Scientia Agricultura Sinica ›› 2026, Vol. 59 ›› Issue (6): 1255-1271.doi: 10.3864/j.issn.0578-1752.2026.06.009

• SOIL & FERTILIZER·WATER-SAVING IRRIGATION·AGROECOLOGY & ENVIRONMENT • Previous Articles     Next Articles

Characteristics of Organic Carbon Fractions and Carbon Dioxide Emissions of Different Size Aggregates in Rice Field Soils in Response to Long-Term Fertilization

LI XingYu(), HUANG Rong(), XIAN YiMing, TIAN JiaoJiao, MA XiaoJin, YANG QiaoXi, LI Bing, WANG ChangQuan   

  1. College of Resources, Sichuan Agricultural University, Chengdu 611130
  • Received:2025-05-16 Accepted:2025-07-22 Online:2026-03-16 Published:2026-03-24
  • Contact: HUANG Rong

Abstract:

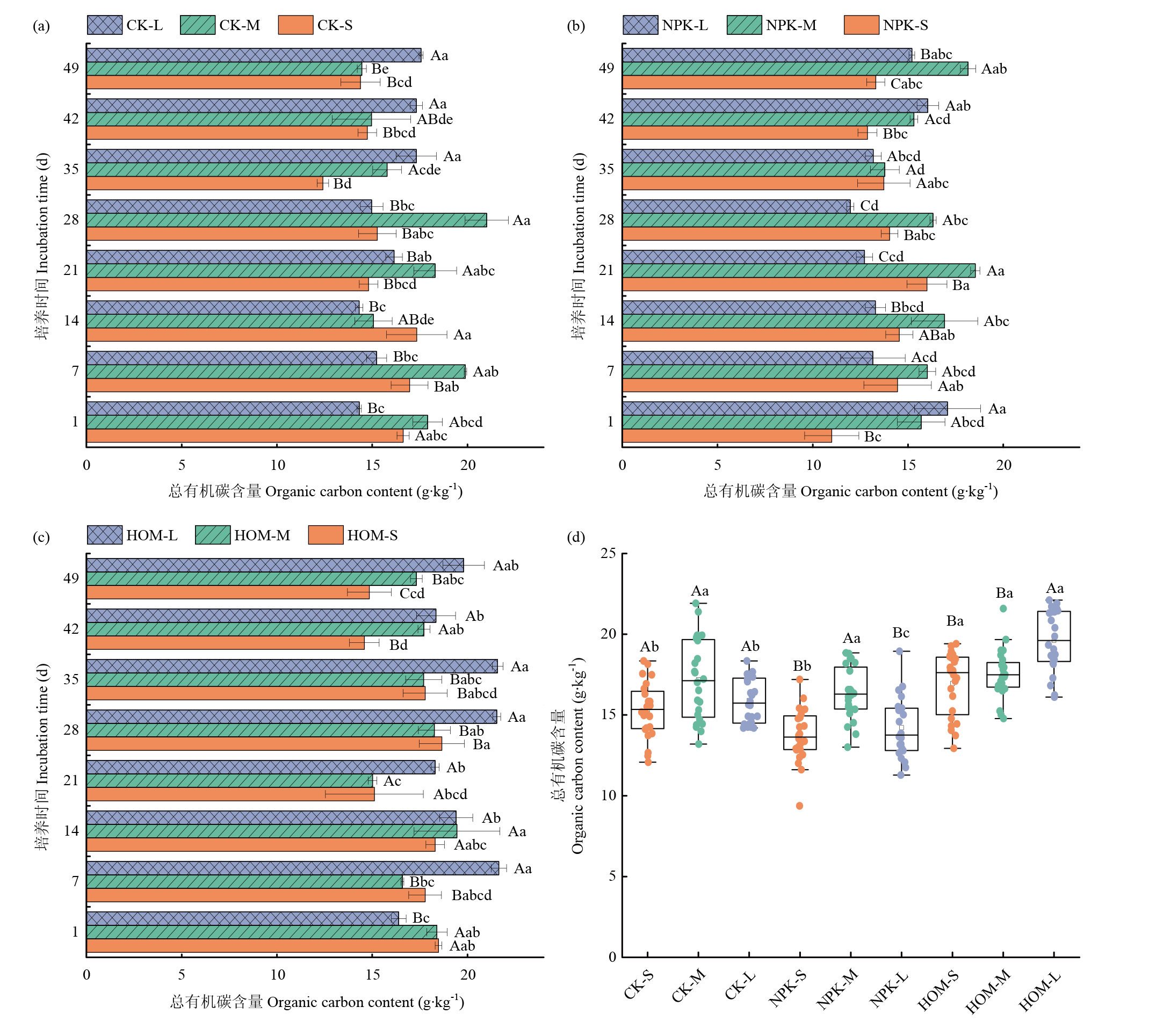
【Objective】This study aimed to investigate the dynamic characteristics of organic carbon (OC) and its fractions, carbon dioxide (CO2) emissions in different particle size aggregates under different fertilization regimes in paddy soil, and to analyze the influencing factors, so as to provide a scientific foundation for enhancing carbon sequestration and CO2 emission reduction in paddy soils from an aggregate perspective. 【Method】Based on a soil incubation experiment, and using dichromate volumetric method, physical separation method and headspace periodic gas collection-gas chromatography, the OC and its fractions, CO2 emission characteristics of different particle size aggregates (<0.25 mm, 0.25-1 mm, 1-2 mm) were comparatively analyzed under different fertilization treatments (no fertilization, CK; conventional fertilization, NPK; and 50% substitution for 50% nitrogen fertilizers, HOM). 【Result】 (1) The NPK treatment decreased OC content in 1-2 mm aggregates compared with the CK. In contrast, compared with NPK, the OC content of aggregates treated with HOM treatment increased by 5.8% to 29.4%, respectively. Both fertilization treatments (NPK and HOM) significantly enhanced the content of particulate organic carbon (POC) in 0.25-1 mm and 1-2 mm aggregates, with increases of 37.4%-79.6% and 4.3%-47.8% compared with CK, respectively, and HOM facilitated the turnover of mineral-associated organic carbon (MAOC) from 1-2 mm to <0.25 mm aggregates. (2) There were significant differences in the correlations between POC, MAOC, and OC across various aggregate particle sizes. For <0.25 mm aggregates, both POC and MAOC exhibited significantly positive correlations with OC content. For 0.25-1 mm aggregates, a significant positive correlation existed between MAOC and OC content. For 0.25-1 mm aggregates, a significant positive correlation existed between POC and OC content. (3) During the incubation experiment period, cumulative CO2 emissions of <0.25 mm aggregates were the lowest, which significantly reduced by 51.0%-83.7% and 23.1%-89.9% compared with 0.25-1 mm and 1-2 mm aggregates, respectively. Compared with NPK, HOM treatment significantly reduced the cumulative CO2 emissions in <0.25 mm and 0.25-1 mm aggregates by 146.27 and 364.27 g·kg-1, respectively, which was related to the changes in organic carbon fractions and the increase of aggregate pH and C/N under HOM treatment. 【Conclusion】Different fertilization regimes have altered the OC and its fractions, CO2 emissions in different particle size aggregates. In detail, organic substitution promoted the accumulation of OC in aggregates, significantly increasing the POC content in 0.25-1 mm and 1-2 mm aggregates. Concurrently, it promoted the transfer of MAOC from 1-2 mm to <0.25 mm aggregates, while significantly reducing the CO2 emissions in <0.25 mm and 0.25-1 mm aggregated relative to conventional fertilization. Overall, organic substitution for 50% nitrogen fertilizers was beneficial for reducing the CO2 emissions of <0.25 mm and 0.25-1 mm aggregates in paddy field and enhancing the stability of organic carbon.

Key words: long-term fertilization, aggregates, organic carbon fraction, CO2 emissions, organic substitution, rice field

Table 1

Basic physical and chemical properties of soil"

pH 有机质
Organic matter (g·kg-1)
全氮
Total nitrogen (g·kg-1)
全磷
Total phosphorus (g·kg-1)
全钾
Total potassium
(g·kg-1)
碱解氮
Available nitrogen (mg·kg-1)
速效磷
Available phosphorus (mg·kg-1)
速效钾
Available potassium (mg·kg-1)
6.63 28.40 1.40 0.88 22.25 113.00 8.50 53.00

Fig. 1

Organic carbon content in different size aggregate under different fertilization treatments Different capital letters indicate the significant differences of organic carbon content in different size aggregates under the same incubation time and fertilization treatment, and different lowercase letters indicate the significant differences at different incubation time under the same particle size and fertilization treatment in bar chart (a-c) (P<0.05); Different capital letters indicate the significant differences between soil aggregates of different particle size under the same fertilization treatment, and different lowercase letters indicate the significant differences at different fertilization treatment under the same particle size in box chart (d) (P<0.05)"

Fig. 2

Soil POC, MAOC and DOC content in different size aggregate under different fertilization treatments Different capital letters indicate the significant differences of POC, MAOC, DOC in different size aggregates under the same incubation time and fertilization treatment, and different lowercase letters indicate the significant differences at different incubation time under the same particle size and fertilization treatment in bar chart (a-i) (P<0.05); Different capital letters indicate the significant differences between soil aggregates of different particle size under the same fertilization treatment, and different lowercase letters indicate the significant differences at different fertilization treatment under the same particle size in box chart (j-l) (P<0.05)"

Table 2

Analysis of variance of influencing factors of aggregate organic carbon and its fractions"

培养时间
Incubation time,
T
施肥措施
Fertilization,
F
团聚体粒级
Size of aggregates,
S
培养时间×
施肥措施
T×F
施肥措施×
团聚体粒级
F×S
团聚体粒级×
培养时间
S×T
培养时间×施肥措施×
团聚体粒级
T×F×S
OC P=0.001 P<0.0001 P<0.0001 P<0.0001 P<0.0001 P<0.0001 P<0.0001
POC P<0.0001 P<0.0001 P<0.0001 P<0.0001 P<0.0001 P<0.0001 P<0.0001
MAOC P<0.0001 P<0.0001 P<0.0001 P<0.0001 P<0.0001 P<0.0001 P<0.0001
DOC P<0.0001 P<0.0001 P<0.0001 P<0.0001 P<0.0001 P<0.0001 P<0.0001

Fig. 3

Soil pH (a), TN (b), and C/N (c) distribution in different aggregate sizes under different fertilization treatments Different capital letters indicate the significant differences of pH, TN, C/N in different size aggregates under the same fertilization treatment, and different lowercase letters indicate the significant differences at different fertilization treatment under the same size aggregates in the box chart (P<0.05)"

Fig. 4

The CO2 flux and cumulative emissions in different aggregate sizes under different fertilization treatments Different capital letters indicate the significant differences of CO2 cumulative emissions in different size aggregates under the same fertilization treatment, and different lowercase letters indicate the significant differences at different fertilization treatment under the same size aggregates (P<0.05). * Indicates the differences in CO2 cumulative emissions among different fertilization treatments (P<0.05)"

Fig. 5

The changes in soil iron forms (a) and microbial residues (b) and the linear relationship between OC and POC, MAOC in different size aggregates (c-e), and under different fertilization treatments"

Fig. 6

Random Forest of soil factors on CO2 emissions in soil aggregates (a) and spearman analysis between DOC and POC, MAOC (b)"

[1]
FRIEDLINGSTEIN P, O'SULLIVAN M, JONES M, ANDREW ROBBIE M, BAKKER DOROTHEE C E, HAUCK J, LANDSCHüTZER P, LE QUéRé C, LUIJKX I, PETERS GLEN P, et al. Global carbon budget 2023. Earth System Science Data, 2023, 15: 5301-5369.

doi: 10.5194/essd-15-5301-2023
[2]
LIU Y L, GE T D, VAN GROENIGEN K J, YANG Y H, WANG P, CHENG K, ZHU Z K, WANG J K, LI Y, GUGGENBERGER G, et al. Rice paddy soils are a quantitatively important carbon store according to a global synthesis. Communications Earth & Environment, 2021, 2: 154.
[3]
张昊鑫, 于晟玥, 雷秋良, 杜新忠, 张继宗, 安妙颖, 樊秉乾, 罗加法, 刘宏斌. 基于RothC模型的东北旱地和稻田土壤有机碳动态变化模拟研究. 中国农业科学, 2025, 58(8): 1564-1578. doi: 10.3864/j.issn.0578-1752.2025.08.008.
ZHANG H X, YU S Y, LEI Q L, DU X Z, ZHANG J Z, AN M Y, FAN B Q, LUO J F, LIU H B. Simulating soil organic carbon dynamic changes in dryland and paddy field of Northeast China using RothC model. Scientia Agricultura Sinica, 2025, 58(8): 1564-1578. doi: 10.3864/j.issn.0578-1752.2025.08.008. (in Chinese)
[4]
WANG Y L, WU P N, QIAO Y B, LI Y M, LIU S M, GAO C K, LIU C S, SHAO J, YU H L, ZHAO Z H, et al. The potential for soil C sequestration and N fixation under different planting patterns depends on the carbon and nitrogen content and stability of soil aggregates. Science of the Total Environment, 2023, 897: 165430.

doi: 10.1016/j.scitotenv.2023.165430
[5]
CHENG M, CHEN Z X, SHI T, MA H Y, WEN Y L, LI P W, XU M G. Soil aggregate carbon stocks and sequestration efficiency under long-term fertilization across China’s croplands. Soil and Tillage Research, 2026, 255: 106828.

doi: 10.1016/j.still.2025.106828
[6]
SIX J, BOSSUYT H, DEGRYZE S, DENEF K. A history of research on the link between (micro)aggregates, soil biota, and soil organic matter dynamics. Soil and Tillage Research, 2004, 79(1): 7-31.

doi: 10.1016/j.still.2004.03.008
[7]
何志腾, 夏栋, 罗婷, 蒋佳媛, 赵冰琴, 付亮, 吴琼. 鄂西喀斯特小流域土地利用变化对土壤团聚体稳定性及有机碳储量的影响. 中国水土保持科学(中英文), 2025, 23(1): 200-210.
HE Z T, XIA D, LUO T, JIANG J Y, ZHAO B Q, FU L, WU Q. Effects of land use change on soil aggregate stability and organic carbon stock in the small watershed of western Hubei karst area. Science of Soil and Water Conservation, 2025, 23(1): 200-210. (in Chinese)
[8]
VAN DEN BERGH S G, CHARDON I, LEITE M F A, KORTHALS G W, MAYER J, COUGNON M, REHEUL D, DE BOER W, BODELIER P L E. Soil aggregate stability governs field greenhouse gas fluxes in agricultural soils. Soil Biology and Biochemistry, 2024, 191: 109354.

doi: 10.1016/j.soilbio.2024.109354
[9]
MUSTAFA A, XU M G, ALI SHAH S A, ABRAR M M, SUN N, WANG B R, CAI Z J, SAEED Q, NAVEED M, MEHMOOD K, NÚÑEZ-DELGADO A. Soil aggregation and soil aggregate stability regulate organic carbon and nitrogen storage in a red soil of Southern China. Journal of Environmental Management, 2020, 270: 110894.

doi: 10.1016/j.jenvman.2020.110894
[10]
KING A E, CONGREVES K A, DEEN B, DUNFIELD K E, VORONEY R P, WAGNER-RIDDLE C. Quantifying the relationships between soil fraction mass, fraction carbon, and total soil carbon to assess mechanisms of physical protection. Soil Biology and Biochemistry, 2019, 135: 95-107.

doi: 10.1016/j.soilbio.2019.04.019
[11]
BLANKINSHIP J C, FONTE S J, SIX J, SCHIMEL J P. Plant versus microbial controls on soil aggregate stability in a seasonally dry ecosystem. Geoderma, 2016, 272: 39-50.

doi: 10.1016/j.geoderma.2016.03.008
[12]
于雯霏, 王佩佩, 刘俊娥, 周正朝, 游犇. 黄土高原典型植被根系对土壤团聚体及其有机碳组分的影响. 水土保持学报, 2023, 37(6): 246-254.
YU W F, WANG P P, LIU J E, ZHOU Z Z, YOU B. Effects of typical vegetation roots on soil aggregates and their organic carbon fractions on the Loess Plateau. Journal of Soil and Water Conservation, 2023, 37(6): 246-254. (in Chinese)
[13]
ZHOU Z H, REN C J, WANG C K, DELGADO-BAQUERIZO M, LUO Y Q, LUO Z K, DU Z G, ZHU B, YANG Y H, JIAO S, et al. Global turnover of soil mineral- associated and particulate organic carbon. Nature Communications, 2024, 15: 5329.

doi: 10.1038/s41467-024-49743-7
[14]
NIU Y L, LI Y, LOU M X, CHENG Z, MA R J, GUO H, ZHOU J, JIA H T, FAN L C, WANG T C. Microbial transformation mechanisms of particulate organic carbon to mineral-associated organic carbon at the chemical molecular level: Highlighting the effects of ambient temperature and soil moisture. Soil Biology and Biochemistry, 2024, 195: 109454.

doi: 10.1016/j.soilbio.2024.109454
[15]
LIU M L, ZHENG S L, PENDALL E, SMITH P, LIU J J, LI J Q, FANG C M, LI B, NIE M. Unprotected carbon dominates decadal soil carbon increase. Nature Communications, 2025, 16: 2008.

doi: 10.1038/s41467-025-57354-z
[16]
薛志婧, 李霄云, 焦磊, 杨阳, 窦艳星, 王宝荣, 黄倩, 刘春晖, 屈婷婷, 周正朝, 安韶山. 土壤矿质结合态有机碳形成及稳定机制的研究进展. 水土保持学报, 2023, 37(5): 12-23.
XUE Z J, LI X Y, JIAO L, YANG Y, DOU Y X, WANG B R, HUANG Q, LIU C H, QU T T, ZHOU Z Z, AN S S. Advance in the formation and stabilization mechanisms of soil mineral-associated organic carbon. Journal of Soil and Water Conservation, 2023, 37(5): 12-23. (in Chinese)
[17]
LU X F, HOU E Q, GUO J Y, GILLIAM F S, LI J L, TANG S B, KUANG Y W. Nitrogen addition stimulates soil aggregation and enhances carbon storage in terrestrial ecosystems of China: A meta-analysis. Global Change Biology, 2021, 27(12): 2780-2792.

doi: 10.1111/gcb.15604 pmid: 33742519
[18]
唐开钊, 张君耀, 吴聪, 王帅, 廖文娟, 尹力初, 周卫军, 崔浩杰. 不同坡位柑橘园土壤团聚体矿物结合态有机碳矿化特征. 土壤学报, 2024, 61(6): 1639-1652.
TANG K Z, ZHANG J Y, WU C, WANG S, LIAO W J, YIN L C, ZHOU W J, CUI H J. Mineralization characteristics of mineral- associated organic carbon in Citrus orchards soil aggregates at different slope positions. Acta Pedologica Sinica, 2024, 61(6): 1639-1652. (in Chinese)
[19]
KING A E, SOKOL N W. Soil carbon formation is promoted by saturation deficit and existing mineral-associated carbon, not by microbial carbon-use efficiency. Science Advances, 2025, 11(24): eadv9482.

doi: 10.1126/sciadv.adv9482
[20]
LEI X, SHEN Y T, ZHAO J N, HUANG J J, WANG H, YU Y, XIAO C W. Root exudates mediate the processes of soil organic carbon input and efflux. Plants, 2023, 12(3): 630.

doi: 10.3390/plants12030630
[21]
LAVALLEE J M, SOONG J L, COTRUFO M F. Conceptualizing soil organic matter into particulate and mineral-associated forms to address global change in the 21st century. Global Change Biology, 2020, 26(1): 261-273.

doi: 10.1111/gcb.14859 pmid: 31587451
[22]
汪洋, 杨殿林, 王丽丽, 赵建宁, 刘红梅, 谭炳昌, 王慧, 王明亮, 黄进, 张小福. 农田管理措施对土壤有机碳周转及微生物的影响. 农业资源与环境学报, 2020, 37(3): 340-352.
WANG Y, YANG D L, WANG L L, ZHAO J N, LIU H M, TAN B C, WANG H, WANG M L, HUANG J, ZHANG X F. Effects of farmland management measures on soil organic carbon turnover and microorganisms. Journal of Agricultural Resources and Environment, 2020, 37(3): 340-352. (in Chinese)
[23]
王鸣腾, 曾冲, 李帅, 蔡迦铭, 楚静雅, 周明远, 王宜伦, 苗玉红, 李刚, 刘雪峰, 李岚涛. 不同发酵方式猪粪堆肥配施化肥对夏玉米土壤理化特性及NH3挥发影响研究. 中国生态农业学报(中英文), 2025, 33(8): 1492-1505.
WANG M T, ZENG C, LI S, CAI J M, CHU J Y, ZHOU M Y, WANG Y L, MIAO Y H, LI G, LIU X F, LI L T. Effects of combined application of swine manure compost fermented by different methods with chemical fertilizer on soil physicochemical properties and NH3 volatilization of summer maize. Chinese Journal of Eco-Agriculture, 2025, 33(8): 1492-1505. (in Chinese)
[24]
李桂花, 郭俊娒, 姜慧敏, 张建峰. 有机肥和秸秆炭分别替代部分尿素和秸秆降低黑土温室效应的效果. 植物营养与肥料学报, 2018, 24(6): 1566-1573.
LI G H, GUO J M, JIANG H M, ZHANG J F. Partal substitution of urea and maize straw with manure and straw biochar decrease net greenhouse effect in black soil. Journal of Plant Nutrition and Fertilizers, 2018, 24(6): 1566-1573. (in Chinese)
[25]
XU J S, ZHAO B Z, CHU W Y, MAO J D, OLK D C, XIN X L, ZHANG J B. Altered humin compositions under organic and inorganic fertilization on an intensively cultivated sandy loam soil. Science of the Total Environment, 2017, 601: 356-364.
[26]
SUN X D, ZHANG C Y, LIU K L, XU M G, CAI A D. Long-term manure application enhances carbon use efficiency in soil aggregates by regulating microbial communities in cropland. Soil Biology and Biochemistry, 2025, 210: 109945.

doi: 10.1016/j.soilbio.2025.109945
[27]
鲍士旦. 土壤农化分析. 北京: 中国农业出版社, 2023.
BAO S D. Soil Agro-chemistrical Analysis. Beijing: China Agriculture Press, 2023. (in Chinese)
[28]
陈小梅, 刘菊秀, 邓琦, 褚国伟, 周国逸, 张德强. 降水变率对森林土壤有机碳组分与分布格局的影响. 应用生态学报, 2010, 21(5): 1210-1216.
CHEN X M, LIU J X, DENG Q, CHU G W, ZHOU G Y, ZHANG D Q. Effects of precipitation intensity on soil organic carbon fractions and their distribution under subtropical forests of South China. Chinese Journal of Applied Ecology, 2010, 21(5): 1210-1216. (in Chinese)
[29]
周国朋, 曹卫东, 白金顺, 聂军, 徐昌旭, 曾闹华, 高嵩涓, 王艳秋, 志水胜好. 多年紫云英-双季稻下不同施肥水平对两类水稻土有机质及可溶性有机质的影响. 中国农业科学, 2016, 49(21): 4096-4106. doi: 10.3864/j.issn.0578-1752.2016.21.004.
ZHOU G P, CAO W D, BAI J S, NIE J, XU C X, ZENG N H, GAO S J, WANG Y Q, ZHI S S H. Effects of different fertilization levels on soil organic matter and dissolved organic matter in two paddy soils after multi-years' rotation of Chinese milk vetch and double-cropping rice. Scientia Agricultura Sinica, 2016, 49(21): 4096-4106. doi: 10.3864/j.issn.0578-1752.2016.21.004. (in Chinese)
[30]
ZHAO J N, FENG X H, HU J, HE M, WANG S Y, YANG Y H, CHEN L Y. Mineral and microbial properties drive the formation of mineral-associated organic matter and its response to increased temperature. Global Change Biology, 2024, 30(12): e70004.

doi: 10.1111/gcb.v30.12
[31]
李彬彬, 武兰芳. 土壤温室气体排放对C/N的响应. 农业环境科学学报, 2018, 37(9): 2067-2078.
LI B B, WU L F. Soil greenhouse gases emission in response to the C/N. Journal of Agro-Environment Science, 2018, 37(9): 2067-2078. (in Chinese)
[32]
马静, 陆昕昱, 宋俊杰, 孙丽英. 有机肥和生物菌剂对菜地土壤N2O排放及土壤团聚体的影响. 农业环境科学学报, 2026, 45(1): 251-261.
MA J, LU X Y, SONG J J, SUN L Y. Effects of organic fertilizer and microbial agent application on soil N2O emission and soil aggregate in vegetable fields. Journal of Agro-Environment Science, 2026, 45(1): 251-261. (in Chinese)
[33]
李天娇, 张乃于, 申文艳, 宋天昊, 刘红芳, 刘晓燕, 张秀芝, 彭畅, 杨劲峰, 张淑香. 长期施肥对黑土和棕壤团聚体稳定性的影响及驱动因素. 中国农业科学, 2024, 57(19): 3835-3847. doi: 10.3864/j.issn.0578-1752.2024.19.010.
LI T J, ZHANG N Y, SHEN W Y, SONG T H, LIU H F, LIU X Y, ZHANG X Z, PENG C, YANG J F, ZHANG S X. Effects of long-term fertilization on soil aggregate stability and its driving factors in black soil and brown soil. Scientia Agricultura Sinica, 2024, 57(19): 3835-3847. doi: 10.3864/j.issn.0578-1752.2024.19.010. (in Chinese)
[34]
HAYNES R J, NAIDU R. Influence of lime, fertilizer and manure applications on soil organic matter content and soil physical conditions: A review. Nutrient Cycling in Agroecosystems, 1998, 51(2): 123-137.

doi: 10.1023/A:1009738307837
[35]
HE Y B, XU C, GU F, WANG Y, CHEN J Z. Soil aggregate stability improves greatly in response to soil water dynamics under natural rains in long-term organic fertilization. Soil and Tillage Research, 2018, 184: 281-290.

doi: 10.1016/j.still.2018.08.008
[36]
VERMA S, SHARMA P K. Effect of long-term manuring and fertilizers on carbon pools, soil structure, and sustainability under different cropping systems in wet-temperate zone of northwest Himalayas. Biology and Fertility of Soils, 2007, 44(1): 235-240.

doi: 10.1007/s00374-007-0207-9
[37]
YU W J, HUANG W J, WEINTRAUB-LEFF S R, HALL S J. Where and why do particulate organic matter (POM) and mineral-associated organic matter (MAOM) differ among diverse soils. Soil Biology and Biochemistry, 2022, 172: 108756.

doi: 10.1016/j.soilbio.2022.108756
[38]
孟延荣, 白存琳, 赵广伟, 牛向雯, 佘维维, 张宇清, 秦树高, 杨婧, 姜雅文, 黎明杰, 冯薇. 毛乌素沙地生物结皮覆盖土壤中微生物残体碳贡献及其影响因素. 土壤学报, 2025, 62(5): 330-340.
MENG Y R, BAI C L, ZHAO G W, NIU X W, SHE W W, ZHANG Y Q, QIN S G, YANG J, JIANG Y W, LI M J, FENG W. The contribution of microbial necromass carbon and its influencing factors in biocrust-covered soils in the mu us desert. Acta Pedologica Sinica, 2025, 62(5): 330-340. (in Chinese)
[39]
崔宇鸿, 叶绍明, 卢志锋, 燕羽, 蒋晨阳. 不同连栽代次桉树人工林土壤团聚体中有机碳组分的积累和转化. 北京林业大学学报, 2024, 46(10): 42-52.
CUI Y H, YE S M, LU Z F, YAN Y, JIANG C Y. Accumulation and transformation of organic carbon components in soil aggregates of Eucalyptus spp. plantations across different continuous cropping generations. Journal of Beijing Forestry University, 2024, 46(10): 42-52. (in Chinese)
[40]
闫桂菀, 董文斌, 李忠义, 韦彩会, 唐红琴, 邓羽松, 张宇亭, 何铁光. 绿肥覆盖对果园土壤团聚体及有机碳组分的影响. 应用生态学报, 2024, 35(12): 3427-3434.

doi: 10.13287/j.1001-9332.202412.012
YAN G Y, DONG W B, LI Z Y, WEI C H, TANG H Q, DENG Y S, ZHANG Y T, HE T G. Effects of green manure mulching on soil aggregates and organic carbon fractions in orchards. Chinese Journal of Applied Ecology, 2024, 35(12): 3427-3434. (in Chinese)

doi: 10.13287/j.1001-9332.202412.012
[41]
MAO X L, SUN T, ZHU L J, WANEK W, CHENG Q, WANG X J, ZHOU J J, LIU X, MA Q X, WU L H, JONES D L. Microbial adaption to stoichiometric imbalances regulated the size of soil mineral-associated organic carbon pool under continuous organic amendments. Geoderma, 2024, 445: 116883.

doi: 10.1016/j.geoderma.2024.116883
[42]
SIX J, ELLIOTT E T, PAUSTIAN K. Soil macroaggregate turnover and microaggregate formation: A mechanism for C sequestration under no-tillage agriculture. Soil Biology and Biochemistry, 2000, 32(14): 2099-2103.

doi: 10.1016/S0038-0717(00)00179-6
[43]
龙世平, 廖超林, 陈山, 彭斯文, 宁尚辉, 杨红武, 祝利, 梅光军, 曹明锋. 湘西北烤烟和玉米连作田土壤团聚体碳特征比较. 中国烟草科学, 2021, 42(3): 44-49.
LONG S P, LIAO C L, CHEN S, PENG S W, NING S H, YANG H W, ZHU L, MEI G J, CAO M F. Comparison of organic carbon characteristics in soil aggregates of maize and tobacco continuous cropping fields in northwestern Hunan. Chinese Tobacco Science, 2021, 42(3): 44-49. (in Chinese)
[44]
HU A, HUANG R, LIU G D, HUANG D F, HUAN H F. Effects of green manure combined with phosphate fertilizer on movement of soil organic carbon fractions in tropical sown pasture. Agronomy, 2022, 12(5): 1101.

doi: 10.3390/agronomy12051101
[45]
FERNANDEZ C W, LANGLEY J A, CHAPMAN S, MCCORMACK M L, KOIDE R T. The decomposition of ectomycorrhizal fungal necromass. Soil Biology and Biochemistry, 2016, 93: 38-49.

doi: 10.1016/j.soilbio.2015.10.017
[46]
HUANG X L, TANG H Y, KANG W J, YU G H, RAN W, HONG J P, SHEN Q R. Redox interface-associated organo-mineral interactions: A mechanism for C sequestration under a rice-wheat cropping system. Soil Biology and Biochemistry, 2018, 120: 12-23.

doi: 10.1016/j.soilbio.2018.01.031
[47]
LI Y H, XIAO M L, WEI L, LIU Q, ZHU Z K, YUAN H Z, WU J S, YUAN J, WU X H, KUZYAKOV Y, GE T D. Bacterial necromass determines the response of mineral-associated organic matter to elevated CO2. Biology and Fertility of Soils, 2024, 60(3): 327-340.

doi: 10.1007/s00374-024-01803-2
[48]
肖可青, 李心男, 邢稳, 冯孟熙, 张铭, 赵瑶, 朱永官. 土壤“矿物碳泵(MnCP)”介导有机碳的固存与稳定机制. 土壤学报, 2025, 62(3): 595-609.
XIAO K Q, LI X N, XING W, FENG M X, ZHANG M, ZHAO Y, ZHU Y G. Mechanisms of organic carbon sequestration and stabilization mediated by the soil “mineral carbon pump (MnCP)”. Acta Pedologica Sinica, 2025, 62(3): 595-609. (in Chinese)
[49]
苟宁倢, 李冰, 王昌全, 钟文挺, 王科, 孙娟. 成都平原稻蒜轮作年限对土壤养分及有机碳库稳定性的影响. 土壤通报, 2024, 55(6): 1657-1665.
GOU N J, LI B, WANG C Q, ZHONG W T, WANG K, SUN J. Difference of soil nutrient and organic carbon pool stability of ricegarlic rotation in Chengdu Plain. Chinese Journal of Soil Science, 2024, 55(6): 1657-1665. (in Chinese)
[50]
许天宇, 彭军, 刘旭东, 王豪楠. 细粒沉积物搬运机理研究进展[J/OL]. 沉积学报. doi:10.14027/j.issn.1000-0550.2024.117.
XU T Y, PENG J, LIU X D, WANG H N. Current research status on the transportation of fine-grained sediments[J/OL]. Acta Sedimentologica Sinica. doi:10.14027/j.issn.1000-0550.2024.117. (in Chinese)
[51]
GROTZINGER J P, FIKE D A, FISCHER W W. Enigmatic origin of the largest-known carbon isotope excursion in Earth’s history. Nature Geoscience, 2011, 4(5): 285-292.

doi: 10.1038/ngeo1138
[52]
XU Y D, SUN L J, GAO X D, WANG J K. Contrasting response of fungal versus bacterial residue accumulation within soil aggregates to long-term fertilization. Scientific Reports, 2022, 12: 17834.

doi: 10.1038/s41598-022-22064-9 pmid: 36284223
[53]
张毅, 刘颖, 程存刚, 李燕青, 李壮. 牛粪与化肥配施比例对苹果园土壤有机碳库和酶活性的影响. 中国农业科学, 2024, 57(20): 4107-4118. doi: 10.3864/j.issn.0578-1752.2024.20.015.
ZHANG Y, LIU Y, CHENG C G, LI Y Q, LI Z. Effects of combined application proportion of cow manure and chemical fertilizer on soil organic carbon pool and enzyme activity in apple orchard. Scientia Agricultura Sinica, 2024, 57(20): 4107-4118. doi: 10.3864/j.issn. 0578-1752.2024.20.015. (in Chinese)
[54]
史帆, 李文广, 易树生, 杨娜, 陈玉萌, 郑伟, 张雪辰, 李紫燕, 翟丙年. 有机无机肥配施下旱地麦田土壤有机碳组分含量的变化特征. 中国农业科学, 2025, 58(4): 719-732. doi: 10.3864/j.issn.0578-1752.2025.04.008.
SHI F, LI W G, YI S S, YANG N, CHEN Y M, ZHENG W, ZHANG X C, LI Z Y, ZHAI B N. The variation characteristics of soil organic carbon fractions under the combined application of organic and inorganic fertilizers. Scientia Agricultura Sinica, 2025, 58(4): 719-732. doi: 10.3864/j.issn.0578-1752.2025.04.008. (in Chinese)
[55]
杨继芬, 李永梅, 李春培, 芦美, 赵吉霞. 大豆玉米间作提高红壤团聚体中真菌群落结构和多样性. 植物营养与肥料学报, 2023, 29(5): 889-899.
YANG J F, LI Y M, LI C P, LU M, ZHAO J X. Soybean-corn intercropping increases fungal community structure and diversity in red soil aggregates. Journal of Plant Nutrition and Fertilizers, 2023, 29(5): 889-899. (in Chinese)
[56]
MAYER M, LEIFELD J, SZIDAT S, MÄDER P, KRAUSE H M, STEFFENS M. Dynamic stability of mineral-associated organic matter: enhanced stability and turnover through organic fertilization in a temperate agricultural topsoil. Soil Biology and Biochemistry, 2023, 184: 109095.

doi: 10.1016/j.soilbio.2023.109095
[57]
SHI J W, YANG L, LIAO Y, LI J W, JIAO S, SHANGGUAN Z P, DENG L. Soil labile organic carbon fractions mediate microbial community assembly processes during long-term vegetation succession in a semiarid region. iMeta, 2023, 2(4): e142.

doi: 10.1002/imt2.142 pmid: 38868232
[58]
JIANG M D, YANG N P, ZHAO J S, SHAABAN M, HU R G. Crop straw incorporation mediates the impacts of soil aggregate size on greenhouse gas emissions. Geoderma, 2021, 401: 115342.

doi: 10.1016/j.geoderma.2021.115342
[59]
陈晓芬, 刘明, 江春玉, 吴萌, 李忠佩. 不同施肥处理红壤性水稻土团聚体有机碳矿化特征. 中国农业科学, 2018, 51(17): 3325-3334. doi: 10.3864/j.issn.0578-1752.2018.17.008.
CHEN X F, LIU M, JIANG C Y, WU M, LI Z P. Organic carbon mineralization in aggregate fractions of red paddy soil under different fertilization treatments. Scientia Agricultura Sinica, 2018, 51(17): 3325-3334. doi: 10.3864/j.issn.0578-1752.2018.17.008. (in Chinese)
[60]
WU B, BAI T S, YU W J, ZHU T B, LI D M, YE C L, LIU M Q, HU S J. Soil pH and precipitation controls on organic carbon retention from organic amendments across soil orders: A meta-analysis. Soil Biology and Biochemistry, 2025, 207: 109819.

doi: 10.1016/j.soilbio.2025.109819
[1] XU YangHaoJun, CHEN LiMing, YANG ShiQi, TANG YiFan, TAN XueMing, ZENG YongJun, PAN XiaoHua, ZENG YanHua. Effects of Long-Term Different Straw Returning Methods on Soil Organic Carbon, Nutrients and Aggregate Formation in Different Soil Layers of Double Cropping Rice Field [J]. Scientia Agricultura Sinica, 2026, 59(7): 1492-1506.
[2] WEI YuanHui, YU YiHui, LI ZiJun, DING WenJie, TU WenLong, MAO YanLing. Effects of Long-Term Fertilization on Soil Organic Carbon Structure and Carbon-Fixing Bacterial Community Structure in Yellow-Mud Paddy Soil [J]. Scientia Agricultura Sinica, 2026, 59(5): 1020-1033.
[3] LIU MengYang, LIU Jie, CHEN Xiang, WANG QingYun, LUO LaiChao, QI YongBo, TIAN Da, LI JinCai, CHAI RuShan. Effects of Long-Term Straw Return on Distribution of Aggregates and Phosphorus Fractions in Shajiang Black Soil [J]. Scientia Agricultura Sinica, 2026, 59(3): 575-588.
[4] WANG RenZhuo, LI YueYing, HUANG ShaoMin, JIANG GuiYing, ZHANG Qi, LIU ChaoLin, YANG Jin, WANG MengRu, WANG BeiBei, LIU Fang, GUO DouDou, JIE XiaoLei, SONG Lian, LIU ShiLiang. Effects of Long-Term Combination of Organic and Inorganic Fertilizers on Bacterial Community Structure, Ecological Network, and Key Species in Fluvo-Aquic Soil [J]. Scientia Agricultura Sinica, 2026, 59(2): 354-367.
[5] BAI YuXin, LIU LingZhi, AN TingTing, LI ShuangYi, WANG JingKuan. Eeffects of Long-Term Fertilization on Bacterial Community Structure and Carbon Metabolic Functions in Brown Soil [J]. Scientia Agricultura Sinica, 2025, 58(8): 1579-1590.
[6] SHI Fan, LI WenGuang, YI ShuSheng, YANG Na, CHEN YuMeng, ZHENG Wei, ZHANG XueChen, LI ZiYan, ZHAI BingNian. The Variation Characteristics of Soil Organic Carbon Fractions Under the Combined Application of Organic and Inorganic Fertilizers [J]. Scientia Agricultura Sinica, 2025, 58(4): 719-732.
[7] ZHANG FangFang, SONG QiLong, GAO Na, BAI Ju, LI Yang, YUE ShanChao, LI ShiQing. Effects of Long-Term Mulching Practices on Maize Yield, Soil Organic Carbon and Nitrogen Fractions and Indexes Related to Carbon and Nitrogen Pool on the Loess Plateau [J]. Scientia Agricultura Sinica, 2025, 58(3): 507-519.
[8] YU Ru, LI YuYi, CAO JuFeng, MA Jun, CHANG FangDi, SONG JiaShen, ZHANG HongYuan, LI XiaoBin, LI HaoRuo, ZHANG Hua, WANG Jing. Effects of Fertilization Management on Soil Carbon Fractions and Crop Yield of Post-Wheat Green Manure Rotation in Saline-Alkali Soils [J]. Scientia Agricultura Sinica, 2025, 58(20): 4189-4202.
[9] JIN XiaoYing, XIAO BingZheng, ZHANG TianJin, LIU ZhongKuan, FENG Wei, DU ZhangLiu. Winter Green Manure Enhances Soil Aggregation and Plant- and Microbial-Derived Carbon Sequestration in Coastal Saline-Alkali Soils [J]. Scientia Agricultura Sinica, 2025, 58(20): 4203-4215.
[10] YUAN HuiLin, LI YaYing, GU WenJie, XU PeiZhi, LU YuSheng, SUN LiLi, ZHOU ChangMin, LI WanLing, QIU RongLiang. Characterization and Correlation Analysis of Soil Dissolved Organic Matter and Microbial Communities Under Long-Term Application of Fresh and Composted Manure [J]. Scientia Agricultura Sinica, 2025, 58(2): 307-325.
[11] GUO DouDou, ZHANG KeKe, HUANG ShaoMin, SONG Xiao, ZHANG ShuiQing, YUE Ke, DING ShiJie, GUO TengFei. Effects of Long-Term Fertilization on Phosphorus Adsorption and Desorption Characteristics of Fluvo-Aquic Soils [J]. Scientia Agricultura Sinica, 2025, 58(14): 2805-2820.
[12] LU Peng, FENG Jia, LI Li, YANG Li, YANG Lei, LÜ DeZhi, XUE YanFei. Phosphorus Fractions in Rhizosphere and Bulk Soil of Wheat and Their Availability Under Long-Term Fertilization [J]. Scientia Agricultura Sinica, 2025, 58(12): 2382-2396.
[13] FENG Xiao, WEI JianFeng, FU LiXiao, WU ChaoSheng, YANG YuLing, TANG XiaoZhi. Effects of Alcalase Hydrolysis on the Structure, Aggregation Behavior and Gelling Properties of Quinoa Protein Isolate [J]. Scientia Agricultura Sinica, 2025, 58(1): 170-181.
[14] HAN XiaoJie, REN ZhiJie, LI ShuangJing, TIAN PeiPei, LU SuHao, MA Geng, WANG LiFang, MA DongYun, ZHAO YaNan, WANG ChenYang. Effects of Different Nitrogen Application Rates on Carbon and Nitrogen Content of Soil Aggregates and Wheat Yield [J]. Scientia Agricultura Sinica, 2024, 57(9): 1766-1778.
[15] HU DanDan, SONG HuiJie, DUAN YingHua, WU Yan, HU ZhiHhua, XU XiaoLin, ZHANG WenJu, HE XiaoLin, LIU KaiLou, SU Peng, HUANG QunZhao. Effects of Long-Term Fertilization on Nitrogen Surplus and Deficit and Soil Alkali-Hydrolyzed Nitrogen in Red Soil Double-Cropping Rice System [J]. Scientia Agricultura Sinica, 2024, 57(24): 4907-4918.
Viewed
Full text


Abstract

Cited

  Shared   
  Discussed   
No Suggested Reading articles found!