





中国农业科学 ›› 2025, Vol. 58 ›› Issue (24): 5190-5200.doi: 10.3864/j.issn.0578-1752.2025.24.007
张向昆(
), 李佳莹, 乔如梦, 何静蕾, 王莉, 师校欣, 杜国强*(
)
收稿日期:2025-08-17
接受日期:2025-09-25
出版日期:2025-12-22
发布日期:2025-12-22
通信作者:
联系方式:
张向昆,E-mail:zhangxiangkun2920@163.com。
基金资助:
ZHANG XiangKun(
), LI JiaYing, QIAO RuMeng, HE JingLei, WANG Li, SHI XiaoXin, DU GuoQiang*(
)
Received:2025-08-17
Accepted:2025-09-25
Published:2025-12-22
Online:2025-12-22
摘要:
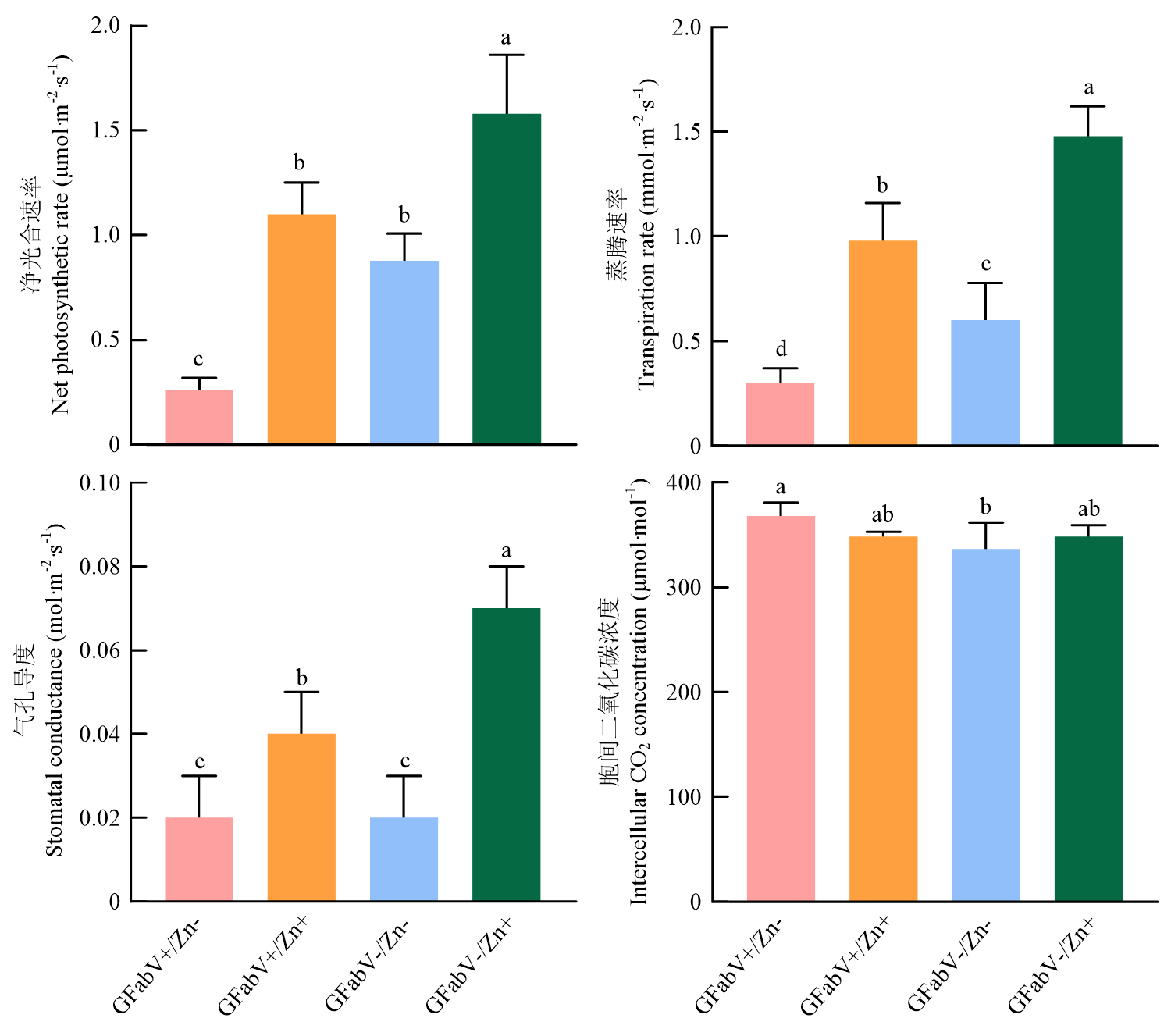
【目的】研究不同锌水平下GFabV对‘阳光玫瑰’葡萄光合特性的影响,通过分析光合作用相关基因相对表达差异,阐明GFabV影响叶片光合效率的分子机理。【方法】以携带GFabV‘阳光玫瑰’葡萄为试材、以无病毒苗为对照分别进行霍格兰营养液锌充足(0.22 mg·L-1)和锌缺乏(0)处理。随后观察叶片症状表现;测定叶片锌含量、GFabV表达量、叶片光合参数、叶绿素荧光参数和叶绿素含量;筛选与光合作用相关的差异表达基因,并对关键基因表达水平进行验证。【结果】在锌缺乏条件下,带GFabV和无病毒植株锌含量分别为1.79和9.59 mg·kg-1;锌充足条件下含量分别为18.84和23.16 mg·kg-1。锌缺乏时带GFabV植株叶片表现皱缩小叶、轻微褪绿症状,GFabV表达量显著高于锌充足处理;锌充足时带GFabV植株叶片未表现症状;锌缺乏时无病毒植株叶片表现轻微褪绿症状。与锌充足条件下无病毒植株相比,带GFabV植株、锌缺乏无病毒植株叶片的叶绿素a、叶绿素b、叶绿素a+b、PSII最大光化学效率(Fv/Fm)和PSII实际光化学效率(ΦPSII)均显著下降,以锌缺乏时带GFabV植株叶片叶绿素(a、b、a+b)含量、Fv/Fm、ΦPSII最低,分别为1.22、0.35、1.57 mg·g-1、0.40和0.04;带GFabV植株、锌缺乏下无病毒植株叶片净光合速率(Pn)、蒸腾速率(Tr)和气孔导度(Gs)均显著下降,以锌缺乏时带GFabV植株下降幅度最大,分别降至锌充足无病毒处理植株的16.27%、20.08%和21.99%。转录组测序和RT-qPCR结果表明,与锌充足下无病毒植株相比,带GFabV植株在锌缺乏时叶片PsbP、petC、PSBO和psaD表达量分别降至41.50%、54.81%、41.04%和44.45%;在锌充足时叶片ATPD、SEND33、psbA表达量显著降低;无病毒植株在锌缺乏时叶片PPD4、psbA表达量显著降低。与锌充足下带GFabV植株相比,在锌缺乏下带GFabV植株叶片PsbP、PSBO和psaD表达量分别降至55.03%、43.26%和53.36%。【结论】携带GFabV‘阳光玫瑰’葡萄叶片在锌缺乏条件下叶绿素含量显著降低,GFabV表达量升高,叶片出现皱缩小叶、轻微褪绿症状。GFabV通过下调叶片中PsbP、PSBO和psaD等光合相关基因表达,导致光合参数、叶绿素荧光参数显著下降影响叶片光合效率。
张向昆, 李佳莹, 乔如梦, 何静蕾, 王莉, 师校欣, 杜国强. 不同锌水平下GFabV对‘阳光玫瑰’葡萄光合效率及光合相关基因表达的影响[J]. 中国农业科学, 2025, 58(24): 5190-5200.
ZHANG XiangKun, LI JiaYing, QIAO RuMeng, HE JingLei, WANG Li, SHI XiaoXin, DU GuoQiang. Effects of GFabV Under Different Zn Levels on Photosynthetic Efficiency and Photosynthesis-Related Gene Expression of ‘Shine Muscat’ Grapevine[J]. Scientia Agricultura Sinica, 2025, 58(24): 5190-5200.
表2
RT-qPCR引物信息"
| 基因名称 Gene name | 引物序列 Primer sequence (5′-3′) | 产物大小 Product size (bp) |
|---|---|---|
| petC | F: GCCACCTATGGTATTAACGCGG R: GTCCTCTGACAACCCTGCCT | 130 |
| PSBO | F: TCGCTTGACCTACACCCTCG R: CCCGATACGAGGGGACCAAG | 218 |
| ATPD | F: AACGCAACGTTTTGGACGAG R: TGCTCCGACTCCAGTTTCAC | 196 |
| psaD | F: TGAGTTGGACCCCAATACGC R: GCACTGCTCTTTCCTAGCCA | 196 |
| PsbP | F: TTTCCAGTGCAGACAGCGTG R: TGTCTCGGGTCCATTCTGGT | 174 |
| SEND33 | F: GTGAGCACCTCCTTCATCCG R: CCAAACAGAGCCTGACCCAC | 77 |
表3
不同锌水平下GFabV对‘阳光玫瑰’葡萄叶片叶绿素含量和叶绿素荧光参数的影响"
| 处理 Treatment | 叶绿素a含量 Chla content (mg·g-1) | 叶绿素b含量 Chlb content (mg·g-1) | 总叶绿素含量 Chl a+b content (mg·g-1) | PSII最大光化学效率 Fv/Fm | PSII实际光化学效率 ΦPSII |
|---|---|---|---|---|---|
| GFabV+/Zn- | 1.22±0.07c | 0.35±0.06c | 1.57±0.12c | 0.40±0.02c | 0.04±0.01c |
| GFabV+/Zn+ | 1.64±0.03b | 0.64±0.01b | 2.28±0.04b | 0.58±0.08b | 0.08±0.02b |
| GFabV-/Zn- | 1.59±0.02b | 0.63±0.03b | 2.21±0.03b | 0.60±0.09b | 0.07±0.01b |
| GFabV-/Zn+ | 2.00±0.04a | 0.80±0.05a | 2.80±0.09a | 0.75±0.03a | 0.14±0.03a |
表4
不同锌水平下带GFabV葡萄叶片光合相关差异表达基因分析"
| 基因ID Gene ID | 基因名称 Gene name | Log2FC | |||
|---|---|---|---|---|---|
| GFabV+/Zn- vs GFabV-/Zn+ | GFabV-/Zn- vs GFabV-/Zn+ | GFabV+/Zn+ vs GFabV-/Zn+ | GFabV+/Zn- vs GFabV+/Zn+ | ||
| LOC100252244 | PPD4 | -1.10 | -0.64 | -0.98 | — |
| LOC132254568 | psbA | -0.87 | -0.87 | -1.04 | — |
| LOC100258958 | ATPC | 2.37 | 2.07 | 1.48 | — |
| LOC100260811 | PSBO | -1.09 | — | — | -0.79 |
| LOC100242600 | psaD | -1.41 | — | — | -1.08 |
| LOC100261871 | PsbP | -1.00 | — | — | -0.61 |
| LOC100245219 | petC | -1.03 | — | -0.66 | — |
| LOC100251062 | ATPD | -1.04 | — | -0.56 | — |
| LOC100249080 | SEND33 | -1.03 | — | -0.74 | — |
| LOC104878430 | psbH | -3.64 | — | — | -3.30 |
| [1] |
王令宇, 杨毓贤, 叶东东, 葛孟清, 诸葛雅贤, 王霏, 张晓雯, 肖鑫, 余文斌, 刘畅, 房经贵, 上官凌飞. 我国阳光玫瑰葡萄果实品质性状调查分析. 山西农业科学, 2022, 50(7): 1009-1015.
|
|
|
|
| [2] |
何晶晶, 李胜, 王荣, 许延帅, 陈文婷, 王美军, 杨国顺, 白描. ‘阳光玫瑰’葡萄病毒病症状差异及其对品质的影响. 中外葡萄与葡萄酒, 2024(3): 47-52.
|
|
|
|
| [3] |
范旭东, 董雅凤, 张尊平, 张梦妍, 任芳, 胡国君. ‘阳光玫瑰’葡萄病毒小RNA测序鉴定及RT-PCR检测. 植物病理学报, 2019, 49(6): 749-755.
doi: 10.13926/j.cnki.apps.000396 |
|
|
|
| [4] |
doi: 10.1371/journal.pone.0214010 |
| [5] |
|
| [6] |
doi: 10.3389/fpls.2020.00739 |
| [7] |
|
| [8] |
|
| [9] |
|
| [10] |
doi: 10.1094/PHYTO-07-16-0282-R pmid: 27670772 |
| [11] |
doi: 10.1007/s10327-019-00888-0 |
| [12] |
沈喜, 李红玉. 病毒侵染后植物叶绿体光合作用变化的分子机制. 植物病理学报, 2003, 33(4): 289-291.
|
|
|
|
| [13] |
张梦妍. 葡萄蚕豆萎蔫病毒荧光定量PCR检测及对寄主的影响研究[D]. 北京: 中国农业科学院, 2020.
|
|
|
|
| [14] |
doi: 10.1093/jxb/ers244 |
| [15] |
doi: 10.1111/jph.2004.152.issue-3 |
| [16] |
doi: 10.3390/ijms24043247 |
| [17] |
doi: 10.3390/v14081831 |
| [18] |
李惠, 刘利, 李秀杰, 孙庆华, 韩燕, 朱自果, 韩真, 李勃. 盐碱胁迫对‘阳光玫瑰’葡萄氮素吸收利用的影响. 中外葡萄与葡萄酒, 2024(6): 32-39.
|
|
|
|
| [19] |
王佳悦, 李光宗, 李娟, 单守明, 李翔. 水分胁迫对北红葡萄果实品质及有机酸合成基因表达的影响. 果树学报, 2025, 42(2): 266-275.
|
|
|
|
| [20] |
付伟. 锌肥对‘阳光玫瑰’葡萄叶片光合特性和果实品质的影响研究[D]. 雅安: 四川农业大学, 2019.
|
|
|
|
| [21] |
doi: 10.1111/ppl.2017.160.issue-2 |
| [22] |
崔振华. 葡萄试管苗对葡萄卷叶病和PEG诱导的干旱胁迫的响应及耐病毒砧木评价的研究[D]. 杨凌: 西北农林科技大学, 2017.
|
|
|
|
| [23] |
doi: 10.3389/fpls.2020.00226 pmid: 32194603 |
| [24] |
doi: 10.1007/s11240-020-01987-z |
| [25] |
doi: 10.1016/S2095-3119(19)62677-8 |
| [26] |
doi: 10.1016/j.scienta.2023.112512 |
| [27] |
郭世荣. 无土栽培学. 北京: 中国农业出版社, 2003: 98-112.
|
|
|
|
| [28] |
王学奎. 植物生理生化实验原理和技术. 北京: 高等教育出版社, 2006: 134-136.
|
|
|
|
| [29] |
马宗桓, 高静涛, 边志远, 陈佰鸿, 毛娟, 郭艳兰, 陈胜, 梁国平, 李蔚, 赵彦红. 葡萄叶片营养诊断技术规程: DB62/T 5049-2024[S]. (2024-11-20) [2025-08-17].
|
|
|
|
| [30] |
余茜. 不同苹果品种锌含量差异及‘长富2号’苹果补锌措施研究[D]. 杨凌: 西北农林科技大学, 2024.
|
|
|
|
| [31] |
doi: 10.1111/ppa.v70.1 |
| [32] |
孙明飞, 朱杰, 李潞, 高美娜, 梁博文, 周莎莎, 徐继忠, 李中勇. 缺锌胁迫对‘天红2号/冀砧2号’苹果幼树生长、光合特性和内源激素含量的影响. 植物营养与肥料学报, 2023, 29(3): 544-552.
|
|
|
|
| [33] |
doi: 10.1016/j.jviromet.2010.03.024 pmid: 20362003 |
| [34] |
doi: 10.1007/s13593-014-0246-1 |
| [35] |
doi: 10.1007/s11099-017-0737-9 |
| [36] |
doi: 10.1111/epp.2015.45.issue-1 |
| [37] |
doi: S0166-0934(16)30523-7 pmid: 28572041 |
| [38] |
付春霞, 张元珍, 王衍安, 范晓丹, 闫玉静, 张友朋. 缺锌胁迫对苹果叶片光合速率及叶绿素荧光特性的影响. 中国农业科学, 2013, 46(18): 3826-3833. doi:10.3864/j.issn.0578-1752.2013.18.011.
|
|
|
|
| [39] |
张莉, 任媛媛, 张岁岐. 锌缺乏对植物生长发育的影响. 现代农业研究, 2020, 26(5): 54-55.
|
|
|
|
| [40] |
|
| [41] |
doi: 10.1016/j.plaphy.2025.109847 |
| [42] |
doi: 10.1371/journal.pone.0247127 |
| [1] | 蔡廷阳, 朱玉鹏, 李瑞东, 吴宗声, 徐一帆, 宋雯雯, 徐彩龙, 吴存祥. 苗期叶损伤对黄淮海夏大豆光合特性、荚果分布及产量形成的影响[J]. 中国农业科学, 2026, 59(2): 292-304. |
| [2] | 陈鸽, 谷雨, 文炯, 傅岳峰, 何兮, 李薇, 周峻宇, 刘琼峰, 吴海勇. 冬闲杂草还田对水稻光合物质生产和产量的影响[J]. 中国农业科学, 2025, 58(4): 647-659. |
| [3] | 王佳芯, 胡静一, 张巍, 魏骞, 王涛, 王小林, 张雄, 张盼盼. 覆膜方式对间作玉米光合物质生产及水分利用效率的影响[J]. 中国农业科学, 2025, 58(3): 460-477. |
| [4] | 张欢欢, 张刁亮, 王晓丽, 陈寒, 邵娟, 殷文, 胡发龙, 柴强, 樊志龙. 绿肥联合麦秸还田对减量施氮春小麦光合特性和产量的影响[J]. 中国农业科学, 2025, 58(17): 3461-3472. |
| [5] | 徐佳鑫, 华楠, 王永强, 徐浩, 刘震, 赵小锐, 李悦, 陈启蔚, 叶林. 响应曲面法优化水肥药耦合对辣椒生长、光合特性及根腐病的影响[J]. 中国农业科学, 2025, 58(14): 2869-2884. |
| [6] | 赵凯男, 丁豪, 刘阿康, 姜宗昊, 陈广周, 冯波, 王宗帅, 李华伟, 司纪升, 张宾, 毕香君, 李勇, 李升东, 王法宏. 氮肥减量后移改善植株光合特性提高麦-玉周年产量及经济效益[J]. 中国农业科学, 2024, 57(5): 868-884. |
| [7] | 雷新慧, 吴怡欣, 王家乐, 陶金才, 万晨茜, 王孟, 高小丽, 冯佰利, 高金锋. 种植密度与施肥水平对甜荞光合特性、产量及抗倒伏的影响[J]. 中国农业科学, 2024, 57(2): 264-277. |
| [8] | 谷闻东, 刘春娟, 李邦, 刘畅, 周宇飞. 外源色氨酸对低氮胁迫下高粱苗期叶片碳氮平衡和衰老特性的影响[J]. 中国农业科学, 2023, 56(7): 1295-1310. |
| [9] | 常春义, 曹元, Ghulam Mustafa, 刘红艳, 张羽, 汤亮, 刘兵, 朱艳, 姚霞, 曹卫星, 刘蕾蕾. 白粉病对小麦光合特性的影响及病害严重度的定量模拟[J]. 中国农业科学, 2023, 56(6): 1061-1073. |
| [10] | 李美璇, 张向昆, 王莉, 乔月莲, 师校欣, 杜国强. 沙地葡萄茎痘相关病毒在‘阳光玫瑰’葡萄树不同物候期和不同部位的变化规律[J]. 中国农业科学, 2023, 56(21): 4234-4244. |
| [11] | 熊伟仡, 徐开未, 刘明鹏, 肖华, 裴丽珍, 彭丹丹, 陈远学. 不同氮用量对四川春玉米光合特性、氮利用效率及产量的影响[J]. 中国农业科学, 2022, 55(9): 1735-1748. |
| [12] | 王博,覃富强,邓凤莹,罗惠格,陈祥飞,成果,白扬,黄小云,韩佳宇,曹雄军,白先进. ‘阳光玫瑰’葡萄一年两收果实类黄酮组分及含量差异分析[J]. 中国农业科学, 2022, 55(22): 4473-4486. |
| [13] | 郝艳,李晓颍,叶茂,刘亚婷,王天宇,王海静,张立彬,肖啸,武军凯. ‘21世纪’桃与‘久脆’桃及其杂交后代果实挥发性成分特征分析[J]. 中国农业科学, 2022, 55(22): 4487-4499. |
| [14] | 徐珂,樊志龙,殷文,赵财,于爱忠,胡发龙,柴强. 氮肥后移及间作对玉米光合特性的耦合效应[J]. 中国农业科学, 2022, 55(21): 4131-4143. |
| [15] | 李小凡, 邵靖宜, 于维祯, 刘鹏, 赵斌, 张吉旺, 任佰朝. 高温干旱复合胁迫对夏玉米产量及光合特性的影响[J]. 中国农业科学, 2022, 55(18): 3516-3529. |
|
||