Scientia Agricultura Sinica ›› 2025, Vol. 58 ›› Issue (23): 4858-4871.doi: 10.3864/j.issn.0578-1752.2025.23.005

• RESEARCH AND DEVELOPMENT OF TECHNOLOGY FOR ENHANCED PRODUCTIVITY • Previous Articles     Next Articles

Effects of Row Ratio Allocation on Light Distribution and Photosynthetic Production Capacity of Maize-Soybean Strip Intercropping

SONG XuHui(), ZHAO XueYing, ZHAO Bin, REN BaiZhao, ZHANG JiWang, LIU Peng, REN Hao*()   

  1. College of Agriculture, Shandong Agricultural University/Huang-Huai-Hai Regional Maize Technology Innovation Center, Taian 271018, Shandong
  • Received:2025-05-05 Accepted:2025-11-14 Online:2025-12-01 Published:2025-12-09
  • Contact: REN Hao

Abstract:

【Objective】 This study aimed to investigate the effects of different row ratio configurations on canopy light distribution, layer-specific photosynthesis, and crop yield formation in a maize-soybean strip intercropping system, thereby providing a theoretical basis for high-yield and high-light-efficiency cultivation. 【Method】 A field experiment was conducted under field conditions during the 2023-2024 growing seasons, with monoculture maize (SM) and monoculture soybean (SS) serving as controls. Four maize-soybean strip intercropping configurations were established: four rows of maize with six rows of soybean (4M6S), four rows of maize with four rows of soybean (4M4S), three rows of maize with four rows of soybean (3M4S), and two rows of maize with four rows of soybean (2M4S). The planting density of maize was consistently maintained at 67 500 plants/hm2 across all intercropping treatments. The soybean planting densities under SS, 4M6S, 4M4S, 3M4S, and 2M4S treatments were 160 000, 153 144, 128 351, 151 068, and 183 556 plants/hm2, respectively, and the effects of different row ratios on the light distribution, photosynthetic performance and yield in the canopy of the composite population were analyzed. 【Result】 The 4M4S treatment resulted in a higher leaf area index (LAI) and greater light transmittance in the middle canopy layer in maize. The LAI under 4M4S was 4.07%, 4.41%, 4.71%, and 5.46% higher than that under 4M6S, 3M4S, 2M4S, and SM, respectively. At the R1 stage, the light transmittance at the ear leaf of maize under 4M4S was 9.76%, 21.11%, 46.83%, and 48.16% higher than that under SM, 2M4S, 4M6S, and 3M4S, respectively. Concurrently, the 4M4S treatment enhanced the net photosynthetic rate of the lower leaves in maize, which was 10.45% and 8.58% higher than that under 3M4S and 4M6S, respectively. The overall radiation use efficiency (RUE) under 4M4S was 1.38%, 6.69%, and 8.01% higher than that under 4M6S, 3M4S, and 2M4S, respectively, demonstrating a stronger photosynthetic capacity under this treatment. The 4M4S treatment achieved the highest yields for both maize and soybean. The two-year average maize yields for 4M6S, 4M4S, 3M4S, and 2M4S were 8.88, 9.22, 8.44, and 8.86 t·hm-2, respectively, while the corresponding soybean yields were 1.44, 1.44, 1.37, and 1.29 t·hm-2, respectively. The land equivalent ratio (LER) for all intercropping patterns exceeded 1.27. Row ratio configuration significantly influenced interspecific relationships between maize and soybean. The aggressivity of maize relative to soybean under 3M4S, 4M6S, and 2M4S treatment was 3.91, 4.41, and 11.32 times that under 4M4S treatment, respectively. In 2023, the relative crowding coefficient was the smallest under 3M4S, followed by 4M4S; in 2024, the value for 4M4S was 3.19%, 10.58%, and 21.82% lower than that under 3M4S, 4M6S, and 2M4S, respectively. Thus, the 4M4S treatment effectively ensured maize yield while simultaneously increasing soybean production. 【Conclusion】 The 4M4S treatment enhanced maize light interception, thereby improving light transmittance within the middle and lower canopy layers of the maize population. This configuration enabled leaves across different canopy positions—both inner and outer rows—to maintain high photosynthetic capacity, while also preserving the photosynthetic performance of soybean plants. Consequently, the system's radiation use efficiency was significantly improved, and both crop yield and land equivalent ratio were markedly increased. Furthermore, this treatment resulted in the smallest values for interspecific competitiveness, relative crowding coefficient, and net effect among all configurations. Therefore, the 4M4S treatment was identified as the most suitable row ratio configuration under the experimental conditions.

Key words: maize-soybean intercropping, leaf area index, canopy light distribution, photosynthetic performance, yield

Table 1

Field configuration density, row spacing and plant spacing"

处理
Treatment
玉米种植密度
Maize planting density
(plants/hm2)
大豆种植密度
Soybean planting density
(plants/hm2)
带宽
Band
width
(cm)
玉米大豆行比
Maize-
soybean
row ratio
玉米大豆间距
Maize-soybean spacing
(cm)
玉米行距
Maize row spacing
(cm)
大豆行距
Soybean line spacing
(cm)
玉米株距
Maize plant spacing
(cm)
大豆株距
Soybean plant spacing
(cm)
SM 67500 60 24.7
SS 160000 60 10
2M4S 67500 153144 279 2:4 70 40 33 10.6 10
3M4S 67500 128351 339 3:4 70 50 33 13.1 10
4M4S 67500 151068 399 4:4 70 80/40 33 14.9 10
4M6S 67500 183556 465 4:6 70 80/40 33 12.7 10

Fig. 1

Effect of row ratio allocation on plant leaf area index of maize and soybean"

Fig. 2

Configure light distribution features with different line ratios"

Fig. 3

Effects of different row ratio configurations on maize gas exchange parameters"

Fig. 4

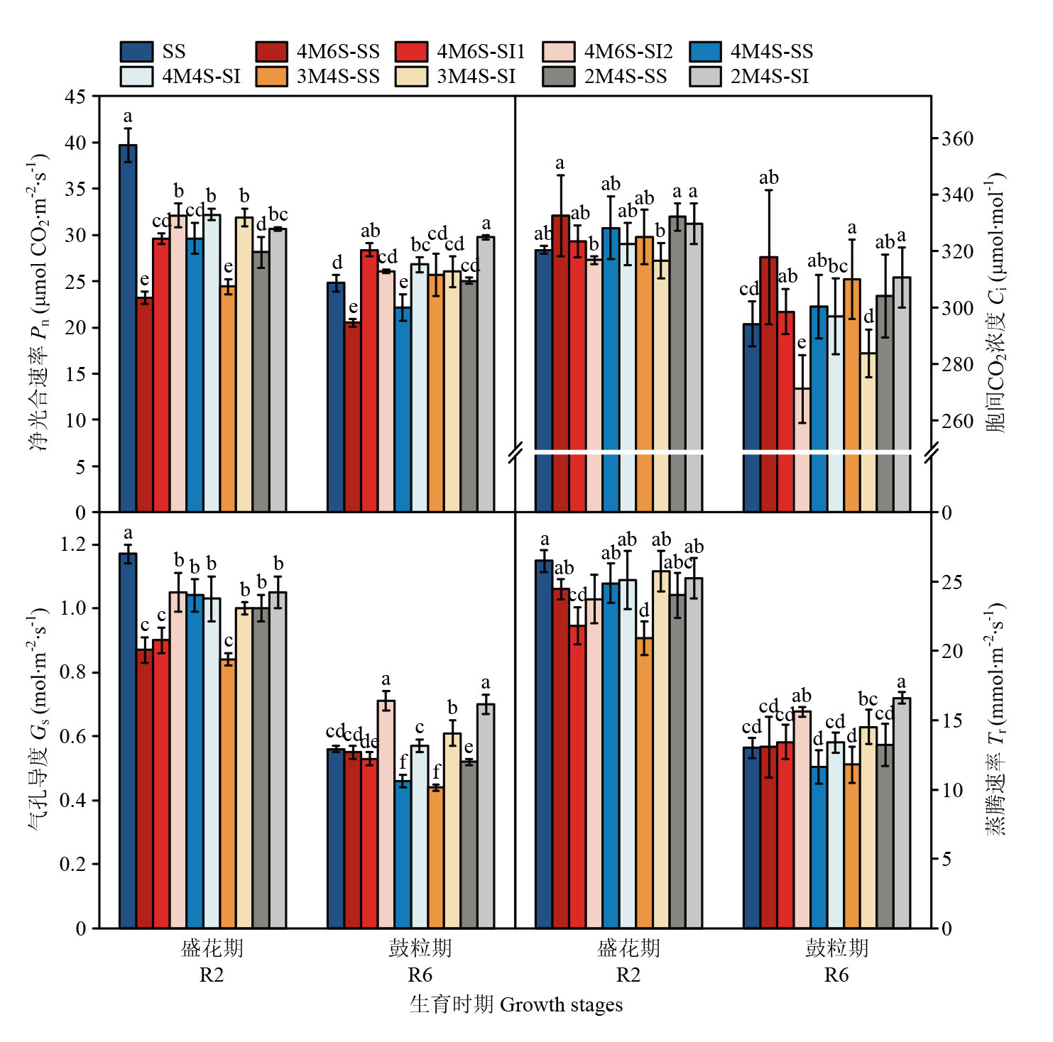
Effects of different row ratio configurations on soybean gas exchange parameters"

Table 2

Maize yield and its components under different models"

年份
Year
处理
Treatment
边内行处理
Side-in-line treatment
公顷穗数
Actual ear (×104·hm-2)
穗粒数
Spike grain number
千粒重
1000-grain weight (g)
实际产量
Actual yield (t·hm-2)
2023 SM 6.52±0.06A 644.22±4.83AB 336.35±1.17A 12.01±0.13A
4M6S-MS 3.21±0.02b 564.34±2.55a 294.01±3.47a 4.99±0.19a
4M6S-MI 3.44±0.03a 530.06±5.20b 278.09±2.91b 4.58±0.18b
4M6S 6.65±0.04A 597.20±2.97B 286.05±0.57C 9.62±0.15C
4M4S-MS 3.21±0.05b 565.84±2.90a 306.60±1.61a 5.33±0.16a
4M4S-MI 3.34±0.03a 542.96±3.75b 286.01±1.30b 4.49±0.11b
4M4S 6.56±0.03A 602.73±3.87A 295.31±0.86B 9.96±0.06B
3M4S-MS 3.35±0.03a 545.60±2.23a 284.57±2.03a 4.96±0.20a
3M4S-MI 3.23±0.06b 484.89±4.12b 271.64±3.71b 3.94±0.21b
3M4S 6.58±0.75A 565.24±3.17D 278.11±1.10E 8.93±0.13E
2M4S 6.61±0.11A 583.13±6.28C 281.51±0.67D 9.30±0.03D
2024 SM 6.56±0.10A 592.09±1.82A 269.07±0.68A 10.21±1.11A
4M6S-MS 3.15±0.09b 546.36±4.34a 268.37±0.70a 4.33±0.14a
4M6S-MI 3.37±0.07a 504.36±8.41b 257.92±1.15b 3.81±0.06b
4M6S 6.53±0.05A 525.36±4.95C 263.10±0.82B 8.14±0.18BC
4M4S-MS 3.19±0.03b 555.24±3.87a 265.58±3.10a 4.43±0.30a
4M4S-MI 3.38±0.03a 516.13±6.16b 259.43±2.60ab 4.04±0.19b
4M4S 6.57±0.01A 535.69±3.47B 262.50±2.69B 8.47±0.13B
3M4S-MS 3.41±0.07a 488.04±3.77a 260.09±4.53a 4.01±0.09a
3M4S-MI 3.20±0.06b 474.49±6.34b 249.56±1.19b 3.93±0.14ab
3M4S 6.61±0.06A 481.27±3.33E 254.83±1.84C 7.94±0.09C
2M4S 6.57±0.04A 478.44±4.18D 254.75±4.76C 8.41±0.10BC

Table 3

Soybean yield and its components under different models"

年份
Year
处理
Treatment
边内行处理
Side-in-line treatment
公顷株数
Actual ear (×104·hm-2)
株粒数
Number of grains per plant
百粒重
100-grain weight (g)
实际产量
Actual yield (t·hm-2)
2023 SS SS 14.37±0.42A 88.13±2.50A 26.18±0.25A 2.65±0.06A
4M6S-SS 3.50±0.20b 70.67±3.10ab 23.96±0.49c 0.40±0.01c
4M6S-SI1 3.90±0.01a 66.42±2.63b 24.89±0.55b 0.47±0.01b
4M6S-SI2 3.81±0.07a 72.27±4.35a 25.85±0.21a 0.58±0.03a
4M6S 11.19±0.22B 69.79±3.11C 24.90±0.19D 1.47±0.02B
4M4S-SS 4.97±0.03b 72.27±4.77b 24.75±0.29a 0.68±0.02b
4M4S-SI 5.13±0.14a 79.07±3.41a 24.71±0.32a 0.79±0.02a
4M4S 10.80±0.19C 75.67±2.85B 24.73±0.10D 1.48±0.03B
3M4S-SS 5.36±0.18ab 68.60±1.71a 24.79±0.25a 0.62±0.01b
3M4S-SI 5.51±0.04a 68.87±1.62a 25.71±0.34a 0.77±0.02a
3M4S 10.87±0.21C 68.73±1.33C 25.25±0.12C 1.38±0.02C
2M4S-SS 4.95±0.17a 62.27±2.04b 25.87±0.34a 0.57±0.02b
2M4S-SI 4.87±0.21ab 72.47±1.40a 25.97±0.48a 0.78±0.03a
2M4S 10.81±0.27C 67.37±0.59C 25.92±0.06D 1.33±0.03D
2024 SS SS 15.50±1.03A 106.17±5.88A 22.37±0.61BC 2.38±0.10A
4M6S-SS 2.44±0.16b 43.67±3.20c 22.97±0.58a 0.32±0.01c
4M6S-SI1 3.67±0.24a 52.83±2.99b 22.27±0.25b 0.44±0.01b
4M6S-SI2 3.63±0.24a 63.67±3.08a 22.13±0.13b 0.65±0.03a
4M6S 10.59±0.20C 63.22±5.21B 22.54±0.15A 1.41±0.05B
4M4S-SS 5.54±0.25b 42.67±4.55b 22.26±0.16b 0.67±0.02b
4M4S-SI 5.96±0.10a 54.33±4.59a 22.91±0.09a 0.72±0.01a
4M4S 11.49±0.21B 57.83±2.93B 22.59±0.12A 1.39±0.03B
3M4S-SS 5.31±0.42b 48.83±3.37ab 22.43±0.16b 0.57±0.01b
3M4S-SI 6.34±0.31a 50.86±3.29a 22.86±0.16a 0.79±0.10a
3M4S 11.65±0.19B 51.00±3.28B 22.65±0.06A 1.36±0.09B
2M4S-SS 4.90±0.17b 48.86±5.21a 22.23±0.34b 0.54±0.02b
2M4S-SI 5.43±0.06a 49.71±4.11a 23.25±0.37a 0.71±0.03a
2M4S 10.33±0.12C 48.67±2.44B 22.74±0.39A 1.25±0.04C

Table 4

Effects of intercropping mode on solar energy utilization efficiency, land equivalent ratio, net effect, interspecific competitiveness and relative crowding coefficient"

年份
Year
处理
Treatment
辐射能值利用率
Solar energy utilization efficiency (%)
土地当量比
Land equivalent ratio
净效应
Net effect
攻击力
Ams
相对拥挤系数
Relative congestion factor
2023 4M6S 9.52±0.10b 1.36±0.01b 3822.09±109.10b 0.52±0.06b 5.20±0.19ab
4M4S 9.70±0.09a 1.39±0.01a 3407.32±74.11c 0.12±0.02d 4.56±0.28b
3M4S 8.89±0.13c 1.27±0.02c 2975.63±144.48d 0.44±0.02c 3.18±0.27c
2M4S 8.87±0.12c 1.28±0.02c 4302.84±25.89a 1.14±0.04a 5.39±0.37a
SM 5.23±0.01d
SS 9.60±0.02b
2024 4M6S 8.57±0.26ab 1.38±0.01b 3275.38±146.16b 0.45±0.07b 5.67±0.42ab
4M4S 8.64±0.16a 1.41±0.01a 2920.36±152.54c 0.10±0.02c 4.55±0.59bc
3M4S 8.30±0.36b 1.34±0.02c 2980.25±116.74c 0.42±0.01b 4.70±0.46c
2M4S 8.11±0.19c 1.27±0.03d 4005.18±130.52a 1.35±0.01a 5.82±0.72a
SM 4.45±0.05d
SS 8.62±0.04a
[1]
武晶, 陈梦, 汪直华, 杨继芝, 李燕丽, 吴雨珊, 杨文钰. 带状间作不同带间距对玉米光能利用的影响. 中国农业科学, 2023, 56(23): 4648-4659. doi: 10.3864/j.issn.0578-1752.2023.23.007.
WU J, CHEN M, WANG Z H, YANG J Z, LI Y L, WU Y S, YANG W Y. Effect of different strip distances on light energy utilization in strip intercropping maize. Scientia Agricultura Sinica, 2023, 56(23): 4648-4659. doi: 10.3864/j.issn.0578-1752.2023.23.007. (in Chinese)
[2]
LIU Q, YANG Z P, ZHOU W, WANG T, FU Y, YUE X P, CHEN H, TAO Y F, DENG F, LEI X L, REN W J, CHEN Y. Solar radiation utilization of five upland-paddy cropping systems in low-light regions promoted by diffuse radiation of paddy season. Agricultural and Forest Meteorology, 2023, 338: 109527.

doi: 10.1016/j.agrformet.2023.109527
[3]
李双伟, 朱俊奇, Jochem B.EVERS, Wopke VAN DER WERF, 郭焱, 李保国, 马韫韬. 基于植物功能-结构模型的玉米-大豆条带间作光截获行间差异研究. 智慧农业(中英文), 2022, 4(1): 97-109.
LI S W, ZHU J Q, EVERS J, WERF W, GUO Y, LI B G, MA Y T. Estimating the differences of light capture between rows based on functional-structural plant model in simultaneous maize-soybean strip intercropping. Smart Agriculture, 2022, 4(1): 97-109. (in Chinese)

doi: 10.12133/j.smartag.SA202202002
[4]
LIU X, RAHMAN T, SONG C, YANG F, SU B Y, CUI L, BU W Z, YANG W Y. Relationships among light distribution, radiation use efficiency and land equivalent ratio in maize-soybean strip intercropping. Field Crops Research, 2018, 224: 91-101.

doi: 10.1016/j.fcr.2018.05.010
[5]
HE H M, YANG L, ZHAO L H, WU H, FAN L M, XIE Y, ZHU Y Y, LI C Y. The temporal-spatial distribution of light intensity in maize and soybean intercropping systems. Journal of Resources and Ecology, 2012, 3(2): 169-173.

doi: 10.5814/j.issn.1674-764x.2012.02.009
[6]
SONG Q F, WANG Y, QU M N, ORT D R, ZHU X G. The impact of modifying photosystem antenna size on canopy photosynthetic efficiency: Development of a new canopy photosynthesis model scaling from metabolism to canopy level processes. Plant, Cell & Environment, 2017, 40(12): 2946-2957.

doi: 10.1111/pce.v40.12
[7]
HE Y, CHEN Y, YU C L, LU K X, JIANG Q S, FU J L, WANG G M, JIANG D A. Photosynthesis and yield traits in different soybean lines in response to salt stress. Photosynthetica, 2016, 54(4): 630-635.

doi: 10.1007/s11099-016-0217-7
[8]
苗淑杰, 郭嫣, 杨海超, 夏可, 乔云发. 改变行向对水稻冠层光能利用效率和产量的影响. 中国农学通报, 2023, 39(36): 8-13.

doi: 10.11924/j.issn.1000-6850.casb2023-0007
MIAO S J, GUO Y, YANG H C, XIA K, QIAO Y F. Influence of row direction on use-efficiency of solar radiation in canopy bottom and rice yield. Chinese Agricultural Science Bulletin, 2023, 39(36): 8-13. (in Chinese)

doi: 10.11924/j.issn.1000-6850.casb2023-0007
[9]
李静, 王洪章, 许佳诣, 刘鹏, 张吉旺, 赵斌, 任佰朝. 不同栽培模式对夏玉米冠层结构及光合性能的影响. 中国农业科学, 2020, 53(22): 4550-4560. doi: 10.3864/j.issn.0578-1752.2020.22.003.
LI J, WANG H Z, XU J Y, LIU P, ZHANG J W, ZHAO B, REN B Z. Effects of different cultivation modes on canopy structure and photosynthetic performance of summer maize. Scientia Agricultura Sinica, 2020, 53(22): 4550-4560. doi: 10.3864/j.issn.0578-1752.2020.22.003. (in Chinese)
[10]
FAN Z, QIANG B B, ZHANG X B, LIN Y R, WU Y L, ZHAO X N, LIU E K, CAI T, ZHANG P, LIU T N, REN X L, CHEN X L. Optimizing light and nitrogen distribution in maize-soybean intercropping systems to enhance crop yield. European Journal of Agronomy, 2026, 172: 127853.

doi: 10.1016/j.eja.2025.127853
[11]
杨飞, 张柏, 宋开山, 王宗明, 刘焕军, 杜嘉. 玉米和大豆光合有效辐射吸收比例与植被指数和叶面积指数的关系. 作物学报, 2008, 34(11): 2046-2052.

doi: 10.3724/SP.J.1006.2008.02046
YANG F, ZHANG B, SONG K S, WANG Z M, LIU H J, DU J. Relationship between fraction of photosynthetically active radiation and vegetation indices, leaf area index of corn and soybean. Acta Agronomica Sinica, 2008, 34(11): 2046-2052. (in Chinese)

doi: 10.3724/SP.J.1006.2008.02046
[12]
程彬, 刘卫国, 王莉, 许梅, 覃思思, 卢俊吉, 高阳, 李淑贤, Ali RAZA, 张熠, Irshan AHMAD, 敬树忠, 刘然金, 杨文钰. 种植密度对玉米-大豆带状间作下大豆光合、产量及茎秆抗倒的影响. 中国农业科学, 2021, 54(19): 4084-4096. doi: 10.3864/j.issn.0578-1752.2021.19.005.
CHENG B, LIU W G, WANG L, XU M, QIN S S, LU J J, GAO Y, LI S X, RAZA A, ZHANG Y, AHMAD I, JING S Z, LIU R J, YANG W Y. Effects of planting density on photosynthetic characteristics, yield and stem lodging resistance of soybean in maize-soybean strip intercropping system. Scientia Agricultura Sinica, 2021, 54(19): 4084-4096. doi: 10.3864/j.issn.0578-1752.2021.19.005. (in Chinese)
[13]
LIU F, ZHOU F, WANG X L, ZHAN X X, GUO Z X, LIU Q L, WEI G, LAN T Q, FENG D J, KONG F L, YUAN J C. Optimizing nitrogen management enhances stalk lodging resistance and grain yield in dense planting maize by improving canopy light distribution. European Journal of Agronomy, 2023, 148: 126871.

doi: 10.1016/j.eja.2023.126871
[14]
DZVENE A R, TESFUHUNEY W A, WALKER S, CERONIO G. Optimizing the planting time and stand density of sunn hemp intercropping for biomass productivity and competitiveness in a maize-based system. Field Crops Research, 2023, 304: 109179.

doi: 10.1016/j.fcr.2023.109179
[15]
WANG J B, CHEN G D, WANG P J, CUI Z J, WAN S M, ZHAI Y L, LI T T, ZHAO Y R. Optimizing cotton row configuration in jujube-cotton intercropping systems improves their productivity, net effects, and sustainability. Agronomy, 2024, 14(6): 1216.

doi: 10.3390/agronomy14061216
[16]
杨蕾. 玉米/大豆带状套作模式的能流及能值分析[D]. 雅安: 四川农业大学, 2023.
YANG L. Energy flow and emergy analysis of corn/soybean strip intercropping model[D]. Yaan: Sichuan Agricultural University, 2023. (in Chinese)
[17]
陈俊南, 姜文洋, 昝志曼, 汪江涛, 郑宾, 刘领, 刘娟, 焦念元. 玉米和花生同垄间作对作物光合特性和间作优势的影响. 应用生态学报, 2023, 34(10): 2672-2682.

doi: 10.13287/j.1001-9332.202310.010
CHEN J N, JIANG W Y, ZAN Z M, WANG J T, ZHENG B, LIU L, LIU J, JIAO N Y. Effects of maize and peanut co-ridge intercropping on crop photosynthetic characteristics and intercropping advantages. Chinese Journal of Applied Ecology, 2023, 34(10): 2672-2682. (in Chinese)

doi: 10.13287/j.1001-9332.202310.010
[18]
张东升. 风沙半干旱区玉米/花生间作光能高效捕获和利用[D]. 北京: 中国农业大学, 2018.
ZHANG D S. Efficient capture and utilization of light energy from maize/peanut intercropping in wind-sand semi-arid areas. Beijing: China Agricultural University, 2018. (in Chinese)
[19]
KALOGEROPOULOS G, ELLI E F, TRIFUNOVIC S, ARCHONTOULIS S V. Historical increases of maize leaf area index in the US Corn Belt due primarily to plant density increases. Field Crops Research, 2024, 318: 109615.
[20]
WANG W, LI M Y, ZHOU R, MO F, KHAN A, BATOOL A, ZHANG W, LU J S, ZHU Y, WANG B Z, YANG Y M, WANG J, TAO X P, XIONG Y C. Leaf senescence, nitrogen remobilization, and productivity of maize in two semiarid intercropping systems. European Journal of Agronomy, 2023, 150: 126943.

doi: 10.1016/j.eja.2023.126943
[21]
GONG X W, FERDINAND U, DANG K, LI J, CHEN G H, LUO Y, YANG P, FENG B L. Boosting proso millet yield by altering canopy light distribution in proso millet/mung bean intercropping systems. The Crop Journal, 2020, 8(2): 365-377.

doi: 10.1016/j.cj.2019.09.009
[22]
闫尚龙, 王琦明, 柴强, 殷文, 樊志龙, 胡发龙, 刘志鹏, 韦金贵. 绿洲灌区玉米籽粒产量及品质对密植及间作豌豆的响应. 作物学报, 2025, 51(6): 1665-1675.

doi: 10.3724/SP.J.1006.2025.43051
YAN S L, WANG Q M, CHAI Q, YIN W, FAN Z L, HU F L, LIU Z P, WEI J G. Grain yield and quality of maize in response to dense density and intercropped peas in oasis irrigated areas. Acta Agronomica Sinica, 2025, 51(6): 1665-1675. (in Chinese)
[23]
李相花, 范彩英, 徐芹, 侯剑, 王慧, 刘艳艳, 王恒, 刘光亚, 韩伟. 不同玉米大豆种植模式对作物产量、经济效益与土壤养分的影响. 中国农学通报, 2025, 41(6): 22-28.

doi: 10.11924/j.issn.1000-6850.casb2024-0762
LI X H, FAN C Y, XU Q, HOU J, WANG H, LIU Y Y, WANG H, LIU G Y, HAN W. Effects of different maize and soybean planting patterns on crop yield, economic benefit and soil nutrient. Chinese Agricultural Science Bulletin, 2025, 41(6): 22-28. (in Chinese)

doi: 10.11924/j.issn.1000-6850.casb2024-0762
[24]
GUO X X, LIU W M, YANG Y S, LIU G Z, MING B, XIE R Z, WANG K R, LI S K, HOU P. Matching the light and nitrogen distributions in the maize canopy to achieve high yield and high radiation use efficiency. Journal of Integrative Agriculture, 2025, 24(4): 1424-1435.

doi: 10.1016/j.jia.2023.12.025
[25]
WANG Q S, SUN D B, HAO H, ZHAO X J, HAO W P, LIU Q. Photosynthetically active radiation determining yields for an intercrop of maize with cabbage. European Journal of Agronomy, 2015, 69: 32-40.

doi: 10.1016/j.eja.2015.05.004
[26]
WANG R N, SUN Z X, BAI W, WANG E L, WANG Q, ZHANG D S, ZHANG Y, YANG N, LIU Y, NIE J Y, CHEN Y F, DUAN L S, ZHANG L Z. Canopy heterogeneity with border-row proportion affects light interception and use efficiency in maize/peanut strip intercropping. Field Crops Research, 2021, 271: 108239.

doi: 10.1016/j.fcr.2021.108239
[27]
王佳芯, 胡静一, 张巍, 魏骞, 王涛, 王小林, 张雄, 张盼盼. 覆膜方式对间作玉米光合物质生产及水分利用效率的影响. 中国农业科学, 2025, 58(3): 460-477. doi: 10.3864/j.issn.0578-1752.2025.03.005.
WANG J X, HU J Y, ZHANG W, WEI Q, WANG T, WANG X L, ZHANG X, ZHANG P P. Effects of different mulching methods on the production of photosynthetic substances and water use efficiency of intercropped maize. Scientia Agricultura Sinica, 2025, 58(3): 460-477. doi: 10.3864/j.issn.0578-1752.2025.03.005. (in Chinese)
[28]
ZHOU T, WANG L, SUN X, WANG X C, PU T, YANG H, RENGEL Z, LIU W G, YANG W Y. Improved post-silking light interception increases yield and P-use efficiency of maize in maize/soybean relay strip intercropping. Field Crops Research, 2021, 262: 108054.

doi: 10.1016/j.fcr.2020.108054
[29]
ZHANG L, VAN DER WERF W, BASTIAANS L, ZHANG S, LI B, SPIERTZ J H J. Light interception and utilization in relay intercrops of wheat and cotton. Field Crops Research, 2008, 107(1): 29-42.

doi: 10.1016/j.fcr.2007.12.014
[30]
JO S G, KANG Y I, OM K S, CHA Y H, RI S Y. Growth, photosynthesis and yield of soybean in ridge-furrow intercropping system of soybean and flax. Field Crops Research, 2022, 275: 108329.

doi: 10.1016/j.fcr.2021.108329
[31]
朱冠雄, 高祺, 华方静, 田艺心, 朱金英, 李春燕, 王春雨, 曹鹏鹏, 王士岭, 高凤菊. 鲁西北地区大豆玉米间作不同行比配置对大豆生长、产量及间作系统的影响. 中国油料作物学报, 2025, 47(4): 970-979.

doi: 10.19802/j.issn.1007-9084.2024056
ZHU G X, GAO Q, HUA F J, TIAN Y X, ZHU J Y, LI C Y, WANG C Y, CAO P P, WANG S L, GAO F J. Effects of different row ratios of soybean and maize intercropping on soybean growth, yield and intercropping system in Northwest Shandong Province. Chinese Journal of Oil Crop Sciences, 2025, 47(4): 970-979. (in Chinese)
[32]
杜雄, 窦铁岭, 冯丽肖, 张维宏, 张立峰. 华北农牧交错带退耕区榆树幼林-南瓜间作的农田生态效应. 中国农业科学, 2008, 41(9): 2710-2719. doi: 10.3864/j.issn.0578-1752.2008.09.019.
DU X, DOU T L, FENG L X, ZHANG W H, ZHANG L F. Farmland ecological effect of young elm forest-pumpkin strip intercropping in de-farming area in the agriculture-animal husbandry ecotone of North China. Scientia Agricultura Sinica, 2008, 41(9): 2710-2719. doi: 10.3864/j.issn.0578-1752.2008.09.019. (in Chinese)
[33]
SADRAS V O, TRÁPANI N, PEREYRA V R, LÓPEZ PEREIRA M, QUIROZ F, MORTARINI M. Intraspecific competition and fungal diseases as sources of variation in sunflower yield. Field Crops Research, 2000, 67(1): 51-58.

doi: 10.1016/S0378-4290(00)00083-6
[34]
蔡倩, 孙占祥, 郑家明, 王文斌, 白伟, 冯良山, 杨宁, 向午燕, 张哲, 冯晨. 辽西半干旱区玉米大豆间作模式对作物干物质积累分配、产量及土地生产力的影响. 中国农业科学, 2021, 54(5): 909-920. doi: 10.3864/j.issn.0578-1752.2021.05.004.
CAI Q, SUN Z X, ZHENG J M, WANG W B, BAI W, FENG L S, YANG N, XIANG W Y, ZHANG Z, FENG C. Dry matter accumulation, allocation, yield and productivity of maize-soybean intercropping systems in the semi-arid region of western Liaoning Province. Scientia Agricultura Sinica, 2021, 54(5): 909-920. doi: 10.3864/j.issn.0578-1752.2021.05.004. (in Chinese)
[35]
杨姝, 白伟, 蔡倩, 杜桂娟. 玉米‖紫花苜蓿间作群体光分布特征及对植物性状和产量的影响. 作物学报, 2025, 51 (9): 2514-2526.

doi: 10.3724/SP.J.1006.2025.53004
YANG S, BAI W, CAI Q, DU G J. Light distribution characteristics of maize‖alfalfa intercropping populations and their effects on plant traits and yields. Acta Agronomica Sinica, 2025, 51 (9): 2514-2526. (in Chinese)

doi: 10.3724/SP.J.1006.2025.53004
[36]
赵德强, 李彤, 侯玉婷, 元晋川, 廖允成. 玉米大豆间作模式下干物质积累和产量的边际效应及其系统效益. 中国农业科学, 2020, 53(10): 1971-1985. doi: 10.3864/j.issn.0578-1752.2020.10.005.
ZHAO D Q, LI T, HOU Y T, YUAN J C, LIAO Y C. Benefits and marginal effect of dry matter accumulation and yield in maize and soybean intercropping patterns. Scientia Agricultura Sinica, 2020, 53(10): 1971-1985. doi: 10.3864/j.issn.0578-1752.2020.10.005. (in Chinese)
[37]
LIN P H, HUANG M S, CHAO Y Y. Effects of various leguminous intercrops on maize yield. Maydica, 2018, 63(2): 6.
[38]
刘涵, 丁迪, 汪江涛, 郑宾, 王笑笑, 朱晨旭, 刘娟, 刘领, 付国占, 焦念元. 玉米穗型与种植密度对玉米花生间作种间竞争的协调效应. 中国农业科学, 2024, 57(19): 3758-3769. doi: 10.3864/j.issn.0578-1752.2024.19.004.
LIU H, DING D, WANG J T, ZHENG B, WANG X X, ZHU C X, LIU J, LIU L, FU G Z, JIAO N Y. Coordinated effects of maize ear type and planting density on interspecific competition in maize-peanut intercropping system. Scientia Agricultura Sinica, 2024, 57(19): 3758-3769. doi: 10.3864/j.issn.0578-1752.2024.19.004. (in Chinese)
[1] PU LiXia, ZHANG JiaRui, YE JianPing, HUANG XiuLan, FAN GaoQiong, YANG HongKun. The Combined Effects of 16, 17-Dihydro Gibberellin A5 and Straw Mulching on Tillering and Grain Yield of Dryland Wheat [J]. Scientia Agricultura Sinica, 2025, 58(9): 1735-1748.
[2] GUO ChenLi, LIU Yang, CHEN Yan, HU Wei, WANG YouHua, ZHOU ZhiGuo, ZHAO WenQing. Effects of Phosphorus Fertilizer Postpone Under Nitrogen Reduction Condition on Yield, Phosphorus Fertilizer Utilization Efficiency of Drip-Irrigated Cotton [J]. Scientia Agricultura Sinica, 2025, 58(9): 1749-1766.
[3] LIU JinSong, WU LongMei, BAO XiaoZhe, LIU ZhiXia, ZHANG Bin, YANG TaoTao. Effects of a Short-Term Reduction in Nitrogen Fertilizer Application Rates on the Grain Yield and Rice Quality of Early and Late-Season Dual-Use Rice in South China [J]. Scientia Agricultura Sinica, 2025, 58(8): 1508-1520.
[4] WEI WenHua, LI Pan, SHAO GuanGui, FAN ZhiLong, HU FaLong, FAN Hong, HE Wei, CHAI Qiang, YIN Wen, ZHAO LianHao. Response of Silage Maize Yield and Quality to Reduced Irrigation and Combined Organic-Inorganic Fertilizer in Northwest Irrigation Areas [J]. Scientia Agricultura Sinica, 2025, 58(8): 1521-1534.
[5] XUE YuQi, ZHAO JiYu, SUN WangSheng, REN BaiZhao, ZHAO Bin, LIU Peng, ZHANG JiWang. Effects of Different Nitrogen Forms on Yield and Quality of Summer Maize [J]. Scientia Agricultura Sinica, 2025, 58(8): 1535-1549.
[6] LI ShaoXing, SONG WenFeng, WEI ZeYu, ZHOU YuLing, SONG LiXia, REN Ke, MA Qun, WANG LongChang. Effects of Straw and Milk Vetch Mulching on Soil Fertility and Sweet Potato Yield [J]. Scientia Agricultura Sinica, 2025, 58(8): 1591-1603.
[7] YIN Bo, YU AiZhong, WANG PengFei, YANG XueHui, WANG YuLong, SHANG YongPan, ZHANG DongLing, LIU YaLong, LI Yue, WANG Feng. Effects of Green Manure Returning Combined with Nitrogen Fertilizer Reduction on Hydrothermal Characteristics of Wheat Field and Grain Yield in Oasis Irrigation Area [J]. Scientia Agricultura Sinica, 2025, 58(7): 1366-1380.
[8] CHEN GuiPing, LI Pan, SHAO GuanGui, WU XiaYu, YIN Wen, ZHAO LianHao, FAN ZhiLong, HU FaLong. The Regulatory Effect of Reduced Irrigation and Combined Organic- Inorganic Fertilizer Application on Stay-Green Characteristics in Silage Maize Leaves After Tasseling Stage [J]. Scientia Agricultura Sinica, 2025, 58(7): 1381-1396.
[9] TIAN LiWen, LOU ShanWei, ZHANG PengZhong, DU MingWei, LUO HongHai, LI Jie, PAHATI MaiMaiTi, MA TengFei, ZHANG LiZhen. Analysis of Problems and Pathways for Increasing Cotton Yield per Unit Area in Xinjiang Under Green and Efficient Production Mode [J]. Scientia Agricultura Sinica, 2025, 58(6): 1102-1115.
[10] ZHANG HongCheng, XING ZhiPeng, ZHANG RuiHong, SHAN Xiang, XI XiaoBo, CHENG Shuang, WENG WenAn, HU Qun, CUI PeiYuan, WEI HaiYan. Characteristics and Technical Approaches of Integrated Unmanned High-Yield Cultivation of Wheat [J]. Scientia Agricultura Sinica, 2025, 58(5): 864-876.
[11] ZHANG Han, ZHANG YuQi, LI JingLai, XU Hong, LI WeiHuan, LI Tao. Effects of LED Supplementary Lighting on Production and Leaf Physiological Properties of Substrate-Cultivated Strawberry in Chinese Solar Greenhouse [J]. Scientia Agricultura Sinica, 2025, 58(5): 975-990.
[12] CHEN Ge, GU Yu, WEN Jiong, FU YueFeng, HE Xi, LI Wei, ZHOU JunYu, LIU QiongFeng, WU HaiYong. Effects of Fallow Weeds Returning to the Field on Photosynthetic Matter Production and Yield of Rice [J]. Scientia Agricultura Sinica, 2025, 58(4): 647-659.
[13] SU Ming, LI FanGuo, HONG ZiQiang, ZHOU Tian, LIU QiangJuan, BAN WenHui, WU HongLiang, KANG JianHong. Antioxidant Characterization of Nitrogen Application for Mitigating Potato Senescence Post-Flowering Under High Temperature Stress [J]. Scientia Agricultura Sinica, 2025, 58(4): 660-675.
[14] SHI Fan, LI WenGuang, YI ShuSheng, YANG Na, CHEN YuMeng, ZHENG Wei, ZHANG XueChen, LI ZiYan, ZHAI BingNian. The Variation Characteristics of Soil Organic Carbon Fractions Under the Combined Application of Organic and Inorganic Fertilizers [J]. Scientia Agricultura Sinica, 2025, 58(4): 719-732.
[15] LUO YiNuo, LI YanFei, LI WenHu, ZHANG SiQi, MU WenYan, HUANG Ning, SUN RuiQing, DING YuLan, SHE WenTing, SONG WenBin, LI XiaoHan, SHI Mei, WANG ZhaoHui. Iron Concentrations in Grain and Its Different Parts of Newly Developed Wheat Varieties (Lines) in China and Influencing Factors [J]. Scientia Agricultura Sinica, 2025, 58(3): 416-430.
Viewed
Full text


Abstract

Cited

  Shared   
  Discussed   
No Suggested Reading articles found!