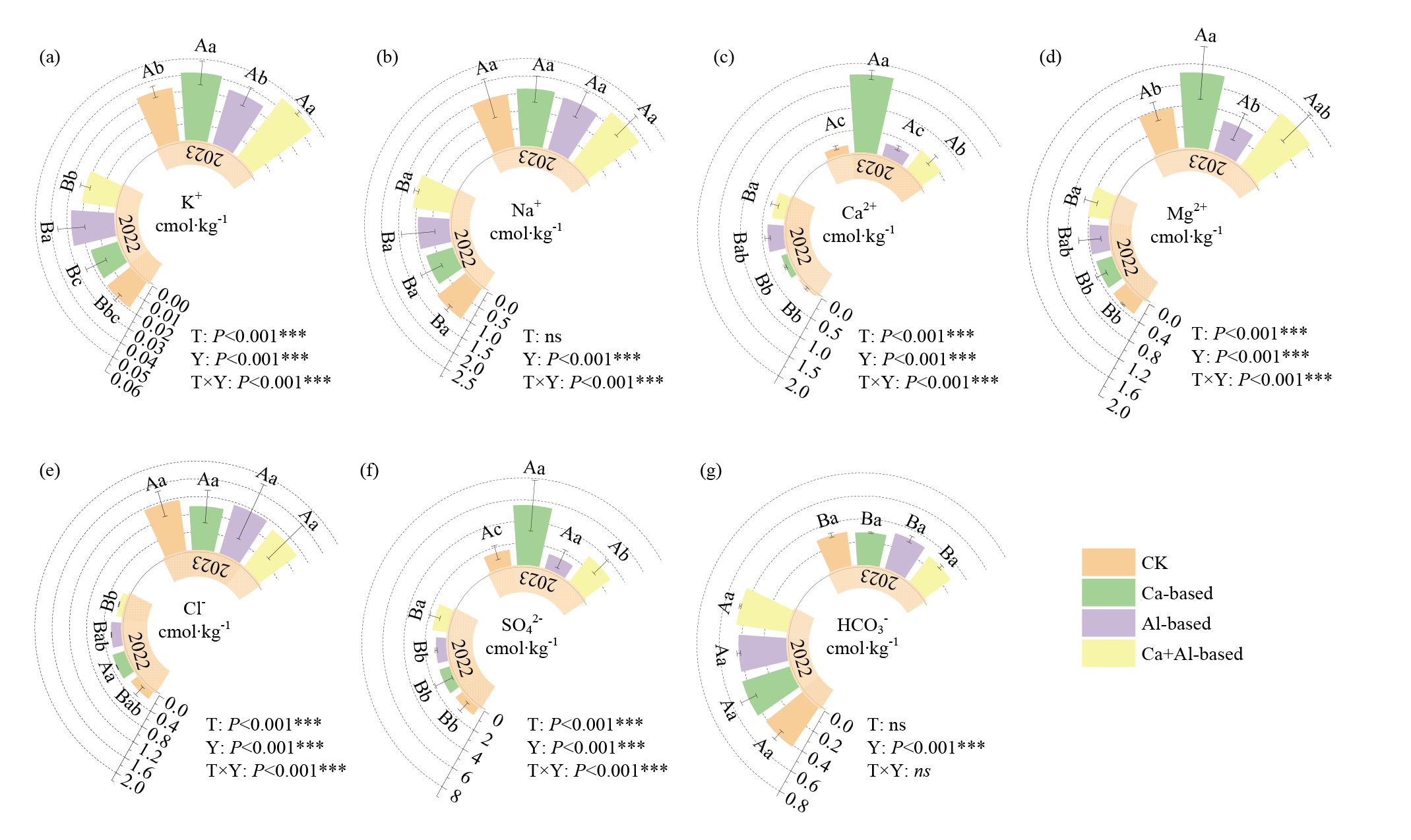
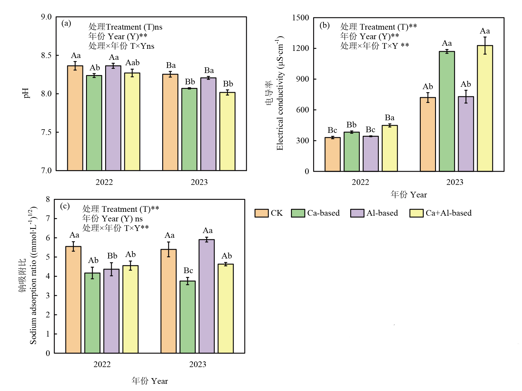
【目的】探究钙/铝基改良剂对内蒙古河套灌区盐碱土质量和向日葵产量的影响,为该区盐碱地综合治理提供理论依据和技术支撑。【方法】在内蒙古鄂尔多斯市开展两年(2022—2023年)田间小区定位试验,设置对照(CK)及钙基(Ca-based)、铝基(Al-based)和钙铝复合(Ca+Al-based)3种改良剂处理,系统分析收获期0—20 cm土层盐碱指标、养分含量及向日葵农艺性状与籽粒产量;采用主成分分析法构建土壤质量指数(SQI),并结合结构方程模型解析改良剂对SQI和向日葵产量的影响路径。【结果】与CK相比,3种改良剂均能提高SQI和向日葵产量。其中,Ca+Al-based处理在降低土壤pH值(0.09—0.24单位)、钠吸附比(14.3%—24.9%)及提高土壤速效磷(72.7%—147.0%)、硝态氮(0.6%—89.6%)等方面的效果最优,其SQI和产量也较CK显著提高了51.0%—58.0%和30.0%—51.4%。而Ca-based处理的效果次之,其SQI提高了36.3%—51.0%,产量仅在2022年提高了29.3%。值得注意的是,含钙处理(Ca+Al-based和Ca-based)虽使土壤电导率较CK升高了16.0%—70.4%,但主要源于水溶性Ca2+、Mg2+、SO42-等离子浓度的增加,未对作物产生盐害。结构方程模型表明,改良剂通过直接调控土壤盐碱和养分指标,间接提升SQI和向日葵产量。其中,土壤盐碱障碍消减对向日葵产量的贡献率(79.2%)高于养分的提高对产量的贡献率(20.8%)。【结论】钙铝复合改良剂通过协同增效作用,显著改善盐碱地质量并提高向日葵产量,适于在内蒙古河套灌区及生态条件类似区域的盐碱地上推广应用。
李明珠, 田荣荣, 李然, 王淑娟, 王伟妮, 王婧, 刘俊梅, 刘嘉, 李玉义, 徐立珍, 李彦, 赵永敢. 钙/铝基改良剂对河套灌区盐碱土质量及向日葵产量的影响[J]. 中国农业科学, 2025, 58(20): 4231-4245.
LI MingZhu, TIAN RongRong, LI Ran, WANG ShuJuan, WANG WeiNi, WANG Jing, LIU JunMei, LIU Jia, LI YuYi, XU LiZhen, LI Yan, ZHAO YongGan. Effects of Calcium/Aluminum-Based Amendments on Saline-Alkali Soil Quality and Sunflower Yield in the Hetao Irrigation District[J]. Scientia Agricultura Sinica, 2025, 58(20): 4231-4245.
表1
0—20 cm土层土壤基本理化性质"
| pH | 电导率 EC (μS·cm-1) | 钠吸附比 SAR ((mmol·L-1)1/2) | 水溶性离子 Water-soluble ions (cmol·kg-1) | 养分含量 Nutrient status | ||||||||||
|---|---|---|---|---|---|---|---|---|---|---|---|---|---|---|
| K+ | Na+ | Ca2+ | Mg2+ | Cl- | SO42- | HCO3- | 有机碳SOC (g·kg-1) | 铵态氮NH4+-N (mg·kg-1) | 硝态氮NO3--N (mg·kg-1) | 有效磷 AP (mg·kg-1) | 速效钾 AK (mg·kg-1) | |||
| 8.8 | 541 | 7.2 | <0.1 | 1.5 | 0.5 | 0.4 | 0.4 | 1.1 | 0.6 | 6.6 | 8.1 | 27.1 | 8.0 | 154.3 |
表2
不同类型土壤改良剂的主要元素比例"
| 改良剂 Amendment | 主要元素比例 Proportion of major element (%) | |||||||||||||
|---|---|---|---|---|---|---|---|---|---|---|---|---|---|---|
| Ca | Al | S | C | O | N | P | K | Si | Mg | Fe | Cl | Na | 其他Other | |
| Ca-based | 13.9 | 2.4 | 8.2 | 13.2 | 49.6 | 1.7 | 0.2 | 1.6 | 6.3 | 0.7 | 0.9 | 0.4 | 0.4 | 0.5 |
| Al-based | 4.8 | 5.3 | 8.9 | 10.2 | 51.1 | 1.4 | 0.2 | 6.7 | 8.0 | 0.6 | 1.6 | 0.2 | 0.7 | 0.5 |
| Ca+Al-based | 12.2 | 4.8 | 10.7 | 7.3 | 53.6 | 1.2 | 0.2 | 2.8 | 5.2 | 0.4 | 0.8 | 0.1 | 0.3 | 0.5 |
表3
土壤质量评价指标综合得分系数和权重"
| 指标 Indicators | 综合得分系数 Comprehensive score coefficient | 权重 Weight | ||
|---|---|---|---|---|
| 2022 | 2023 | 2022 | 2023 | |
| pH | 0.208 | 0.256 | 0.063 | 0.072 |
| 电导率EC | 0.212 | 0.253 | 0.065 | 0.072 |
| K+ | 0.189 | 0.255 | 0.057 | 0.072 |
| Na+ | 0.213 | 0.252 | 0.065 | 0.071 |
| Ca2+ | 0.245 | 0.250 | 0.075 | 0.071 |
| Mg2+ | 0.263 | 0.258 | 0.080 | 0.073 |
| Cl- | 0.262 | 0.214 | 0.080 | 0.06 |
| SO42- | 0.210 | 0.276 | 0.064 | 0.078 |
| HCO3- | 0.161 | 0.204 | 0.049 | 0.058 |
| 有机碳SOC | 0.204 | 0.214 | 0.062 | 0.061 |
| 全氮TN | 0.224 | 0.161 | 0.068 | 0.046 |
| 铵态氮NH4+-N | 0.193 | 0.238 | 0.059 | 0.067 |
| 硝态氮NO3--N | 0.252 | 0.251 | 0.077 | 0.071 |
| 有效磷AP | 0.262 | 0.238 | 0.080 | 0.067 |
| 速效钾AK | 0.191 | 0.216 | 0.058 | 0.061 |
表4
2022—2023年改良剂对土壤养分含量的影响"
| 年份 Year | 处理 Treatment | 有机碳 SOC (g·kg-1) | 全氮 TN (g·kg-1) | 铵态氮 NH4+-N (mg·kg-1) | 硝态氮 NO3--N (mg·kg-1) | 速效磷 AP (mg·kg-1) | 速效钾 AK (mg·kg-1) |
|---|---|---|---|---|---|---|---|
| 2022 | CK | 6.79±0.4a | 0.81±0.05a | 8.87±0.77a | 18.0±4.12b | 7.55±0.3b | 160±0.98b |
| Ca-based | 7.24±0.15a | 0.83±0.12a | 6.46±0.63b | 35.3±1.98a | 13.6±0.97a | 246±10.6a | |
| Al-based | 6.93±0.32a | 0.78±0.04a | 7.35±0.69ab | 35.2±2.48a | 7.38±0.53b | 162±1.28b | |
| Ca+Al-based | 7.07±0.34a | 0.76±0.06a | 6.08±0.58b | 34.2±2.23a | 13.0±1.87a | 167±2.49b | |
| 2023 | CK | 6.44±0.18a | 0.73±0.01a | 4.02±0.33a | 69.9±2.73a | 5.49±0.98b | 115±3.27a |
| Ca-based | 6.45±0.15a | 0.80±0.12a | 3.43±0.32a | 39.3±11.81b | 8.57±0.31b | 126±2.45a | |
| Al-based | 6.82±0.43a | 0.76±0.03a | 4.12±0.28a | 67.8±3.54a | 8.14±0.75b | 97.7±2.08b | |
| Ca+Al-based | 6.74±0.23a | 0.80±0.05a | 4.12±0.24a | 70.4±2.19a | 13.6±1.95a | 123±5.33a | |
| 方差分析 ANOVA (P-value) | |||||||
| 处理(改良剂)Treatment (T) | 0.57 | 0.49 | 0.03 | 0.002 | <0.001 | <0.001 | |
| 年份Year (Y) | 0.03 | 0.51 | <0.001 | <0.001 | 0.02 | <0.001 | |
| 处理×年份T×Y | 0.43 | 0.49 | 0.01 | <0.001 | 0.01 | <0.001 | |
表5
2022—2023年改良剂对向日葵农艺性状及籽粒产量的影响"
| 年份 Year | 处理 Treatment | 出苗率 Emergence rate (%) | 株高 Plant height (cm) | 花盘直径 Disk diameter (cm) | 百粒重 Hundred-grain weight (g) | 籽粒产量 Seed yield (kg·hm-2) |
|---|---|---|---|---|---|---|
| 2022 | CK | 76.0±7.1a | 123.3±4.7d | 18.7±1.2b | 14.7±0.2b | 2656.5±217.5b |
| Ca-based | 77.3±1.9a | 220.0±12.6a | 21.3±0.5ab | 17.4±0.6a | 3453.1±288.7a | |
| Al-based | 79.7±2.9a | 197.3±3.3b | 24.3±1.2a | 15.0±0.6b | 3129.8±219.8ab | |
| Ca+Al-based | 84.0±2.8a | 166.7±6.9c | 23.7±1.2a | 17.0±0.4a | 3434.3±296.1a | |
| 2023 | CK | 71.7±13.1b | 205.8±9.5ab | 21.9±1.8a | 15.5±0.9a | 3375.7±329.3b |
| Ca-based | 86.7±12.5a | 217.2±7.3a | 21.7±1.5a | 18.9±0.8a | 4780.1±434.6ab | |
| Al-based | 73.3±2.4b | 223.3±1.8a | 24.3±1.8a | 17.5±1.3a | 4523.2±332.5ab | |
| Ca+Al-based | 85.0±4.1a | 190.7±14.9b | 24.1±0.6a | 18.5±0.3a | 5110.3±630.1a | |
| 方差分析ANOVA (P-value) | ||||||
| 处理(改良剂)Treatment (T) | 0.18 | <0.001 | <0.001 | <0.001 | <0.001 | |
| 年份Year (Y) | 0.98 | <0.001 | <0.001 | <0.001 | <0.001 | |
| 处理×年份T×Y | 0.45 | 0.001 | 0.321 | 0.425 | 0.008 | |
| [1] |
|
| [2] |
刘传孝, 李克升, 耿雨晗, 李全新. 黄河三角洲不同土地利用类型土壤微观结构特征. 农业工程学报, 2020, 36(6): 81-87.
|
|
|
|
| [3] |
乔钲岩, 于淼, 唐玉劼, 石贵山, 刘新宇, 刘晓涵, 王新鼎, 李扬, 王鼐, 陈冰嬬. 粒用高粱幼苗期耐苏打盐碱综合评价与指标鉴选. 中国农业科学, 2025, 58(1): 30-49. doi: 10.3864/j.issn.0578-1752.2025.01.003.
|
|
|
|
| [4] |
高英波, 张慧, 刘开昌, 张华斌, 李源方, 付希强, 薛艳芳, 钱欣, 代红翠, 李宗新. 优化氮素与品种匹配可协同提高盐碱地夏玉米产量和氮肥利用率. 中国农业科学, 2020, 53(21): 4388-4398. doi: 10.3864/j.issn.0578-1752.2020.21.008.
|
|
|
|
| [5] |
国务院. 关于推动盐碱地综合利用的指导意见. (2022-08-16)[2025-09-28].http://www.gov.cn/zhengce/zhengceku/2022-08/16/content_5690897.htm
|
|
|
|
| [6] |
周利颖, 李瑞平, 苗庆丰, 窦旭, 田峰, 于丹丹, 孙晨云. 河套灌区不同掺沙量对重度盐碱土壤水盐运移的影响. 农业工程学报, 2020, 36(10): 116-123.
|
|
|
|
| [7] |
|
| [8] |
|
| [9] |
田荣荣, 张文超, 李烨, 徐立珍, 孙振涛, 李彦, 赵呈刚, 赵永敢, 王淑娟. 燃煤烟气脱硫石膏改良盐碱地技术研究与工程化应用进展. 燃烧科学与技术, 2022, 28(6): 736-748.
|
|
|
|
| [10] |
苗月, 杨帆, 王志春, 邵玺文, 耿艳秋. 酸性物质对苏打盐碱土改良的研究进展. 中国生态农业学报(中英文), 2023, 31(3): 373-384.
|
|
|
|
| [11] |
|
| [12] |
|
| [13] |
范定慷, 王永亮, 张强, 杨治平, 严国辉. 不同含硫物料对盐碱地的改良效果. 山西农业科学, 2017, 45(5): 786-790.
|
|
|
|
| [14] |
司振江, 张忠学, 李芳花, 黄彦. 松嫩平原盐碱土集成治理技术的研究. 灌溉排水学报, 2010, 29(3): 80-84.
|
|
|
|
| [15] |
赵兰坡, 王宇, 马晶, 李春林, 郄瑞卿, 韩兴. 吉林省西部苏打盐碱土改良研究. 土壤通报, 2001, 32(S1): 91-96.
|
|
|
|
| [16] |
李鑫, 张文菊, 邬磊, 任意, 张骏达, 徐明岗. 土壤质量评价指标体系的构建及评价方法. 中国农业科学, 2021, 54(14): 3043-3056. doi: 10.3864/j.issn.0578-1752.2021.14.010.
|
|
|
|
| [17] |
李明珠, 张文超, 王淑娟, 李彦, 赵永敢, 刘娟, 李二珍, 仲生柱. 适宜脱硫石膏施用方式改良河套灌区盐碱土提高向日葵产量. 农业工程学报, 2022, 38(6): 89-95.
|
|
|
|
| [18] |
李彦, 衣怀峰, 赵博, 王淑娟, 禚玉群, 陈昌和, 徐旭常. 燃煤烟气脱硫石膏在新疆盐碱土壤改良中的应用研究. 生态环境学报, 2010, 19(7): 1682-1685.
doi: 10.16258/j.cnki.1674-5906(2010)07-1682-04 |
|
|
|
| [19] |
张菁, 田荣荣, 王淑娟, 李彦, 王伟妮, 刘俊梅, 陈玉琳, 赵永敢. 钙基型土壤改良剂对盐碱土壤改良和向日葵产量的影响. 中国土壤与肥料, 2022(11): 68-76.
|
|
|
|
| [20] |
鲍士旦. 土壤农化分析. 3版. 北京: 中国农业出版社, 2000: 49-56, 178-199.
|
|
|
|
| [21] |
|
| [22] |
|
| [23] |
|
| [24] |
|
| [25] |
王小彬, 闫湘, 李秀英, 蔡典雄, 雷梅. 燃煤烟气脱硫石膏农用的环境安全风险. 中国农业科学, 2018, 51(5): 926-939. doi: 10.3864/j.issn.0578-1752.2018.05.011.
|
|
|
|
| [26] |
田荣荣, 王淑娟, 刘嘉, 徐立珍, 孙振涛, 李彦, 李二珍, 温晓亮, 杨晶, 赵永敢. 根区施用生物炭和脱硫石膏提高盐碱土壤质量及向日葵产量. 农业工程学报, 2024, 40(5): 148-157.
|
|
|
|
| [27] |
|
| [28] |
|
| [29] |
|
| [30] |
|
| [31] |
王宇, 韩兴, 赵兰坡, 马晶. 硫酸铝对苏打盐碱土化学性质及水稻产量的影响. 吉林农业大学学报, 2006, 28(6): 652-655, 659.
|
|
|
|
| [32] |
|
| [33] |
|
| [34] |
|
| [35] |
李杰, 姬景红, 李玉影, 刘双全, 任翠梅, 刘冰, 杨丽, 孙兴荣. 施用改良剂对大庆盐碱土的改良效果研究. 中国土壤与肥料, 2016(2): 50-54.
|
|
|
|
| [36] |
马红燕, 张伟华. 脱硫副产物与腐植酸混合施用对盐碱土速效养分的影响. 内蒙古民族大学学报(自然科学版), 2013, 28(3): 291-295.
|
|
|
|
| [37] |
|
| [38] |
|
| [39] |
|
| [40] |
|
| [41] |
|
| [42] |
|
| [43] |
程镜润, 陈小华, 刘振鸿, 李小平, 付融冰, 陈泉源. 脱硫石膏改良滨海盐碱土的脱盐过程与效果实验研究. 中国环境科学, 2014, 34(6): 1505-1513.
|
|
|
| [1] | 彭廷燊, 陆久焱, 吴美林, 严雨欣, 刘宏周, 南文斌, 秦小健, 李明, 龚俊义, 梁永书. 多年生水稻黄糯2号和长白7号产量相关性状的QTL分析[J]. 中国农业科学, 2026, 59(7): 1361-1379. |
| [2] | 王玉萍, 符质, 孙佳莹, 穆晓萌, 刘慧淋, 郭进云, 宋文菁, 侯雷平, 赵海亮. 苗期施用褪黑素对番茄短期低温胁迫的缓解作用与应用效果评价[J]. 中国农业科学, 2026, 59(7): 1523-1535. |
| [3] | 王佳诺, 陈桂平, 李盼, 王丽萍, 南运有, 何蔚, 樊志龙, 胡发龙, 柴强, 殷文, 赵连豪. 免耕地膜两年覆盖提高绿洲灌区玉米产量的灌浆期光合生理机制[J]. 中国农业科学, 2026, 59(6): 1189-1202. |
| [4] | 周新杰, 任昊, 陈应龙, 张吉旺, 赵斌, 任佰朝, 刘鹏, 王洪章. 过氧化钙对渍涝农田夏玉米根系形态及产量形成的影响[J]. 中国农业科学, 2026, 59(6): 1203-1216. |
| [5] | 何继航, 张擎, 吕相月, 薛吉全, 徐淑兔, 刘建超. 不同保绿型玉米杂交种氮效率评价[J]. 中国农业科学, 2026, 59(6): 1217-1230. |
| [6] | 郭富城, 唐海江, 郝馨怡, 马国林, 杨九菊, 黄霖锋, 田蕾, 王彬, 罗成科. 不同灌溉方式对宁夏盐渍化土壤水盐运移、水稻产量及水分利用效率的影响[J]. 中国农业科学, 2026, 59(4): 750-764. |
| [7] | 郝琨, 陈洪德, 张威, 钟韵, 党美荣, 朱士江, 黄志坤, 金英. 基于柑橘产量、品质及水氮利用的涌泉根灌水氮综合评价[J]. 中国农业科学, 2026, 59(4): 862-873. |
| [8] | 延廷霖, 杜娅丹, 胡笑涛, 王贺, 李晓雁, 王玉明, 牛文全, 谷晓博. 加气滴灌下氮肥有机替代对亏缺灌溉棉花产量和水分利用效率的影响[J]. 中国农业科学, 2026, 59(3): 602-618. |
| [9] | 蔡廷阳, 朱玉鹏, 李瑞东, 吴宗声, 徐一帆, 宋雯雯, 徐彩龙, 吴存祥. 苗期叶损伤对黄淮海夏大豆光合特性、荚果分布及产量形成的影响[J]. 中国农业科学, 2026, 59(2): 292-304. |
| [10] | 张志勇, 谭世超, 熊淑萍, 马新明, 韦一昊, 王小纯. 水氮周年优化对豫北灌区小麦玉米轮作系统产量和氮迁移的影响[J]. 中国农业科学, 2026, 59(2): 336-353. |
| [11] | 吕旭东, 孙世媛, 李亚楠, 刘玉龙, 王艳群, 付鑫, 张佳英, 宁鹏, 彭正萍. 智能机械化分层施肥对麦田根-土养分分布和小麦产量的影响[J]. 中国农业科学, 2026, 59(1): 129-146. |
| [12] | 陆浩, 张明龙, 韩梅, 严清彪, 李正鹏, 殷文, 樊志龙, 胡发龙, 柴强. 绿肥过腹还田协同氮肥减施提高小麦产量和土壤质量[J]. 中国农业科学, 2026, 59(1): 147-160. |
| [13] | 叶美金, 陈家婷, 周界光, 尹丽, 胡欣荣, 兰雨昕, 陈斌, 苏龙兴, 刘家君, 刘天超, 李小雨, 马建. 小麦穗密度主效QTL的鉴定、验证及其遗传效应分析[J]. 中国农业科学, 2026, 59(1): 17-28. |
| [14] | 董桂春, 王子涵, 王树深, 李杰, 霍晓晴, 杨瑞, 周娟, 舒小伟, 李妍, 曹靓婧, 王子瑞, 姚友礼, 黄建晔. 硫包衣缓释肥提升水稻产量及氮肥利用率的技术途径[J]. 中国农业科学, 2026, 59(1): 57-77. |
| [15] | 蒲丽霞, 张佳芮, 叶建萍, 黄秀兰, 樊高琼, 杨洪坤. 二氢赤霉素与秸秆覆盖对旱地小麦分蘖成穗与产量的影响[J]. 中国农业科学, 2025, 58(9): 1735-1748. |
|
||