





中国农业科学 ›› 2025, Vol. 58 ›› Issue (20): 4285-4304.doi: 10.3864/j.issn.0578-1752.2025.20.019
所属专题: 专刊——盐碱地智慧监测与生态化利用
• 盐碱地生态化利用 • 上一篇
佘映军1,2(
), 周子哲1, 伍明1, 郭魏2,3, 师昌健1, 胡超3, 李平2,4,5(
)
收稿日期:2025-06-11
接受日期:2025-09-18
出版日期:2025-10-16
发布日期:2025-10-14
通信作者:
联系方式:
佘映军,E-mail:sheyingjun1746@163.com。
基金资助:
SHE YingJun1,2(
), ZHOU ZiZhe1, WU Ming1, GUO Wei2,3, SHI ChangJian1, HU Chao3, LI Ping2,4,5(
)
Received:2025-06-11
Accepted:2025-09-18
Published:2025-10-16
Online:2025-10-14
摘要:
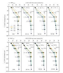
【目的】探究地下水埋深与施氮对包气带土壤水盐分布、氮磷分层残留和冬小麦养分吸收利用的组合效应,明确基于耕层土壤盐分平衡和作物稳产优产的浅地下水埋深施氮阈值。【方法】利用土柱模拟试验,设置4个地下水埋深梯度60、90、120和150 cm,分别标记为G1、G2、G3、G4;4个施氮梯度0、150、240和300 kg·hm-2(常规施氮),分别标记为NF0、NF150、NF240、NF300,共计16个处理,于2020—2021、2021—2022年冬小麦季开展不同地下水埋深和施氮组合下包气带土壤水盐分布、不同土层土壤氮磷含量和冬小麦氮素吸收利用的监测和分析研究。【结果】两年数据表明,增施氮肥加剧主根系层(0—60 cm土层)土壤干旱,尤其是地下水埋深大于G3条件下的NF300处理主根系层土壤水分显著降低;NF0—NF150施氮下0—20、20—60 cm土层电导率随地下水埋深增加呈降低趋势,而NF240—NF300处理下2020—2021年20—60 cm土层电导率和两年盐分累积含量随埋深增加显著上升;NF240—NF300施氮显著提升了G3、G4埋深下0—20 cm土层盐分含量,尤其是NF300处理下0—20 cm土层土壤电导率超过阈值(360.19—362.89 μs·cm-1),碱化趋势明显。NF0—NF240处理下,G3—G4处理主根系层平均土层总氮含量最高,而NF300处理下总氮、总磷含量随地下水埋深增加而显著下降,其中G1—G3处理土壤平均总氮含量比G4处理高11.90%(P<0.05);G1—G2埋深下增施氮肥有利于提升土壤总氮含量,而G4埋深下NF150—NF240施氮处理最高;G1—G4埋深下NF0—NF150处理土壤总磷含量最高;NF0—NF240施氮条件下增加地下水埋深可促进籽粒和地上部吸收氮素,但施氮量持续增加和年际叠加施氮控水后,地下水埋深加大不利于籽粒和地上部吸收氮素。增施氮肥显著促进G1—G2埋深下籽粒和地上部氮素积累量,对G3—G4埋深条件而言,籽粒和地上部氮素累积量在NF150—NF240施氮条件下最高,且2021—2022年持续施氮控水后,增施氮肥明显降低冬小麦氮素收获指数。【结论】在120—150 cm埋深下,施氮150—240 kg·hm-2有利于主根系层土壤水盐平衡、地上部和籽粒氮素积累,进而实现冬小麦氮肥减施增效和主根系层土壤盐分科学管理。
佘映军, 周子哲, 伍明, 郭魏, 师昌健, 胡超, 李平. 地下水埋深和施氮对土壤水盐分布及冬小麦养分吸收利用的影响[J]. 中国农业科学, 2025, 58(20): 4285-4304.
SHE YingJun, ZHOU ZiZhe, WU Ming, GUO Wei, SHI ChangJian, HU Chao, LI Ping. Effects of Groundwater Depth and Nitrogen Application on the Distribution of Soil Water and Salt and the Nutrient Absorption and Utilization of Winter Wheat[J]. Scientia Agricultura Sinica, 2025, 58(20): 4285-4304.
表1
土壤基础理化指标"
| 土层 Soil layer (cm) | 电导率 EC (μs·cm-1) | 碱解氮 AN (mg·kg-1) | 速效磷 AP (mg·kg-1) | 总氮 TN (g·kg-1) | 总磷 TP (g·kg-1) | 土壤机械组成 Soil mechanical composition | ||
|---|---|---|---|---|---|---|---|---|
| 黏粒 Clay (%) | 粉粒 Particle (%) | 砂粒 Sand (%) | ||||||
| 0-20 | 270.00 | 17.27 | 128.33 | 0.85 | 0.63 | 18.26 | 47.43 | 34.31 |
| 20-40 | 313.33 | 13.30 | 81.33 | 1.25 | 0.59 | 18.09 | 45.93 | 35.97 |
| 40-60 | 364.00 | 7.93 | 81.67 | 1.52 | 0.53 | 17.84 | 44.04 | 38.78 |
| >60 | 421.67 | 6.18 | 76.33 | 1.47 | 0.48 | 15.88 | 43.87 | 40.00 |
表2
冬小麦灌水日期和灌水量"
| 灌水时期 Irrigation date | 灌水量 Irrigation amount (mm) | 灌水时期 Irrigation date | 灌水量 Irrigation amount (mm) | ||
|---|---|---|---|---|---|
| 2020-2021 | 2021-2022 | 2020-2021 | 2021-2022 | ||
| 播种期 Sowing stage | — | 55.73 | 孕穗期 Booting stage | 17.64 | 15.92 |
| 越冬期 Wintering period stage | 17.64 | 31.85 | 开花期 Anthesis stage | 17.64 | — |
| 返青期 Regreening stage | — | 19.90 | 灌浆期 Filling stage | 44.11 | 47.77 |
| 拔节期 Jointing stage | 30.88 | 23.89 | |||
表3
0—20 cm和20—60 cm土层平均土壤电导率"
| 处理 Treatment | 2020-2021 | 2021-2022 | 年际间累积值 Interannual cumulative value (μs·cm-1) | ||||
|---|---|---|---|---|---|---|---|
| NF | GWD | 0-20 cm | 20-60 cm | 0-20 cm | 20-60 cm | 0-20 cm | 20-60 cm |
| NF0 | G1 | 319.00a | 299.88d | 379.25ab | 274.72h | 60.25bcd | -25.17e |
| G2 | 254.80c | 299.13d | 305.50cd | 361.75fg | 50.70cde | 62.62d | |
| G3 | 245.27c | 304.47d | 248.55e | 595.20c | 3.28de | 290.73b | |
| G4 | 261.97bc | 343.55bcd | 253.2de | 726.18a | -8.77e | 382.63a | |
| NF150 | G1 | 315.71a | 301.15d | 406.60ab | 310.45gh | 90.89abc | 9.30de |
| G2 | 253.27c | 393.75ab | 352.64bc | 419.68ef | 99.38abc | 25.93de | |
| G3 | 240.93c | 384.03ab | 375.81ab | 666.10b | 134.88a | 282.07b | |
| G4 | 251.43c | 348.08bcd | 391.70ab | 491.95d | 140.27a | 143.87c | |
| NF240 | G1 | 301.49ab | 304.32d | 379.00ab | 314.83gh | 77.51abc | 10.52de |
| G2 | 251.90c | 361.00bc | 368.65ab | 397.75f | 116.75abc | 36.75de | |
| G3 | 285.83abc | 415.00a | 411.13ab | 662.37b | 125.30ab | 247.37b | |
| G4 | 304.1ab | 361.02bc | 405.22ab | 636.53bc | 101.12abc | 275.52b | |
| NF300 | G1 | 309.22a | 304.10d | 408.73ab | 284.12h | 99.51abc | -19.98e |
| G2 | 306.73a | 378.88ab | 426.28a | 400.89f | 119.55abc | 22.01de | |
| G3 | 300.63ab | 313.50cd | 431.27a | 462.70de | 130.63ab | 149.20c | |
| G4 | 307.95a | 323.72cd | 429.90a | 584.93c | 121.95ab | 261.21b | |
| NF | ** | ** | ** | ** | ** | ** | |
| GWD | ** | ** | ns | ** | ns | ** | |
| NF*GWD | ns | ** | ** | ** | ns | ** | |
表4
主要根系层(0—60 cm)平均土壤总氮总磷含量"
| 处理 Treatment | 2020-2021 | 2021-2022 | |||
|---|---|---|---|---|---|
| NF | GWD | TN (g·kg-1) | TP (g·kg-1) | TN (g·kg-1) | TP (g·kg-1) |
| NF0 | G1 | 0.34f | 0.51a | 0.30ef | 0.53cdef |
| G2 | 0.35ef | 0.52a | 0.31e | 0.52def | |
| G3 | 0.35f | 0.53a | 0.31e | 0.51ef | |
| G4 | 0.36def | 0.51a | 0.33cd | 0.55bc | |
| NF150 | G1 | 0.40ab | 0.54a | 0.29fg | 0.59a |
| G2 | 0.36ef | 0.52a | 0.28g | 0.59a | |
| G3 | 0.39abc | 0.52a | 0.29fg | 0.57ab | |
| G4 | 0.41a | 0.54a | 0.29fg | 0.54cd | |
| NF240 | G1 | 0.38bcd | 0.54a | 0.26h | 0.54cde |
| G2 | 0.39abc | 0.54a | 0.35ab | 0.54cd | |
| G3 | 0.39abc | 0.56a | 0.36a | 0.52cdef | |
| G4 | 0.40abc | 0.51a | 0.34bc | 0.52cdef | |
| NF300 | G1 | 0.35ef | 0.54a | 0.33bc | 0.54cde |
| G2 | 0.37cde | 0.53a | 0.33cd | 0.53cdef | |
| G3 | 0.36ef | 0.45b | 0.33bc | 0.51f | |
| G4 | 0.31g | 0.53a | 0.31de | 0.48g | |
| NF | ** | ns | ** | ** | |
| GWD | ns | ns | ** | ** | |
| NF*GWD | ** | ** | ** | ** | |
表5
籽粒、地上部氮素积累量与氮素收获指数"
| 处理 Treatment | 籽粒氮素积累量 Nitrogen accumulation in grains (g·lys.-1) | 地上部氮素积累量 The accumulation of nitrogen in the aboveground part (g·lys.-1) | 氮素收获指数 Nitrogen harvest index (NHI) (%) | ||||
|---|---|---|---|---|---|---|---|
| 2020-2021 | 2021-2022 | 2020-2021 | 2021-2022 | 2020-2021 | 2021-2022 | ||
| NF0 | G1 | 0.16g | 0.51e | 0.21f | 0.58e | 76.28g | 87.89ab |
| G2 | 0.25g | 0.57e | 0.30f | 0.66e | 83.05bcd | 86.95abcd | |
| G3 | 0.50f | 0.64e | 0.58e | 0.73e | 86.05ab | 87.37abc | |
| G4 | 0.9de | 1.15bcd | 1.02cd | 1.28cd | 87.56a | 89.48a | |
| NF150 | G1 | 0.76e | 1.00d | 0.90d | 1.16d | 84.63abc | 85.8bcdef |
| G2 | 0.91de | 1.19abcd | 1.07cd | 1.37bcd | 85.22ab | 86.74abcde | |
| G3 | 1.19c | 1.33abc | 1.45b | 1.58ab | 81.93cde | 83.65defg | |
| G4 | 1.36ab | 1.28abc | 1.75a | 1.55ab | 77.79fg | 82.39fgh | |
| NF240 | G1 | 0.93d | 1.18abcd | 1.09c | 1.36bcd | 85.43ab | 86.36abcde |
| G2 | 1.10c | 1.31abc | 1.30b | 1.56ab | 84.57abc | 84.05cdefg | |
| G3 | 1.38a | 1.26abc | 1.72a | 1.55ab | 79.87ef | 81.17gh | |
| G4 | 1.38a | 1.28abc | 1.71a | 1.57ab | 80.49def | 81.24gh | |
| NF300 | G1 | 1.09c | 1.40ab | 1.30b | 1.68a | 83.98bc | 83.17efg |
| G2 | 1.20c | 1.43a | 1.43b | 1.74a | 84.14bc | 82.33fgh | |
| G3 | 1.43a | 1.22abcd | 1.67a | 1.51abc | 85.77ab | 80.74gh | |
| G4 | 1.36ab | 1.12cd | 1.64a | 1.41bcd | 82.81bcde | 79.24h | |
| F值 F value | NF | ** | ** | ** | ** | ns | ** |
| GWD | ** | * | ** | ** | * | ** | |
| NF*GWD | ** | ** | ** | ** | ** | ns | |
| [1] |
|
| [2] |
|
| [3] |
|
| [4] |
高雪健, 李广浩, 陆卫平, 陆大雷. 控释尿素与普通尿素配施对糯玉米产量和氮素吸收利用的影响. 植物营养与肥料学报, 2022, 28(9): 1614-1625.
|
|
|
|
| [5] |
|
| [6] |
|
| [7] |
严如玉, 赵希梅, 向风云, 李雅琼, 李绪勋, 司转运, 李鹏慧, 高阳, 李继福. 中国小麦优势区域生产格局及施肥现状研究. 麦类作物学报, 2024, 44(2): 230-241.
|
|
|
|
| [8] |
耿若鑫, 黑泽文, 油伦成, 舒昱霖, 汪洋, 李升东, 曲明山, 石颜通, 张凯烨, 毕香君, 等. 华北小麦施用脲铵氮肥实现轻简施肥的可行性及技术措施. 植物营养与肥料学报, 2024, 30(6): 1103-1117.
|
|
|
|
| [9] |
刘鹏, 杨树青, 樊美蓉, 张万锋. 变化地下水埋深与灌水量对土壤水与地下水交换的影响. 灌溉排水学报, 2021, 40(7): 66-73.
|
|
|
|
| [10] |
|
| [11] |
|
| [12] |
|
| [13] |
赵西梅, 夏江宝, 陈为峰, 陈印平. 蒸发条件下潜水埋深对土壤-柽柳水盐分布的影响. 生态学报, 2017, 37(18): 6074-6080.
|
|
|
|
| [14] |
杨军, 杜军, 马小刚, 景何仿, 孙兆军. 不同地下水埋深对龟裂碱土水盐迁移和油葵产量的影响研究. 中国农村水利水电, 2023(10): 166-173, 180.
doi: 10.12396/znsd.222316 |
|
doi: 10.12396/znsd.222316 |
|
| [15] |
张雪佳, 王金涛, 董心亮, 田柳, 娄泊远, 刘小京, 孙宏勇. 地下微咸水埋深对土壤水盐分布与冬小麦耗水特性的影响. 中国生态农业学报(中英文), 2023, 31(3): 417-427.
|
|
|
|
| [16] |
doi: 10.1016/S2095-3119(19)62713-9 |
| [17] |
明广辉, 田富强, 胡宏昌. 地下水埋深对膜下滴灌棉田水盐动态影响及土壤盐分累积特征. 农业工程学报, 2018, 34(5): 90-97.
|
|
|
|
| [18] |
李彬, 史海滨, 闫建文, 李祯, 张建国, 周俊. 节水改造后盐渍化灌区区域地下水埋深与土壤水盐的关系. 水土保持学报, 2014, 28(1): 117-122.
|
|
|
|
| [19] |
李翔, 杨天学, 白顺果, 席北斗, 朱性宝, 袁志业, 卫毅梅, 郦威. 地下水位波动对包气带中氮素运移影响规律的研究. 农业环境科学学报, 2013, 32(12): 2443-2450.
|
|
|
|
| [20] |
蒲芳, 黄金廷, 宋歌, 王嘉玮, 李宗泽, 田华, 张方, 孙芳强. 浅埋深黏土包气带氮迁移转化原位实验研究. 中国环境科学, 2022, 42(6): 2707-2713.
|
|
|
|
| [21] |
苏天燕, 刘子涵, 丛安琪, 毛伟, 杨秋. 地下水埋深对半干旱区典型植物群落土壤酶活性的影响. 中国沙漠, 2021, 41(4): 185-194.
doi: 10.7522/j.issn.1000-694X.2021.00077 |
|
doi: 10.7522/j.issn.1000-694X.2021.00077 |
|
| [22] |
|
| [23] |
焦晓光, 隋跃宇, 魏丹. 长期施肥对薄层黑土酶活性及土壤肥力的影响. 中国土壤与肥料, 2011(1): 6-9.
|
|
|
|
| [24] |
郭勇, 文丽, 石丽红, 李超, 程凯凯, 罗浛方, 李海容, 周国栋, 唐海明. 长期施肥对双季稻田根际土壤氮循环酶活性及产量的影响. 华北农学报, 2025, 40(1): 113-121.
doi: 10.7668/hbnxb.20195028 |
|
doi: 10.7668/hbnxb.20195028 |
|
| [25] |
崔振坤, 于振文, 石玉, 张永丽, 张振. 水氮运筹对土壤氮代谢酶活性和小麦氮素利用的影响. 水土保持学报, 2025, 39(1): 160-169.
|
|
|
|
| [26] |
|
| [27] |
吕广德, 王超, 靳雪梅, 徐加利, 王瑞霞, 孙宪印, 钱兆国, 吴科. 水氮组合对冬小麦干物质及氮素积累和产量的影响. 应用生态学报, 2020, 31(8): 2593-2603.
doi: 10.13287/j.1001-9332.202008.029 |
|
|
|
| [28] |
郭曾辉, 刘朋召, 雒文鹤, 王瑞, 李军. 限水减氮对关中平原冬小麦氮素利用和氮素表观平衡的影响. 应用生态学报, 2021, 32(12): 4359-4369.
doi: 10.13287/j.1001-9332.202112.022 |
|
|
|
| [29] |
|
| [30] |
|
| [31] |
|
| [32] |
|
| [33] |
张亦涛, 王洪媛, 雷秋良, 张继宗, 翟丽梅, 任天志, 刘宏斌. 农田合理施氮量的推荐方法. 中国农业科学, 2018, 51(15): 2937-2947. doi: 10.3864/j.issn.0578-1752.2018.15.009.
|
|
|
|
| [34] |
|
| [35] |
doi: 10.1038/srep25088 pmid: 27114032 |
| [36] |
|
| [37] |
薛歆, 蔡甲冰, 于颖多, 张宝忠, 韩延安. 冬小麦生育期地下水补给量表征及水位阈值试验研究. 农业工程学报, 2024, 40(20): 101-111.
|
|
|
|
| [38] |
刘鑫, 左锐, 孟利, 李鹏, 李志萍, 何柱锟, 李桥, 王金生. 地下水位上升过程硝态氮(硝酸盐)污染变化规律研究. 中国环境科学, 2021, 41(1): 232-238.
|
|
|
|
| [39] |
|
| [40] |
王西娜, 王朝辉, 李华, 王荣辉, 谭军利, 李生秀. 旱地土壤中残留肥料氮的动向及作物有效性. 土壤学报, 2016, 53(5): 1202-1212.
|
|
|
|
| [41] |
孔繁瑞, 屈忠义, 刘雅君, 马月霞. 不同地下水埋深对土壤水、盐及作物生长影响的试验研究. 中国农村水利水电, 2009(5): 44-48.
|
|
|
|
| [42] |
王平顺, 臧旭超, 燕亚平, 韩学敏, 李璐, 厚富来, 杨学东, 季亚新, 董少刚. 干旱-半干旱煤矿区地下水位变化对土壤特征的影响及植被响应. 生态学报, 2025, 45(2): 802-812.
|
|
|
|
| [43] |
李绪润, 李兆, 张秋英, 李发东, 付伟章. 华北平原禹城地区地下水埋深对地下水及土壤水分和盐分分布的试验研究. 灌溉排水学报, 2024, 43(S1): 108-119.
|
|
|
|
| [44] |
曹和平, 蒋静, 翟登攀, 张超波. 施氮量对土壤水氮盐分布和玉米生长及产量的影响. 灌溉排水学报, 2022, 41(6): 47-54.
|
|
|
|
| [45] |
|
| [46] |
张丽霞, 杨永辉, 尹钧, 武继承, 潘晓莹. 水肥一体化对小麦干物质和氮素积累转运及产量的影响. 农业机械学报, 2021, 52(2): 275-282, 319.
|
|
|
|
| [47] |
梁伟琴, 贾莉, 郭黎明, 李应兰, 胡亚峰, 陈小花, 马旭凤, 李静. 水氮耦合对春小麦干物质累积与植株氮素转运的影响. 作物杂志, 2022(4): 242-248.
|
|
|
|
| [48] |
郭丙玉, 高慧, 唐诚, 刘涛, 褚贵新. 水肥互作对滴灌玉米氮素吸收、水氮利用效率及产量的影响. 应用生态学报, 2015, 26(12): 3679-3686.
|
|
|
|
| [49] |
胡梦芸, 门福圆, 张颖君, 孙丽静, 刘茜, 李倩影, 刘富爽, 李辉. 水氮互作对作物生理特性和氮素利用影响的研究进展. 麦类作物学报, 2016, 36(3): 332-340.
|
|
|
|
| [50] |
刘恩科, 梅旭荣, 龚道枝, 严昌荣, 庄严. 不同生育时期干旱对冬小麦氮素吸收与利用的影响. 植物生态学报, 2010, 34(5): 555-562.
doi: 10.3773/j.issn.1005-264x.2010.05.009 |
|
|
|
| [51] |
臧贺藏, 刘云鹏, 曹莲, 张英华, 王志敏. 水氮限量供给下两个高产小麦品种氮素吸收与利用特征. 麦类作物学报, 2012, 32(3): 503-509.
|
|
|
|
| [52] |
孙文涛, 孙占祥, 王聪翔, 宫亮, 张玉龙. 滴灌施肥条件下玉米水肥耦合效应的研究. 中国农业科学, 2006, 39(3): 563-568.
|
|
|
|
| [53] |
车子强, 涂洪铭, 蔡静怡, 尹豪杰, 马熠琳, 蒋桂英. 亏缺灌溉对新疆不同品种春小麦产量和氮素利用的影响. 植物营养与肥料学报, 2024, 30(5): 886-898.
|
|
|
|
| [54] |
董二伟, 王媛, 王劲松, 刘秋霞, 黄晓磊, 焦晓燕. 施氮量对谷子产量、氮素利用及小米品质的影响. 中国农业科学, 2024, 57(2): 306-318. doi: 10.3864/j.issn.0578-1752.2024.02.007.
|
|
|
|
| [55] |
张娟, 李广, 袁建钰, 闫丽娟, 魏星星, 刘帅楠. 水氮调控对旱作春小麦土壤、叶片养分含量的影响. 干旱区研究, 2021, 38(6): 1750-1759.
doi: 10.13866/j.azr.2021.06.27 |
|
doi: 10.13866/j.azr.2021.06.27 |
|
| [56] |
徐荣艳, 戴丽纳, 傅国圣, 江鹏, 丁钰童, 张美娜, 王婉婉, 王振龙. 不同土质条件下小麦生长期潜水蒸发量影响因素研究. 灌溉排水学报, 2023, 42(11): 19-23, 30.
|
|
|
|
| [57] |
|
| [58] |
孙仕军, 隋文华, 陈伟, 苏通宇, 邰恩博, 张岐, 孟维忠. 地下水埋深对辽宁中部地区玉米根系和干物质积累的影响. 生态学杂志, 2020, 39(2): 497-506.
|
|
|
|
| [59] |
doi: 10.3389/fpls.2018.01798 pmid: 30568670 |
| [60] |
|
| [61] |
|
| [62] |
陈智勇, 谢迎新, 张阳阳, 缑培欣, 马冬云, 康国章, 王晨阳, 郭天财. 小麦根长密度和根干重密度对氮肥的响应及其与产量的关系. 麦类作物学报, 2020, 40(10): 1223-1231.
|
|
|
| [1] | 朱琦, 贾振鹏, Tahir SHAH, 徐晨晟, 李芷琦, 吕会帅, 朱鹏超, 韦小敏, 黄冬琳, 孙艳妮, 曹卫东, 高亚军, 王朝辉, 张达斌. 绿肥配施增效产品降低旱地麦田温室气体排放及碳足迹[J]. 中国农业科学, 2026, 59(7): 1507-1522. |
| [2] | 钱瑾, 李映雪, 吴芳, 邹晓晨. 集成光谱降维的冬小麦叶片磷含量估算[J]. 中国农业科学, 2026, 59(4): 781-792. |
| [3] | 孔媛, 崔沙沙, 李美, 李健, 杨思雨, 房锋, 刘帅帅, 刘明平, 曾艳, 高兴祥, 柏连阳. 黄淮海冬小麦田多花黑麦草等5种禾本科杂草时空分布变化规律[J]. 中国农业科学, 2026, 59(4): 807-823. |
| [4] | 咸青林, 肖鉴珂, 高阿庆, 郜利闯, 刘杨. 种植方式结合测墒补灌下冬小麦产量及水分利用效率[J]. 中国农业科学, 2026, 59(3): 589-601. |
| [5] | 吕旭东, 孙世媛, 李亚楠, 刘玉龙, 王艳群, 付鑫, 张佳英, 宁鹏, 彭正萍. 智能机械化分层施肥对麦田根-土养分分布和小麦产量的影响[J]. 中国农业科学, 2026, 59(1): 129-146. |
| [6] | 蒲丽霞, 张佳芮, 叶建萍, 黄秀兰, 樊高琼, 杨洪坤. 二氢赤霉素与秸秆覆盖对旱地小麦分蘖成穗与产量的影响[J]. 中国农业科学, 2025, 58(9): 1735-1748. |
| [7] | 史帆, 李文广, 易树生, 杨娜, 陈玉萌, 郑伟, 张雪辰, 李紫燕, 翟丙年. 有机无机肥配施下旱地麦田土壤有机碳组分含量的变化特征[J]. 中国农业科学, 2025, 58(4): 719-732. |
| [8] | 房康睿, 丁世杰, 陈雨珊, 杨秉庚, 郭腾飞, 徐新朋, 赵士诚, 王秀斌, 黄绍敏, 仇少君, 何萍, 周卫. 有机无机肥配施下典型潮土小麦季有机肥氮磷的当季释放率[J]. 中国农业科学, 2025, 58(24): 5234-5246. |
| [9] | 卜容燕, 程文龙, 武际, 唐杉, 李敏, 鲁剑巍, 纪根学, 王慧, 朱睿, 蒋发辉, 汤萌萌, 韩上. 有机肥无机肥配施结合深耕提升稻油轮作系统生产力和养分利用效率[J]. 中国农业科学, 2025, 58(16): 3178-3189. |
| [10] | 孟孜贞, 任涛, 刘陈, 王昆昆, 廖世鹏, 李小坤, 丛日环, 陆志峰, 方娅婷, 鲁剑巍. 稻油轮作系统氮磷钾肥平衡施用提高作物产量和养分利用效率[J]. 中国农业科学, 2025, 58(16): 3190-3200. |
| [11] | 王荣荣, 徐宁璐, 黄修利, 赵凯男, 黄明, 王贺正, 付国占, 吴金芝, 李友军. 一次灌溉和氮肥运筹对旱地小麦籽粒产量和品质的影响[J]. 中国农业科学, 2025, 58(1): 43-57. |
| [12] | 高兴祥, 孔媛, 张耀中, 李美, 李健, 金岩, 张国福, 刘帅帅, 刘明平, 曾艳, 柏连阳. 河南省冬小麦田杂草群落分布现状及其变化原因分析[J]. 中国农业科学, 2025, 58(1): 91-100. |
| [13] | 臧少龙, 刘淋茹, 高越之, 吴珂, 贺利, 段剑钊, 宋晓, 冯伟. 基于无人机影像多时相的小麦品种氮效率分类识别[J]. 中国农业科学, 2024, 57(9): 1687-1708. |
| [14] | 高晨凯, 刘水苗, 李煜铭, 赵志恒, 邵京, 于昊琳, 吴鹏年, 王艳丽, 关小康, 王同朝, 温鹏飞. 冬小麦水分利用效率相关驱动因子及其预测模型构建[J]. 中国农业科学, 2024, 57(7): 1281-1294. |
| [15] | 高尚洁, 刘杏认, 李迎春, 柳晓婉. 施用生物炭和秸秆还田对农田温室气体排放及增温潜势的影响[J]. 中国农业科学, 2024, 57(5): 935-949. |
|
||