





中国农业科学 ›› 2026, Vol. 59 ›› Issue (1): 114-128.doi: 10.3864/j.issn.0578-1752.2026.01.009
郭慧婷1,2,3(
), 孙艳稳1,2,3, 牛毅恒1,2,3, 李亚鹏1,2,3, 李建华1,2,3,*(
), 徐明岗1,2,3,*(
)
收稿日期:2025-02-20
接受日期:2025-07-03
出版日期:2026-01-01
发布日期:2026-01-07
通信作者:
联系方式:
郭慧婷,E-mail:guoht3013011@163.com。
基金资助:
GUO HuiTing1,2,3(
), SUN YanWen1,2,3, NIU YiHeng1,2,3, LI YaPeng1,2,3, LI JianHua1,2,3,*(
), XU MingGang1,2,3,*(
)
Received:2025-02-20
Accepted:2025-07-03
Published:2026-01-01
Online:2026-01-07
摘要:
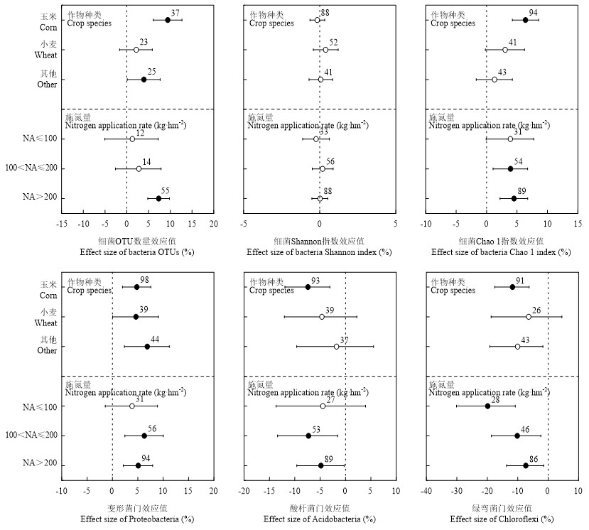
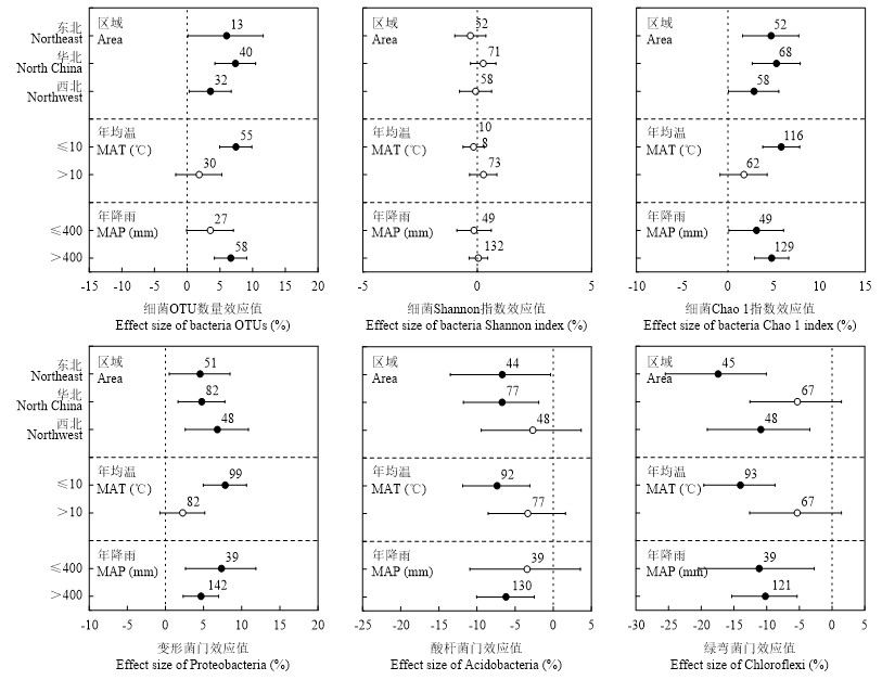
【目的】明确中国北方农田生态系统在不同自然因素、土壤属性和农田管理措施下,土壤细菌多样性和优势菌群对施肥措施的响应及驱动因素,为揭示施肥对土壤微生物群落结构的调控机制、提升土壤生物肥力、维持农田生态系统稳定性提供科学依据。【方法】从2014-2024年间已发表的50篇文献获得207组相对独立的细菌多样性及优势菌群的数据,采用整合分析(Meta-analysis)方法和随机森林模型从施肥措施、区域、气候、土壤pH水平、土壤SOC水平、作物种类和施氮量等方面定量分析施肥对中国北方农田土壤细菌多样性及优势菌群的影响。【结果】总体而言,施肥显著提高了土壤细菌OTU数量(5.6%)、Chao1指数(4.3%)、变形菌门相对丰度(5.3%),但显著降低了酸杆菌门(5.6%)和绿弯菌门相对丰度(10.4%)(P<0.05),对细菌Shannon指数无显著影响。在年均温≤10 ℃、年降雨>400 mm的地区,施肥显著提高土壤细菌OTU数量、Chao1指数及变形菌门相对丰度,但显著降低酸杆菌门和绿弯菌门的相对丰度(P<0.05)。碱性土壤及土壤起始有机碳(SOC)贫瘠(<12 g·kg-1)条件下,施肥显著提高细菌OTU数量、Chao1指数;中性土壤及不同初始SOC条件下,施肥显著提高变形菌门相对丰度,但显著降低酸杆菌门和绿弯菌门相对丰度。相较于种植小麦与其他作物,种植玉米时,施肥提高了细菌OTU数量(9.4%)、Chao1指数(6.4%)及变形菌门相对丰度(4.8%),但显著降低了酸杆菌门(7.4%)及绿弯菌门相对丰度(11.7%)(P<0.05)。施氮量>200 kg·hm-2时,施肥显著提高细菌OTU数量、Chao1指数及变形菌门相对丰度,但显著降低酸杆菌门和绿弯菌门相对丰度。土壤有机碳是影响土壤细菌OTU数量和细菌Shannon指数的主控因素,年降雨是影响细菌Chao1指数的主控因素,年均温是影响土壤细菌变形菌门、酸杆菌门相对丰度的主控因素,pH是影响土壤细菌绿弯菌门相对丰度的主控因素。【结论】建议在中国北方不同区域因地制宜地选择不同施肥措施,充分考虑当地自然因素、土壤属性和农田管理措施,实现科学施肥维持土壤细菌多样性,促进土壤健康。
郭慧婷, 孙艳稳, 牛毅恒, 李亚鹏, 李建华, 徐明岗. 施肥显著改变中国北方农田土壤细菌多样性和优势菌群——Meta分析[J]. 中国农业科学, 2026, 59(1): 114-128.
GUO HuiTing, SUN YanWen, NIU YiHeng, LI YaPeng, LI JianHua, XU MingGang. Fertilization Significantly Changed Soil Bacterial Diversity and Dominant Microbial Community in Croplands of Northern China—Meta Analysis[J]. Scientia Agricultura Sinica, 2026, 59(1): 114-128.
| [1] |
赵慧英, 王海燕. 土壤多功能性及其驱动因素研究进展. 应用与环境生物学报, 2024, 30(3): 615-622.
|
|
|
|
| [2] |
胡志娥, 肖谋良, 丁济娜, 季剑虹, 陈剑平, 葛体达, 鲁顺保. 长期覆膜条件下农田土壤微生物群落的响应特征. 环境科学, 2022, 43(10): 4745-4754.
|
|
|
|
| [3] |
doi: 10.1038/nrmicro.2017.87 pmid: 28824177 |
| [4] |
刘东海, 乔艳, 李双来, 陈云峰, 张智, 李菲, 胡诚. 长期施肥对黄棕壤细菌多样性的影响. 植物营养与肥料学报, 2021, 27 (5): 760-767.
|
|
|
|
| [5] |
|
| [6] |
胡婵娟, 刘国华, 吴雅琼. 土壤微生物生物量及多样性测定方法评述. 生态环境学报, 2011, 20(S1): 1161-1167.
|
|
|
|
| [7] |
谢钧宇, 张慧芳, 罗云琪, 孟会生, 张杰, 洪坚平, 徐明岗. 连续7年施肥提升复垦土壤肥力提高玉米产量的驱动因子. 农业工程学报, 2024, 40(1): 142-152.
|
|
|
|
| [8] |
邢亚薇, 李春越, 刘津, 王益, 井丽娟, 王苁蓉, 薛英龙, 党廷辉. 长期施肥对黄土旱塬农田土壤微生物丰度的影响. 应用生态学报, 2019, 30(4): 1351-1358.
doi: 10.13287/j.1001-9332.201904.003 |
|
|
|
| [9] |
|
| [10] |
胡媛媛, 屈洁, 马琨. 长期施肥对旱作区农田土壤细菌群落组成和多样性的影响. 中国土壤与肥料, 2023(7): 138-148.
|
|
|
|
| [11] |
doi: 10.1016/S1002-0160(18)60040-2 |
| [12] |
练金山, 王慧颖, 徐明岗, 魏文良, 段英华, 刘树堂. 长期施用有机肥潮土细菌的多样性及功能预测. 植物营养与肥料学报, 2021, 27(12): 2073-2082.
|
|
|
|
| [13] |
余腾, 李顺江, 万子维, 阙正扬, 黄国勤, 徐慧芳. 基于长期定位试验的不同施肥处理下旱地红壤微生物的宏基因组学分析. 华中农业大学学报, 2025, 44(1): 148-155.
|
|
|
|
| [14] |
|
| [15] |
|
| [16] |
任凤玲, 张旭博, 孙楠, 徐明岗, 柳开楼. 施用有机肥对中国农田土壤微生物量影响的整合分析. 中国农业科学, 2018, 51(1): 119-128. doi: 10.3864/j.issn.0578-1752.2018.01.011.
|
|
|
|
| [17] |
doi: 10.1111/gcb.16613 pmid: 36751727 |
| [18] |
doi: 10.1016/j.agwat.2019.105934 |
| [19] |
刘丽媛, 徐艳, 朱书豪, 高艺, 郑向群. 有机肥配施对中国农田土壤容重影响的整合分析. 农业资源与环境学报, 2021, 38(5): 867-873.
|
|
|
|
| [20] |
doi: 10.1007/s11104-008-9570-z |
| [21] |
doi: 10.15244/pjoes/61549 |
| [22] |
doi: 10.1890/0012-9658(1999)080[1150:TMAORR]2.0.CO;2 |
| [23] |
doi: 10.1007/s004420050381 |
| [24] |
doi: 10.1080/02664763.2014.989464 |
| [25] |
doi: 10.1111/gcb.12517 pmid: 24395454 |
| [26] |
|
| [27] |
doi: 10.1023/A:1010933404324 |
| [28] |
doi: 10.1016/j.soilbio.2019.03.030 |
| [29] |
doi: 10.3390/agronomy9010014 |
| [30] |
施梦馨, 王豪吉, 土馨雨, 马佳轮, 朱兴果, 白雪, 官会林, 徐武美. 施用有机肥对碱性土壤理化特征与作物生长的影响. 云南师范大学学报(自然科学版), 2022, 42(1): 50-57, 63.
|
|
|
|
| [31] |
王慧颖, 徐明岗, 周宝库, 马想, 段英华. 黑土细菌及真菌群落对长期施肥响应的差异及其驱动因素. 中国农业科学, 2018, 51(5): 914-925. doi: 10.3864/j.issn.0578-1752.2018.05.010.
|
|
|
|
| [32] |
doi: 10.1016/j.soilbio.2015.05.007 |
| [33] |
陈泓硕, 马大龙, 姜雪薇, 刘梦洋, 臧淑英. 季节性冻融对扎龙湿地土壤微生物群落结构和胞外酶活性的影响. 环境科学学报, 2020, 40(4): 1443-1451.
|
|
|
|
| [34] |
doi: 10.1016/j.soilbio.2019.107520 |
| [35] |
doi: 10.1080/03650340.2013.789870 |
| [36] |
doi: 10.1016/j.jenvman.2021.113018 |
| [37] |
马泽跃, 李伟, 陈波浪, 冯雷, 徐巧, 柴仲平. 氮输入对库尔勒香梨园土壤细菌群落的影响. 经济林研究, 2024, 42(1): 247-265.
|
|
|
|
| [38] |
杨文叶, 季淑枫, 李丹, 周航, 王京文. 连续施用商品有机肥对耕地质量及蔬菜产量的影响. 农业资源与环境学报, 2014, 31(4): 319-322.
|
|
|
|
| [39] |
徐明岗, 段英华, 白珊珊, 张文菊, 孙楠. 基于长期定位试验的土壤健康研究与展望. 植物营养与肥料学报, 2024, 30(7): 1253-1261.
|
|
|
|
| [40] |
doi: 10.1016/j.soilbio.2018.09.010 |
| [41] |
马龙, 高伟, 栾好安, 唐继伟, 李明悦, 黄绍文. 基于宏基因组学方法分析施肥模式对设施菜田土壤微生物群落的影响. 植物营养与肥料学报, 2021, 27(3): 403-416.
|
|
|
|
| [42] |
方海瑞, 刘俊杰, 陈雪丽, 姜宇, 刘株秀, 顾海东, 万书明, 肖洋. 长期有机肥和化肥配施对黑土细菌群落特征和大豆产量的影响. 中国生态农业学报(中英文), 2024, 32(5): 804-815.
|
|
|
|
| [43] |
朱金山, 张慧, 马连杰, 廖敦秀, 杨星勇, 王龙昌, 王定勇. 不同沼灌年限稻田土壤微生物群落分析. 环境科学, 2018, 39(5): 2400-2411.
|
|
|
|
| [44] |
孙琪, 王向东, 安海龙, 马艳芝, 张胜珍, 王晓英, 沈玉龙, 客绍英. 不同施肥措施对黄芩根际微生物群落结构的影响. 中国土壤与肥料, 2024(4): 45-52.
|
|
|
|
| [45] |
doi: 10.1016/j.geoderma.2018.01.010 |
| [46] |
黄媛, 朱艳霞, 韦范, 林杨, 汤丹峰. 不同施肥量对仙草产量和土壤微生物多样性的影响. 中国农学通报, 2024, 40(20): 65-72.
doi: 10.11924/j.issn.1000-6850.casb2023-0603 |
|
|
|
| [47] |
王钊, 张冰, 董思奇, 胡雨翕, 齐书宇, 冯国忠, 高强, 周雪. 长期施用氮肥对黑土和风沙土根际微生物群落结构及功能的影响. 中国农业科学, 2025, 58(3): 520-537. doi: 10.3864/j.issn.0578-1752.2025.03.009.
|
|
|
|
| [48] |
李婷, 葛安辉, 孙志梅, 刘四义, 张丽梅, 韩雪梅. 山药不同施肥管理下土壤碳氮养分和微生物群落分异特征. 农业环境科学学报, 2025, 44(1): 73-84.
|
|
|
|
| [49] |
张晓花, 温昌焘, 王克勤, 宋娅丽, 杨昕, 陈炳绅. 施肥措施对滇中植烟土壤细菌群落结构和功能的影响. 烟草科技, 2024, 57(7): 65-74.
|
|
|
|
| [50] |
doi: 10.1016/j.ejsobi.2012.10.008 |
| [51] |
陈末, 朱新萍, 蒋靖佰伦, 买迪努尔·阿不来孜, 孙涛, 贾宏涛. 冻融期巴音布鲁克高寒湿地土壤细菌群落变化及其响应机制. 农业环境科学学报, 2020, 39(1): 134-142.
|
|
|
|
| [52] |
doi: 10.1038/s41558-021-00989-9 |
| [53] |
doi: 10.1038/s41558-018-0254-2 |
| [54] |
刘佳, 陈晓芬, 刘明, 吴萌, 王伯仁, 蔡泽江, 张桃林, 李忠佩. 长期施肥对旱地红壤细菌群落的影响. 土壤学报, 2020, 57(2): 468-478.
|
|
|
|
| [55] |
doi: 10.1007/s10021-004-0149-0 |
| [1] | 李伟晶, 王洪媛, 徐洋, 李浩, 翟丽梅, 刘宏斌. 稻蟹共生系统稻田水-土界面微生物群落结构特征[J]. 中国农业科学, 2024, 57(18): 3551-3567. |
| [2] | 房康睿, 龙世平, 彭斯文, 陈山, 廖育林, 徐新朋, 赵士诚, 仇少君, 何萍, 周卫. 洞庭湖区典型稻田玉米水稻轮作下土壤—作物系统对施氮措施的响应[J]. 中国农业科学, 2024, 57(10): 1979-1994. |
| [3] | 张旭, 韩金妤, 李晨晨, 张丹丹, 吴启蒙, 刘胜杰, 焦韩轩, 黄硕, 李春莲, 王长发, 曾庆东, 康振生, 韩德俊, 吴建辉. 结合基因关联和转录组分析鉴定小麦成株期抗条锈病位点YrZ501-2BL的候选基因[J]. 中国农业科学, 2023, 56(8): 1429-1443. |
| [4] | 张学林,何堂庆,张晨曦,田明慧,李晓立,吴梅,周亚男,郝晓峰. 丛枝菌根真菌对玉米生育期土壤N2O排放的影响[J]. 中国农业科学, 2022, 55(10): 2000-2012. |
| [5] | 邓丽娟,焦小强. 氮管理对冬小麦产量和品质影响的整合分析[J]. 中国农业科学, 2021, 54(11): 2355-2365. |
| [6] | 杨欣润,许邶,何治逢,吴婧,庄睿花,马超,柴如山,YusefKianpoorKalkhajeh,叶新新,朱林. 整合分析中国农田腐秆剂施用对秸秆腐解和作物产量的影响[J]. 中国农业科学, 2020, 53(7): 1359-1367. |
| [7] | 李亚林,张旭博,任凤玲,孙楠,徐梦,徐明岗. 长期施肥对中国农田土壤溶解性有机碳氮含量影响的整合分析[J]. 中国农业科学, 2020, 53(6): 1224-1233. |
| [8] | 马登科,殷俐娜,刘溢健,杨文稼,邓西平,王仕稳. 施氮量对黄土高原旱地冬小麦产量和水分利用 效率影响的整合分析[J]. 中国农业科学, 2020, 53(3): 486-499. |
| [9] | 杨竣皓,骆永丽,陈金,金敏,王振林,李勇. 秸秆还田对我国主要粮食作物产量效应的整合(Meta)分析[J]. 中国农业科学, 2020, 53(21): 4415-4429. |
| [10] | 商丽荣,万里强,李向林. 有机肥对羊草草原土壤细菌群落多样性的影响[J]. 中国农业科学, 2020, 53(13): 2614-2624. |
| [11] | 郭俊杰,柴以潇,李玲,高丽敏,谢凯柳,凌宁,郭世伟. 江苏省水稻减肥增产的潜力与机制分析[J]. 中国农业科学, 2019, 52(5): 849-859. |
| [12] | 张晓丽,张宏媛,卢闯,逄焕成,靳存旺,高喜,程挨平,李玉义. 河套灌区不同秋浇年限对土壤细菌群落的影响[J]. 中国农业科学, 2019, 52(19): 3380-3392. |
| [13] | 任科宇,段英华,徐明岗,张旭博. 施用有机肥对我国作物氮肥利用率影响的整合分析[J]. 中国农业科学, 2019, 52(17): 2983-2996. |
| [14] | 任凤玲,张旭博,孙楠,徐明岗,柳开楼. 施用有机肥对中国农田土壤微生物量影响的整合分析[J]. 中国农业科学, 2018, 51(1): 119-128. |
| [15] | 魏欢欢,王仕稳,杨文稼,孙海妮,殷俐娜,邓西平. 免耕及深松耕对黄土高原地区春玉米和冬小麦产量及水分利用效率影响的整合分析[J]. 中国农业科学, 2017, 50(3): 461-473. |
|
||