





中国农业科学 ›› 2025, Vol. 58 ›› Issue (20): 4216-4230.doi: 10.3864/j.issn.0578-1752.2025.20.014
所属专题: 专刊——盐碱地智慧监测与生态化利用
张梦璇1(
), 常芳弟1, 魏禾雅1, 李晓红2, 伍林美2, 张宏媛1,3(
)
收稿日期:2025-07-14
接受日期:2025-09-24
出版日期:2025-10-16
发布日期:2025-10-14
通信作者:
联系方式:
张梦璇,E-mail:zmx_caas@163.com。
基金资助:
ZHANG MengXuan1(
), CHANG FangDi1, WEI HeYa1, LI XiaoHong2, WU LinMei2, ZHANG HongYuan1,3(
)
Received:2025-07-14
Accepted:2025-09-24
Published:2025-10-16
Online:2025-10-14
摘要:
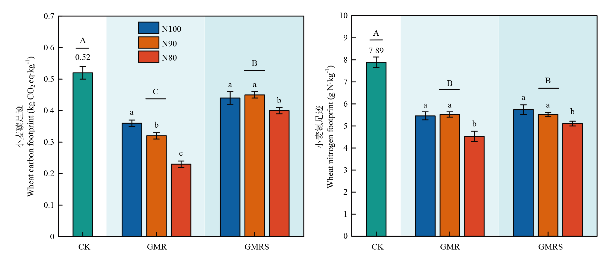
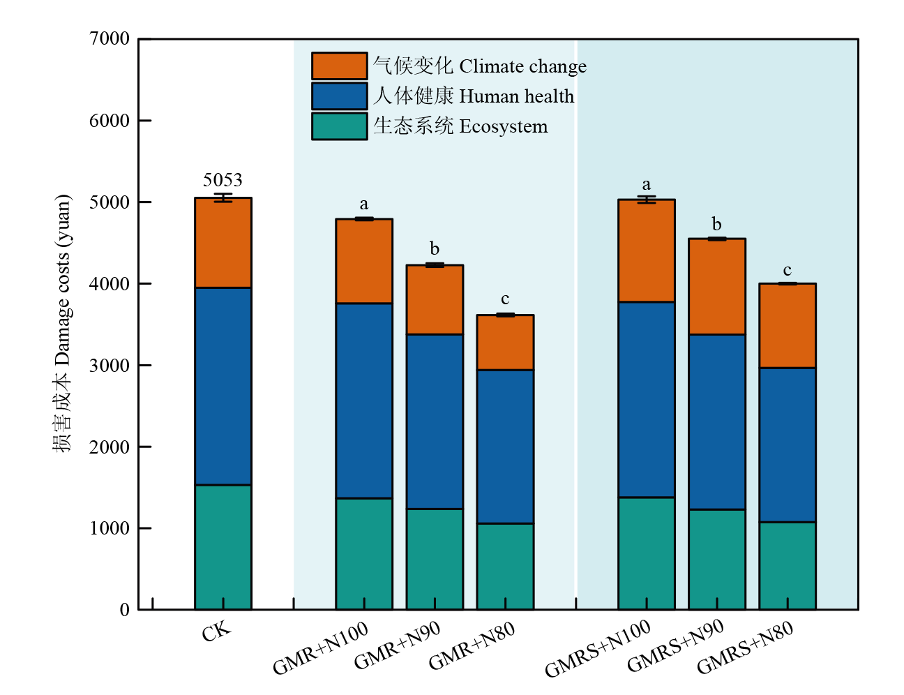
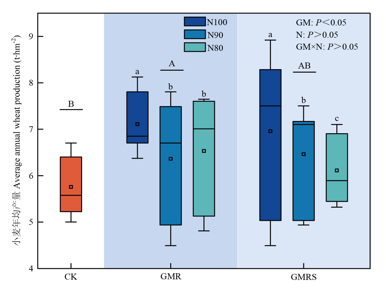
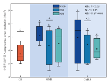
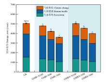
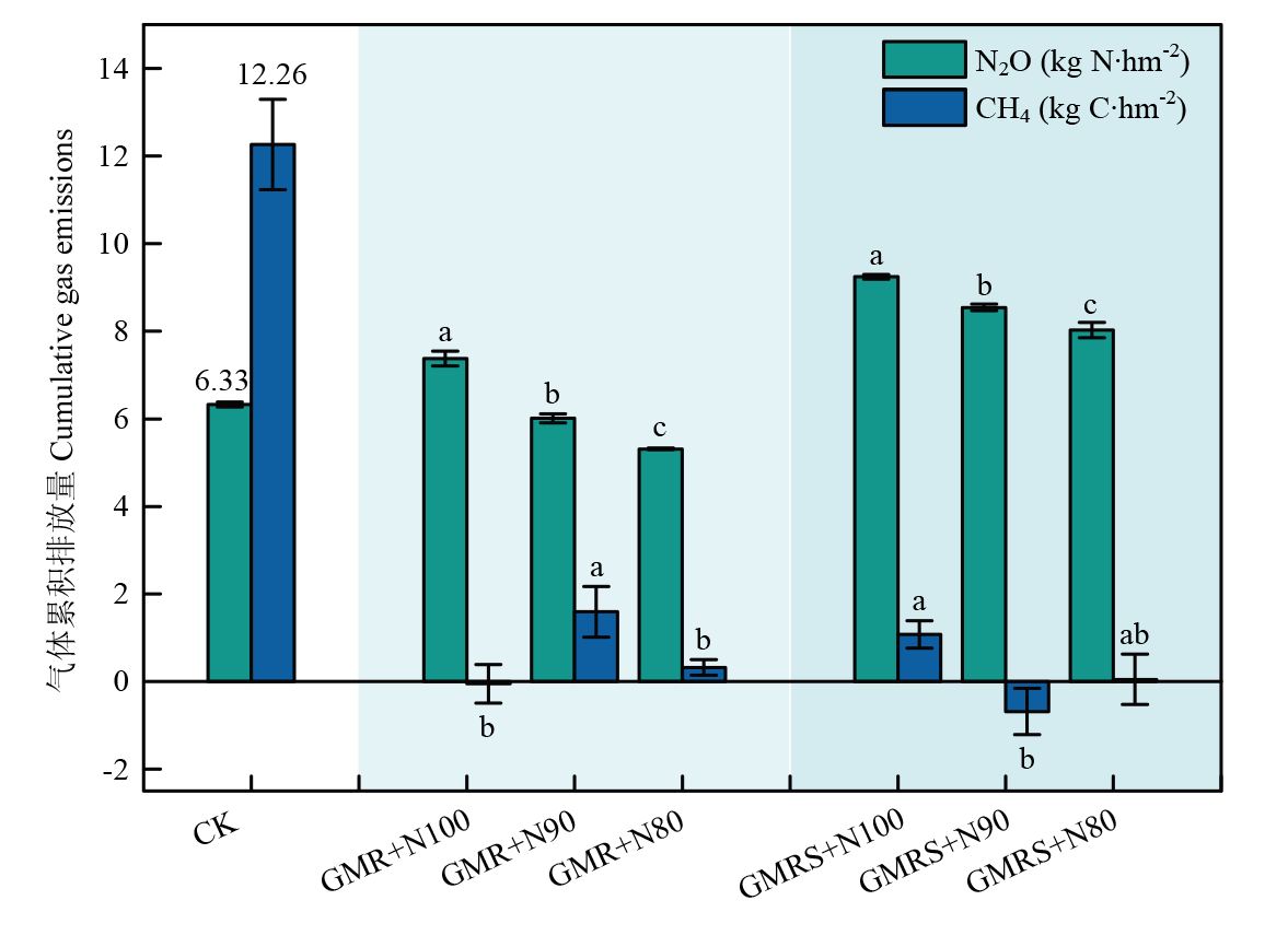
【目的】探究盐碱地麦后复种绿肥结合氮肥减施对小麦产量、碳氮足迹及经济环境效益的影响,推动生态脆弱区农业由“增产导向”向“资源节约、环境友好、经济效益合理”三维目标协同转变,为区域农业绿色转型与盐碱地高效利用提供科学依据与实践路径。【方法】依托于内蒙古河套灌区巴彦淖尔市农牧业科学院园子渠试验基地开展麦后复种绿肥裂区试验,主区为绿肥还田方式:绿肥仅根茬还田(GMR)、绿肥地上部与根茬共同还田(GMRS);副区为春小麦季氮肥施用水平:常规施氮(200 kg N·hm-2,N100)、减施10%氮肥(180 kg N·hm-2,N90)和减施20%氮肥(160 kg N·hm-2,N80);设置麦后休闲不种绿肥处理(CK)作为对照,共设7个处理。【结果】与麦后休闲处理(CK)相比,不同施氮水平下绿肥还田(GMR与GMRS)使得小麦增产6.2%—23.5%。麦后复种绿肥小麦生产的碳、氮足迹分别为0.23—0.52 kg CO2 eq·kg-1、4.53—7.89 g N·kg-1。相较于CK,绿肥还田处理碳、氮足迹分别降低了13.0%—54.6%、27.3%—47.6%。麦后休闲处理(CK)因温室气体(GHG)排放和活性氮(Nr)损失造成的环境损害成本最大,为5 053元。在不同施氮水平下(N100、N90、N80)GMRS处理损害成本较GMR处理分别增加了5.0%、7.7%、10.6%。从损害成本构成看,人体健康损害成本占比最大,为47.1%—52.1%。GMR相较GMRS处理显著提升了生态系统净经济效益,分别增加6 742、5 301和8 567元,对应增幅为24.2%、20.9%和35.9%,体现了其更优的经济-生态双重效益。【结论】实施“绿肥还田+减氮”的田间管理措施,不仅可以保障小麦产量,控制温室气体与活性氮损失,还可以显著增加经济收益,也为生态脆弱区实现可持续增效农业提供了实践路径。
张梦璇, 常芳弟, 魏禾雅, 李晓红, 伍林美, 张宏媛. 盐碱地麦后复种绿肥与氮肥减施对小麦产量、环境足迹及经济效益的协同效应[J]. 中国农业科学, 2025, 58(20): 4216-4230.
ZHANG MengXuan, CHANG FangDi, WEI HeYa, LI XiaoHong, WU LinMei, ZHANG HongYuan. Synergistic Effects of Post-Wheat Green Manure Rotation and Nitrogen Reduction in Saline-Alkali Soil on Wheat Yield, Environmental Footprint, and Economic Benefit[J]. Scientia Agricultura Sinica, 2025, 58(20): 4216-4230.
表2
温室气体排放活性氮损失和对生态系统、人体健康和气候变化的损害成本"
| 指标 Items | 生态系统 Ecosystems | 人体健康 Human health | 气候变化 Climate change | 参考文献 References |
|---|---|---|---|---|
| 氨挥发 NH3 volatilization (yuan/kg N) | 13.2 | 24.3 | / | [ |
| 氧化亚氮排放 N2O emission (yuan/kg N) | / | 2.1 | 81.6 | [ |
| 硝态氮淋溶 Nitrate nitrogen leaching (yuan/kg N) | 7.9 | 1.4 | / | [ |
| 温室气体排放 GHG emission (yuan/ t CO2 eq) | / | / | 83.4 | [ |
表3
不同绿肥还田方式结合施氮水平下小麦生产的生态系统净经济效益"
| 处理 Treatments | 投入成本 Input costs (×104 yuan) | 产值 Value (×104 yuan) | 损害成本 Damage cost (×104 yuan) | NEEB (×104 yuan) | ||||||
|---|---|---|---|---|---|---|---|---|---|---|
| 小麦种子 Wheat seed | 绿肥种子 Green manure seed | 氮肥 Nitrogen fertilizer | 磷肥Phosphate fertilizer | 柴油 Diesel | 人工 Labor | 小麦 Wheat | 绿肥 Green manure | |||
| CK | 0.19 | 0.00 | 0.10 | 0.11 | 0.00 | 0.29 | 3.63±0.05B | 0.00 | 0.51 | 2.43±0.06B |
| GMR+N100 | 0.19 | 0.15 | 0.13 | 0.16 | 0.02 | 0.44 | 4.48±0.09Aa | 0.56 | 0.48 | 3.46±0.09Aa |
| GMR+N90 | 0.19 | 0.15 | 0.11 | 0.16 | 0.02 | 0.44 | 4.01±0.05Ab | 0.56 | 0.42 | 3.07±0.05Ab |
| GMR+N80 | 0.19 | 0.15 | 0.09 | 0.16 | 0.02 | 0.44 | 4.12±0.15Ab | 0.55 | 0.36 | 3.25±0.15Aab |
| GMRS+N100 | 0.19 | 0.15 | 0.13 | 0.16 | 0.02 | 0.44 | 4.38±0.11Aa | 0.00 | 0.50 | 2.78±0.11Ba |
| GMRS+N90 | 0.19 | 0.15 | 0.11 | 0.16 | 0.02 | 0.44 | 4.07±0.05Ab | 0.00 | 0.46 | 2.54±0.05Bb |
| GMRS+N80 | 0.19 | 0.15 | 0.09 | 0.16 | 0.02 | 0.44 | 3.85±0.05Ac | 0.00 | 0.40 | 2.39±0.05Bb |
表4
不同地区小麦碳足迹比较"
| 研究区域 Study area | 系统边界 System boundary | 小麦碳足迹 Carbon footprint of wheat (kg CO2 eq·kg-1) | 参考文献References |
|---|---|---|---|
| 中国 China | 从农业投入品生产运输到小麦收获运输阶段,包括土壤固碳 From the production and transportation of agricultural inputs to the harvesting and transportation of wheat, including soil carbon sequestration | 0.50 | [ |
| 中国 China | 从农业投入品生产运输到小麦收获运输阶段,不包括土壤固碳 From the production and transportation of agricultural inputs to the harvesting and transportation of wheat, excluding soil carbon sequestration | 0.51 | [ |
| 中国东部 Eastern China | 小麦播种到收获运输阶段 From wheat sowing to harvesting and transportation | 0.66 | [ |
| 中国 China | 小麦播种到收获运输阶段 From wheat sowing to harvesting and transportation | 0.45 | [ |
| 全球 Global | / | 0.58 | [ |
| 意大利 Italy | 从农业投入品生产运输到小麦收获阶段,不包括土壤固碳 From the production and transportation of agricultural inputs to the harvesting of wheat, excluding soil carbon sequestration | 0.48 | [ |
| 内蒙古 Inner Mongolia | 从农业投入品生产运输到小麦收获运输阶段,包括土壤固碳 From the production and transportation of agricultural inputs to the harvesting and transportation of wheat, including soil carbon sequestration | 0.85 | [ |
| 河北 Hebei | 从农业投入品生产运输到小麦收获运输阶段,不包括土壤固碳 From the production and transportation of agricultural inputs to the harvesting and transportation of wheat, excluding soil carbon sequestration | 0.52 | [ |
| [1] |
doi: 10.15302/J-FASE-2024551 |
| [2] |
|
| [3] |
赵耕毛, 杨梦圆, 陈硕, 苏纪康, 吕慧琳, 贾慧昕, 刘兆普. 我国盐碱地治理: 现状、问题与展望. 南京农业大学学报, 2025, 48(1): 14-26.
|
|
|
|
| [4] |
朱湖英, 汤诗婕, 肖国安. 中国粮食产业链风险研究综述与展望. 中国农业资源与区划, 2024, 45(9): 142-155.
|
|
|
|
| [5] |
赵青松, 段玉, 张君, 何萍, 李凤敏, 徐新朋. 养分专家系统在内蒙古玉米、向日葵和马铃薯推荐施肥中的应用与验证. 植物营养与肥料学报, 2025, 31(5): 972-981.
|
|
|
|
| [6] |
|
| [7] |
|
| [8] |
石玉龙, 刘杏认, 高佩玲, 张晴雯, 张爱平, 杨正礼. 生物炭和有机肥对华北农田盐碱土N2O排放的影响. 环境科学, 2017, 38(12): 5333-5343.
|
|
|
|
| [9] |
|
| [10] |
|
| [11] |
doi: 10.1111/gcb.16269 pmid: 35583665 |
| [12] |
|
| [13] |
|
| [14] |
|
| [15] |
李蓉, 李正鹏, 严清彪, 郭冉冉, 韩梅, 徐珂. 复种绿肥协同不同水平氮肥对春小麦产量及品质的影响. 中国农业科学, 2025, 58(12): 2333-2345. doi: 10.3864/j.issn.0578-1752.2025.12.005.
|
|
|
|
| [16] |
崔恒, 张久东, 车宗贤, 包兴国, 卢秉林, 杨蕊菊, 樊志龙, 曹卫东. 长期翻压绿肥减施化肥对河西绿洲灌区小麦生长及生态效应的影响. 中国土壤与肥料, 2025, (3): 91-101.
|
|
|
|
| [17] |
朱强, 车宗贤, 崔恒, 张久东, 包兴国. 绿肥替代氮肥对麦田温室气体的影响. 中国农业科技导报(中英文), 2025, 27(7): 182-189.
|
|
|
|
| [18] |
张奇茹, 谢英荷, 李廷亮, 刘凯, 姜丽伟, 曹静, 邵靖琳. 有机肥替代化肥对旱地小麦产量和养分利用效率的影响及其经济环境效应. 中国农业科学, 2020, 53(23): 4866-4878. doi: 10.3864/j.issn.0578-1752.2020.23.012.
|
|
|
|
| [19] |
|
| [20] |
|
| [21] |
|
| [22] |
|
| [23] |
VAN GRINSVEN H J M,
|
| [24] |
|
| [25] |
尹波, 于爱忠, 王鹏飞, 杨学慧, 王玉珑, 尚永盼, 张冬玲, 刘亚龙, 李悦, 王凤. 绿肥还田结合氮肥减施对干旱灌区麦田土壤水热特征及小麦产量的影响. 中国农业科学, 2025, 58(7): 1366-1380. doi: 10.3864/j.issn.0578-1752.2025.07.010.
|
|
|
|
| [26] |
|
| [27] |
杨文亭, 王晓维, 徐健程, 焦琪琪, 鲁美娟, 黄国勤. 施氮量和土壤含水量对红壤区黑麦草腐解和氮素释放的影响. 生态学杂志, 2018, 37(9): 2589-2595.
|
|
|
|
| [28] |
赵洁, 冯江茹, 陈金法, 蒲锦琳, 杨彩迪, 刘洋, 赵发珠, 王俊. 绿肥种植和施氮对旱作冬小麦农田土壤有机碳组分的影响. 环境科学, 2025, 46(6): 3856-3864.
|
|
|
|
| [29] |
张冬玲, 于爱忠, 吕汉强, 杨学慧, 王玉珑, 王鹏飞, 尚永盼, 尹波, 刘亚龙, 王凤. 绿肥还田结合减量施氮对绿洲灌区麦田N2O排放和小麦产量的影响. 作物学报, 2025, 51(4): 1005-1021.
doi: 10.3724/SP.J.1006.2025.41065 |
|
|
|
| [30] |
刘蕊, 常单娜, 周国朋, 高嵩涓, 柴强, 曹卫东. 农田氧化亚氮减排技术及其与绿肥协同应用分析. 草业学报, 2025, 34(2): 196-210.
doi: 10.11686/cyxb2024111 |
|
|
|
| [31] |
杨滨娟, 刘琴, 黄瑶, 方志慧, 黄国勤. 绿肥混播下减氮对双季稻产量与土壤养分关系的影响. 中国生态农业学报(中英文), 2025. https://kns.cnki.net/KCMS/detail/detail.aspxfilename=ZGTN20250625001&dbname=CJFD&dbcode=CJFQ.
|
|
|
|
| [32] |
席笑薇, 刘佳, 朱君康, 孙鲁沅, 林永新. 种植毛叶苕子对花生和甘薯土壤氨氧化微生物功能基因丰度的影响. 应用与环境生物学报, 2025. https://link.cnki.net/doi/10.19675/j.cnki.1006-687x.2025.03023.
|
|
|
|
| [33] |
高嵩涓, 吴翠霞, 周国朋, 常单娜, 曹卫东. “绿肥+”产业机制及其实践. 中国农业科学, 2025, 58(10): 1982-1993. doi: 10.3864/j.issn.0578-1752.2025.10.010.
|
|
|
|
| [34] |
|
| [35] |
doi: 10.1111/gcb.14781 pmid: 31365780 |
| [36] |
|
| [37] |
|
| [38] |
|
| [39] |
|
| [40] |
刘少文, 殷敏, 褚光, 徐春梅, 王丹英, 章秀福, 陈松. 长江中下游稻区不同水旱轮作模式和氮肥水平对稻田CH4排放的影响. 中国农业科学, 2019, 52(14): 2484-2499. doi: 10.3864/j.issn.0578-1752.2019.14.008.
|
|
|
|
| [41] |
张义宁. 绿肥腐解及其对旱作农田土壤温室气体排放与碳氮组分的影响[D]. 西安: 西北大学, 2021.
|
|
|
|
| [42] |
|
| [43] |
|
| [44] |
|
| [45] |
|
| [46] |
邢素丽, 王敬霞, 杨军芳, 黄少辉, 聂浩亮, 张静, 杨慧敏, 杨文方, 杨云马, 王磊, 贾良良. 滴灌下肥料管理对小麦产量和碳氮足迹的影响. 农业工程学报, 2025, 41(2): 103-111.
|
|
|
|
| [47] |
王剑. 黄淮海平原不同种植制度的生产生态效益及可持续性评价[D]. 北京: 中国农业科学院, 2024.
|
|
|
|
| [48] |
doi: 10.1016/j.rsci.2021.11.003 |
| [49] |
温慧洋, 焦燕, 杨铭德, 白曙光, 谷鹏. 不同盐碱程度土壤氧化亚氮(N2O)排放途径的研究. 农业环境科学学报, 2016, 35(10): 2026-2033.
|
|
|
|
| [50] |
|
| [51] |
|
| [52] |
|
| [53] |
|
| [54] |
居浩然, 都昊田, 朱昌进, 霍中洋, 戴其根, 李国辉, 许轲. 不同轮作模式对农田温室气体排放影响的研究进展. 浙江农林大学学报, 2025. https://kns.cnki.net/KCMS/detail/detail.aspxfilename=ZJLX20250629001&dbname=CJFD&dbcode=CJFQ.
|
|
|
|
| [55] |
蔡文良, 宋孝红, 魏杰, 刘兴强, 李琳琳, 刘晓燕, 李中华, 王鹏, 崔冲霄, 陈广周, 张宾, 赵凯男, 李升东. 氮肥减量后移对小麦籽粒产量及品质的影响. 麦类作物学报, 2025, 45(7): 942-951.
|
|
|
|
| [56] |
马若男, 李强, 周道玮. 农田氮肥残留效应及其影响因素. 土壤与作物, 2024, 13(2): 201-214.
|
|
|
|
| [57] |
doi: 10.1126/science.1182570 pmid: 20150447 |
| [58] |
|
| [59] |
|
| [1] | 尹波, 于爱忠, 王鹏飞, 杨学慧, 王玉珑, 尚永盼, 张冬玲, 刘亚龙, 李悦, 王凤. 绿肥还田结合氮肥减施对干旱灌区麦田土壤水热特征及小麦产量的影响[J]. 中国农业科学, 2025, 58(7): 1366-1380. |
| [2] | 张明龙, 柴强, 韩梅, 樊志龙, 殷文, 范虹, 何蔚, 孙亚丽, 胡发龙, 谈燕. 氮肥减施及绿肥混作对土壤质量和小麦产量的影响[J]. 中国农业科学, 2025, 58(22): 4718-4731. |
| [3] | 陈坚, 吴柳格, 张鑫, 邓艾兴, 宋振伟, 张卫建, 郑成岩. 垄作沟播对滨海盐碱土水盐变化及玉米生长的影响[J]. 中国农业科学, 2025, 58(20): 4259-4271. |
| [4] | 李明珠, 田荣荣, 李然, 王淑娟, 王伟妮, 王婧, 刘俊梅, 刘嘉, 李玉义, 徐立珍, 李彦, 赵永敢. 钙/铝基改良剂对河套灌区盐碱土质量及向日葵产量的影响[J]. 中国农业科学, 2025, 58(20): 4231-4245. |
| [5] | 于茹, 李玉义, 曹巨峰, 马俊, 常芳弟, 宋佳珅, 张宏媛, 李晓彬, 李浩若, 张华, 王婧. 施肥管理对麦后复种绿肥盐碱土碳组分与小麦产量的影响[J]. 中国农业科学, 2025, 58(20): 4189-4202. |
| [6] | 韩哲群, 苏莹, 高奇奇, 刘美英, 贾昂元, 张海睿, 南珊珊, 徐勤政, 王强, 王利军, 武雪萍. 智能滴灌水肥耦合模式实现土壤节水控盐与向日葵产量品质协同提升[J]. 中国农业科学, 2025, 58(20): 4158-4177. |
| [7] | 杨芾, 韦善君, 张晓霞, 张琳敏, 刘洪秀, 李怡君, 仝亚萍. 西藏拉鲁湿地野生植物根际微生物资源挖掘及其在缓解玉米盐碱胁迫中的作用[J]. 中国农业科学, 2025, 58(20): 4144-4157. |
| [8] | 吕国华, 王庆锁, 宋佳珅, 李玉义, 梅旭荣. 我国盐碱地综合利用的生态保护战略[J]. 中国农业科学, 2025, 58(20): 4047-4053. |
| [9] | 韩潇杰, 任志杰, 李双静, 田培培, 卢素豪, 马耕, 王丽芳, 马冬云, 赵亚南, 王晨阳. 不同施氮量对土壤团聚体碳氮含量及小麦产量的影响[J]. 中国农业科学, 2024, 57(9): 1766-1778. |
| [10] | 韩紫璇, 房静静, 武雪萍, 姜宇, 宋霄君, 刘晓彤. 长期秸秆配施化肥下土壤团聚体碳氮分布、微生物量与小麦产量的协同效应[J]. 中国农业科学, 2023, 56(8): 1503-1514. |
| [11] | 徐隽峰, 张学美, 杨珺, 郭子糠, 黄翠, 丁玉兰, 黄宁, 孙蕊卿, 田汇, 王朝辉, 石美. 旱地高产小麦品种籽粒氮含量与产量形成及氮磷钾吸收分配的关系[J]. 中国农业科学, 2023, 56(24): 4880-4894. |
| [12] | 徐久凯, 袁亮, 温延臣, 张水勤, 李燕婷, 李海燕, 赵秉强. 畜禽有机肥氮在冬小麦季对化肥氮的相对替代当量[J]. 中国农业科学, 2023, 56(2): 300-313. |
| [13] | 严艳鸽, 张水勤, 李燕婷, 赵秉强, 袁亮. 葡聚糖改性尿素对冬小麦产量和肥料氮去向的影响[J]. 中国农业科学, 2023, 56(2): 287-299. |
| [14] | 严艳鸽, 张水勤, 李燕婷, 赵秉强, 袁亮. 葡聚糖改性磷肥对冬小麦产量和肥料利用率的影响[J]. 中国农业科学, 2023, 56(12): 2317-2328. |
| [15] | 熊淑萍, 高明, 张志勇, 秦步坛, 徐赛俊, 付新露, 王小纯, 马新明. 基于GIS的河南省小麦产量及产量构成要素时空差异分析[J]. 中国农业科学, 2022, 55(4): 692-706. |
|
||