





中国农业科学 ›› 2026, Vol. 59 ›› Issue (2): 278-291.doi: 10.3864/j.issn.0578-1752.2026.02.005
陈桂平1(
), 韦金贵1, 郭瑶2, 李盼1, 王菲儿1, 仇海龙1, 冯福学3, 殷文1(
)
收稿日期:2025-06-15
接受日期:2025-11-28
出版日期:2026-01-16
发布日期:2026-01-22
通信作者:
联系方式:
陈桂平,E-mail:chengp@gsau.edu.cn。
基金资助:
CHEN GuiPing1(
), WEI JinGui1, GUO Yao2, LI Pan1, WANG FeiEr1, QIU HaiLong1, FENG FuXue3, YIN Wen1(
)
Received:2025-06-15
Accepted:2025-11-28
Published:2026-01-16
Online:2026-01-22
摘要:
【目的】 针对西北绿洲灌区等行距种植玉米增产潜力有限、资源利用效率不高和经济效益提升困难等普遍性科学问题,探讨宽窄行种植模式对玉米耐密性提升及其增产潜力的影响。 【方法】 试验开始于2017年,于2019―2021年进行数据采集,采用裂区设计。主区设3个宽窄行行距水平,宽窄行比例为7﹕3(L1,宽行56 cm﹕窄行24 cm)、6﹕4(L2,宽行48 cm﹕窄行32 cm)和5﹕5(L3,宽行40 cm﹕窄行40 cm);裂区对应4个玉米种植密度,分别为8.25万株/hm2(D1,当地传统种植密度)、9.00万株/hm2(D2,增密9.1%)、9.75万株/hm2(D3,增密18.2%)和10.50万株/hm2(D4,增密27.3%),探讨不同行距种植结合增密对玉米光合特性、产量、资源利用效率、土壤氮素含量和经济效益的影响。 【结果】 河西绿洲灌区玉米宽窄行种植和增密均提升了玉米光合特征、产量和资源利用效率。与等行距相比,宽窄行比例为7﹕3的处理分别平均提高玉米叶面积指数、大喇叭口期光截获分数、籽粒产量、光能利用效率、水分利用效率和氮素利用效率9.7%、7.1%、8.8%、8.2%、12.7%和14.1%;增密9.1%和增密18.2%的处理较当地传统种植密度的叶面积指数、大喇叭口期光截获分数、籽粒产量、光能利用效率、水分利用效率分别提高平均11.4%和15.7%、7.4%和10.1%、9.6%和11.3%、4.0%和6.1%、10.2%和20.5%。宽窄行比例为7﹕3结合增密18.2%对玉米的综合效应提升潜力大,较等行距当地传统种植密度分别提高玉米平均叶面积指数28.4%,提升大喇叭口期和灌浆期光截获分数22.0%和17.1%;分别增加玉米籽粒产量、生物量和收获指数22.2%、13.1%和8.0%;分别提高光能、水分和氮素利用效率13.5%、39.6%和24.0%;分别降低土壤全氮、铵态氮和硝态氮含量11.2%、18.0%和16.8%。此外,与等行距传统种植密度相比,宽窄行比例为7﹕3结合增密18.2%的处理提高了玉米净收益和产投比50.1%和23.3%。 【结论】 宽窄行比例为7﹕3的种植模式通过改善光合特征、产量、资源利用效率及土壤氮素供给,进而增强了玉米耐密性,实现玉米综合效应提升。
陈桂平, 韦金贵, 郭瑶, 李盼, 王菲儿, 仇海龙, 冯福学, 殷文. 宽窄行与增密对绿洲灌区玉米光合特性及资源利用的协同效应[J]. 中国农业科学, 2026, 59(2): 278-291.
CHEN GuiPing, WEI JinGui, GUO Yao, LI Pan, WANG FeiEr, QIU HaiLong, FENG FuXue, YIN Wen. Synergistic Effects of Wide-Narrow Row and Density Enhancement on the Photosynthetic Characteristics and Resource Utilization of Maize in Oasis Irrigation Areas[J]. Scientia Agricultura Sinica, 2026, 59(2): 278-291.
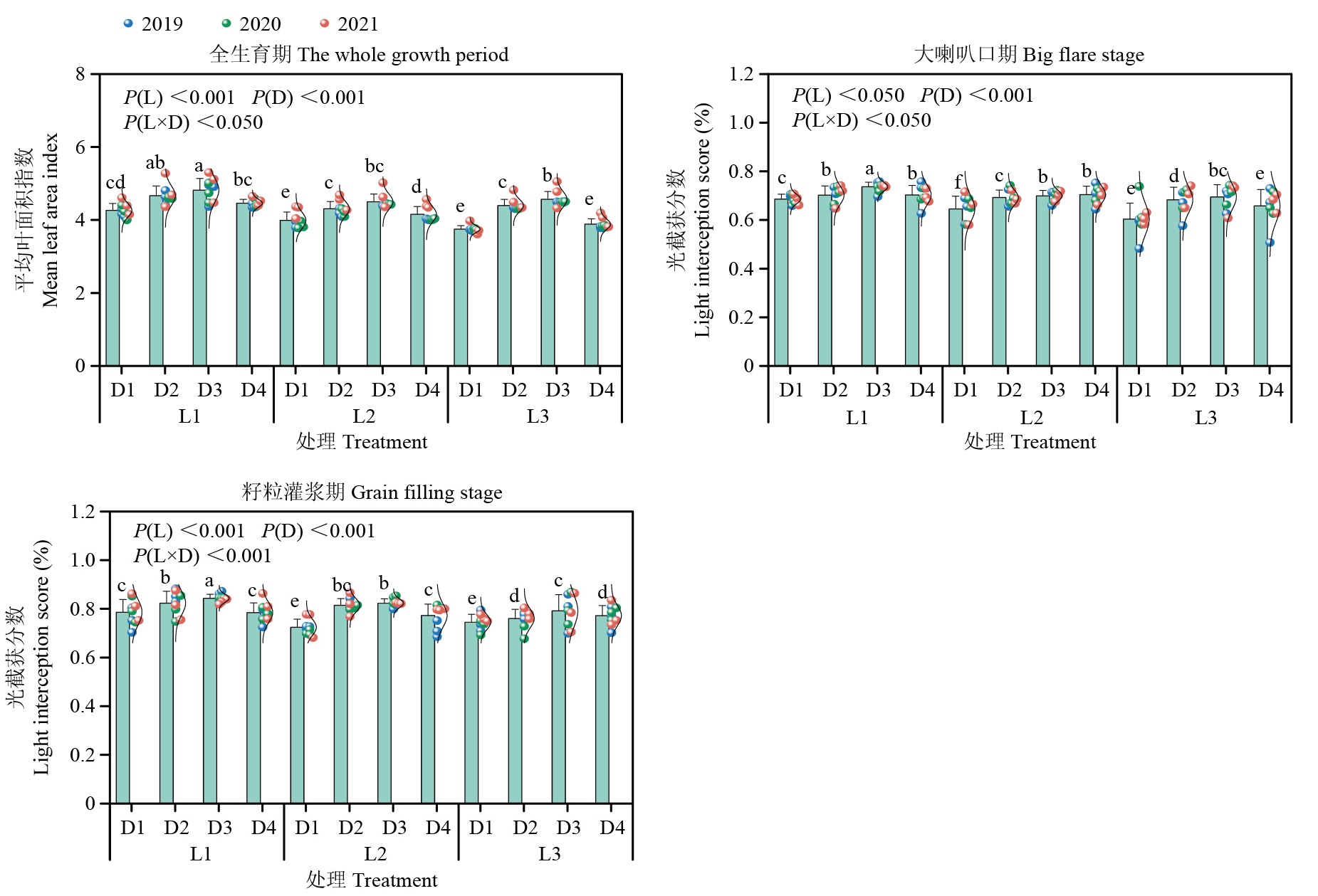
图2
不同行距及增密对玉米全生育期平均叶面积指数及大喇叭口期和灌浆期光截获分数的影响 L1、L2和L3分别代表宽窄行比例为7﹕3(宽行56 cm﹕窄行24 cm)、6﹕4(宽行48 cm﹕窄行32 cm)和5﹕5(宽行40 cm﹕窄行40 cm)的处理 L1, L2, and L3 were 56 cm for 7:3 ratio (wide line spacing: 24 cm for narrow line spacing), 6:4 ratio (48 cm for wide line spacing: 32 cm for narrow line spacing), and 5:5 ratio (40 cm for wide line spacing: 40 cm for narrow line spacing), respectively;D1、D2、D3和D4分别是8.25万株/hm2(当地传统种植密度)、9.00万株/hm2(增密9.1%)、9.75万株/hm2(增密18.2%)和10.50万株/hm2(增密27.3%) D1, D2, D3, and D4 were the local customary planting densities of 8.25×104 plants/hm2, 9.00×104 plants/hm2, 9.75×104 plants/hm2, and 10.50×104 plants/hm2, respectively。同一年份不同字母表示处理间在P<0.05水平差异显著 Different letters within the same year indicate significant differences among treatments at the P<0.05 level。下同 The same as below"
表1
不同行距种植结合增密对玉米产量和收获指数的影响"
| 行距 Line spacing | 种植密度 Planting density | 籽粒产量 Grain yield (kg·hm-2) | 生物量 Biomass (kg·hm-2) | 收获指数 Harvest index | ||||||
|---|---|---|---|---|---|---|---|---|---|---|
| 2019 | 2020 | 2021 | 2019 | 2020 | 2021 | 2019 | 2020 | 2021 | ||
| L1 | D1 | 14300d | 13179e | 14426d | 34449c | 35579b | 35847b | 0.416c | 0.370e | 0.404e |
| D2 | 15031bc | 14886ab | 15706b | 36162b | 35726b | 35944b | 0.417c | 0.417b | 0.437b | |
| D3 | 16198a | 15150a | 16458a | 37163a | 35965b | 37398a | 0.436ab | 0.421ab | 0.440a | |
| D4 | 13744e | 14226c | 14684d | 37009a | 36262a | 36636ab | 0.371e | 0.393d | 0.401e | |
| L2 | D1 | 13143f | 13641d | 14061e | 32009e | 32010d | 32010e | 0.411c | 0.428a | 0.441b |
| D2 | 14473cd | 14589b | 15257bc | 34597c | 33871c | 34734c | 0.419c | 0.431a | 0.440a | |
| D3 | 15392b | 14665b | 15780b | 36040b | 36146a | 35507b | 0.427b | 0.406c | 0.445a | |
| D4 | 14036d | 13450d | 14430d | 34610c | 35011b | 34810c | 0.406d | 0.385d | 0.415cd | |
| L3 | D1 | 12072g | 13588d | 13471f | 30873f | 33291c | 33582d | 0.391de | 0.408c | 0.402e |
| D2 | 14759c | 13833cd | 15011c | 32667e | 33338c | 33836d | 0.452a | 0.417b | 0.444a | |
| D3 | 13852e | 13661d | 14444d | 33201d | 31790e | 34162c | 0.418c | 0.432a | 0.423c | |
| D4 | 12423g | 13055e | 13376f | 33251d | 36123a | 34687c | 0.406d | 0.385d | 0.415cd | |
| 显著性 Significance (P) | ||||||||||
| 行距 Line spacing (L) | 0 | 0 | 0 | 0 | 0.006 | 0.001 | 0.637 | 0.359 | 0.053 | |
| 种植密度 Planting density (D) | 0 | 0 | 0 | 0.002 | 0.054 | 0.015 | 0 | 0.001 | 0.001 | |
| L×D | 0.002 | 0 | 0.007 | 0.056 | 0.061 | 0.045 | 0.040 | 0.030 | 0.566 | |
图8
不同行距及增密对玉米增产潜力的综合分析 LAI、LIE、GY、BY、NI、O/I、LUE、WUE、NUE、TN、AN和NN分别表示叶面积指数、光截获分数、籽粒产量、生物量、净收益、产投比、光能利用效率、水分利用效率、氮素利用效率、全氮、铵态氮和硝态氮 LAI, LIE, GY, BY, NI, O/I, LUE, WUE, NUE, TN, AN, and NN represent leaf area index, light interception score, grain yield, biomass, net income, output to input ratio, light use efficiency, water use efficiency, nitrogen use efficiency, total nitrogen, ammonium nitrogen, and nitrate nitrogen, respectively"
| [1] |
doi: 10.1073/pnas.2106382118 |
| [2] |
doi: 10.1038/s43016-024-01057-z pmid: 39333297 |
| [3] |
doi: 10.1038/s41586-022-05481-8 |
| [4] |
doi: 10.1016/j.gr.2023.03.025 |
| [5] |
doi: 10.1126/science.ads4105 pmid: 40472108 |
| [6] |
doi: 10.1016/j.jia.2023.05.006 |
| [7] |
doi: 10.1038/s41467-023-38355-2 |
| [8] |
doi: 10.1016/j.scitotenv.2022.154220 |
| [9] |
doi: 10.1016/j.jclepro.2017.07.211 |
| [10] |
doi: 10.1007/s13593-022-00823-2 |
| [11] |
doi: 10.1016/j.fcr.2014.12.005 |
| [12] |
白晶, 张春雨, 丁相鹏, 张吉旺, 刘鹏, 任佰朝, 赵斌. 行距配置和覆反光膜对夏玉米产量及光能利用的影响. 中国农业科学, 2020, 53(19): 3942-3953. doi:10.3864/j.issn.0578-1752.2020.19.008.
|
|
|
|
| [13] |
张育斌, 张丽娜, 王军德. 陇中旱作区玉米全膜宽窄行种植对土壤水分及产量的影响. 节水灌溉, 2023(12): 9-17.
doi: 10.12396/jsgg.2023226 |
|
|
|
| [14] |
周思琪, 罗洋, 隋鹏祥, 王浩, 任英, 郑洪兵, 李瑞平, 赵宇, 袁野, 田圣陶, 傅民杰, 郑金玉, 刘武仁. 长期宽窄行交替种植条带深松对农田黑土理化特性和玉米产量的影响. 玉米科学, 2024, 32(9): 70-77.
|
|
|
|
| [15] |
韦金贵, 郭瑶, 柴强, 殷文, 樊志龙, 胡发龙. 水氮减量密植玉米的产量及产量构成. 作物学报, 2023, 49(7): 1919-1929.
doi: 10.3724/SP.J.1006.2023.23056 |
|
doi: 10.3724/SP.J.1006.2023.23056 |
|
| [16] |
范虹, 殷文, 胡发龙, 樊志龙, 赵财, 于爱忠, 何蔚, 孙亚丽, 王凤, 柴强. 绿洲灌区密植对氮肥减量玉米产量的补偿潜力. 中国农业科学, 2024, 57(9): 1709-1721. doi:10.3864/j.issn.0578-1752.2024.09.007.
|
|
|
|
| [17] |
李晓红, 王克如, 张国强, 明博, 薛军, 方梁, 张婷婷, 叶建全, 李少昆. 增密和株行距优化提高西辽河平原沙地滴灌玉米的产量与水氮利用效率. 中国农业科学, 2025, 58(14): 2766-2781. doi:10.3864/j.issn.0578-1752.2025.14.005.
|
|
|
|
| [18] |
韦金贵, 毛守发, 江俞欣, 樊志龙, 胡发龙, 柴强, 殷文. 绿肥对减量施氮小麦籽粒产量和氮素利用的补偿机制. 作物学报, 2024, 50(12): 3129-3143.
doi: 10.3724/SP.J.1006.2024.41026 |
|
doi: 10.3724/SP.J.1006.2024.41026 |
|
| [19] |
武晶, 陈梦, 汪直华, 杨继芝, 李燕丽, 吴雨珊, 杨文钰. 带状间作不同带间距对玉米光能利用的影响. 中国农业科学, 2023, 56(23): 4648-4659. doi:10.3864/j.issn.0578-1752.2023.23.007.
|
|
|
|
| [20] |
doi: 10.1016/j.cj.2024.07.004 |
| [21] |
doi: 10.1038/s41467-023-44464-9 pmid: 38172570 |
| [22] |
田龙兵, 沈兆崟, 赵孝天, 张放, 侯文峰, 高强, 王寅. 种植密度与施氮量互作对不同玉米品种产量和水分利用效率的影响. 中国农业科学, 2024, 57(21): 4221-4237. doi:10.3864/j.issn.0578-1752.2024.21.005.
|
|
|
|
| [23] |
doi: 10.1016/j.jclepro.2020.125572 |
| [24] |
doi: 10.1016/j.scitotenv.2021.145280 |
| [25] |
李相花, 范彩英, 徐芹, 侯剑, 王慧, 刘艳艳, 王恒, 刘光亚, 韩伟. 不同玉米大豆种植模式对作物产量、经济效益与土壤养分的影响. 中国农学通报, 2025, 41(6): 22-28.
doi: 10.11924/j.issn.1000-6850.casb2024-0762 |
|
doi: 10.11924/j.issn.1000-6850.casb2024-0762 |
|
| [26] |
麻碧娇, 苟志文, 殷文, 于爱忠, 樊志龙, 胡发龙, 赵财, 柴强. 干旱灌区麦后复种绿肥与施氮水平对小麦光合性能与产量的影响. 中国农业科学, 2022, 55(18): 3501-3515. doi:10.3864/j.issn.0578-1752.2022.18.003.
|
|
|
|
| [27] |
吴霞玉, 李盼, 韦金贵, 范虹, 何蔚, 樊志龙, 胡发龙, 柴强, 殷文. 减量灌水及有机无机肥配施对西北灌区玉米光合生理、籽粒产量及品质的影响. 作物学报, 2024, 50(4): 1065-1079.
doi: 10.3724/SP.J.1006.2024.33041 |
|
doi: 10.3724/SP.J.1006.2024.33041 |
|
| [28] |
张振, 何建宁, 石玉, 于振文, 张永丽. 行距和种植方式对小麦光合特性和产量的影响. 作物学报, 2024, 50(9): 2396-2407.
doi: 10.3724/SP.J.1006.2024.31071 |
|
doi: 10.3724/SP.J.1006.2024.31071 |
|
| [29] |
常佳悦, 马小龙, 吴艳莉, 李建明. 行距和灌水量对番茄冠层光截获和光合能力、物质积累及果实品质的影响. 中国农业科学, 2023, 56(11): 2141-2157. doi:10.3864/j.issn.0578-1752.2023.11.009.
|
|
|
|
| [30] |
高杰, 李青风, 汪灿, 张国兵, 周棱波, 赵强, 邵明波, 彭秋. 宽窄行结合高密度栽培有效提高糯高粱产量及干物质和氮素的积累转运. 植物营养与肥料学报, 2024, 30(12): 2342-2353.
|
|
|
|
| [31] |
曹玉军, 姚凡云, 吕艳杰, 魏雯雯, 刘小丹, 刘志铭, 徐文华, 梁杰, 王立春, 王永军. 综合农艺措施实现东北玉米生产和环境效益及土壤肥力的同步提升. 植物营养与肥料学报, 2023, 29(1): 18-30.
|
|
|
|
| [32] |
赵彤彤, 谷晓博, 谭川东, 延廷霖, 李晓雁, 常甜, 杜娅丹. 水氮耦合对西北旱区覆膜农田土壤有机碳、氮矿化的影响. 中国农业科学, 2025, 58(5): 929-942. doi:10.3864/j.issn.0578-1752.2025.05.009.
|
|
|
|
| [33] |
亢秀丽, 马爱平, 靖华, 赵玉坤, 崔欢虎, 席吉龙, 黄学芳. 微喷限水灌溉对冬小麦产量及水氮利用效率的影响. 作物学报, 2024, 50(12): 3107-3117.
doi: 10.3724/SP.J.1006.2024.41010 |
|
doi: 10.3724/SP.J.1006.2024.41010 |
|
| [34] |
doi: 10.1016/j.cj.2020.06.013 |
| [35] |
doi: 10.1016/S2095-3119(20)63323-8 |
| [1] | 赵耀, 程前, 徐田军, 刘正, 王荣焕, 赵久然, 陆大雷, 李从锋. 高密度条件下株型改良对春玉米根-冠特征及籽粒产量的影响[J]. 中国农业科学, 2025, 58(7): 1296-1310. |
| [2] | 王同超, 于宁宁, 崔栋, 任佰朝, 赵斌, 刘鹏, 任昊, 熊伟, 张吉旺. 滴灌水肥一体化条件下种植密度对夏玉米受精结实特性的调控[J]. 中国农业科学, 2025, 58(24): 5156-5174. |
| [3] | 田磊, 邵鑫, 周一民, 苗秀珍, 纪楠, 王浩, 石明帅, 张悦忠. 多因素管理下大兴安岭南麓玉米种植密度及耐密抗倒品种选择[J]. 中国农业科学, 2025, 58(24): 5143-5155. |
| [4] | 田龙兵, 沈兆崟, 赵孝天, 张放, 侯文峰, 高强, 王寅. 种植密度与施氮量互作对不同玉米品种产量和水分利用效率的影响[J]. 中国农业科学, 2024, 57(21): 4221-4237. |
| [5] | 雷新慧, 吴怡欣, 王家乐, 陶金才, 万晨茜, 王孟, 高小丽, 冯佰利, 高金锋. 种植密度与施肥水平对甜荞光合特性、产量及抗倒伏的影响[J]. 中国农业科学, 2024, 57(2): 264-277. |
| [6] | 刘涵, 丁迪, 汪江涛, 郑宾, 王笑笑, 朱晨旭, 刘娟, 刘领, 付国占, 焦念元. 玉米穗型与种植密度对玉米花生间作种间竞争的协调效应[J]. 中国农业科学, 2024, 57(19): 3758-3769. |
| [7] | 覃凤, 汪小飞, 吴臻, 胡一波, 王小琴, 张家伟, 蔡铁. 集雨种植模式下种植密度与行距配置对小麦茎秆糖积累及倒伏性能的影响[J]. 中国农业科学, 2024, 57(1): 65-79. |
| [8] | 路梦莉, 张雅婷, 任红, 王土金, 韩一鸣, 李文阳, 李从锋. 增密对春玉米籽粒胚乳淀粉粒度分布与黏度参数的影响[J]. 中国农业科学, 2023, 56(9): 1646-1657. |
| [9] | 牟海萌, 孙丽芳, 王壮壮, 王宇, 宋一凡, 张荣, 段剑钊, 谢迎新, 康国章, 王永华, 郭天财. 施氮量和种植密度对两冬小麦品种抗倒性能和籽粒产量的影响[J]. 中国农业科学, 2023, 56(15): 2863-2879. |
| [10] | 耿文杰, 李宾, 任佰朝, 赵斌, 刘鹏, 张吉旺. 种植密度和喷施乙烯利对夏玉米木质素代谢和抗倒伏性能的调控[J]. 中国农业科学, 2022, 55(2): 307-319. |
| [11] | 王金凤,王壮壮,谷丰序,牟海萌,王宇,段剑钊,冯伟,王永华,郭天财. 氮密调控对两个冬小麦品种碳氮代谢及产量的影响[J]. 中国农业科学, 2021, 54(19): 4070-4083. |
| [12] | 张展军,杨宏伟,樊志龙,于爱忠,胡发龙,殷文,范虹,郭瑶,柴强,赵财. 绿洲灌区免耕一膜两年用玉米密植的水分承载潜力[J]. 中国农业科学, 2021, 54(16): 3406-3416. |
| [13] | 曹玉贤, 朱建强, 侯俊. 中国再生稻的产量差及影响因素[J]. 中国农业科学, 2020, 53(4): 707-719. |
| [14] | 丁相鹏,白晶,张春雨,张吉旺,刘鹏,任佰朝,赵斌. 扩行缩株对夏玉米群体冠层结构及产量的影响[J]. 中国农业科学, 2020, 53(19): 3915-3927. |
| [15] | 刘笑鸣,顾万荣,李从锋,张立国,王明泉,龚士琛,陈喜昌,李彩凤,魏湜,李文华. 化学调控和氮肥对高密度下春玉米光热水利用效率和产量的影响[J]. 中国农业科学, 2020, 53(15): 3083-3094. |
|
||