





 
			中国农业科学 ›› 2025, Vol. 58 ›› Issue (20): 4203-4215.doi: 10.3864/j.issn.0578-1752.2025.20.013
        
               		靳晓莹1( ), 肖柄政1, 张天津2, 刘忠宽3, 冯伟3(
), 肖柄政1, 张天津2, 刘忠宽3, 冯伟3( ), 杜章留1,4(
), 杜章留1,4( )
)
                  
        
        
        
        
    
收稿日期:2025-08-28
									
				
									
				
											接受日期:2025-09-27
									
				
											出版日期:2025-10-16
									
				
											发布日期:2025-10-14
									
			通信作者:
					联系方式:
				靳晓莹,E-mail:1967778181@qq.com。
				
							基金资助:
        
               		JIN  XiaoYing1( ), XIAO  BingZheng1, ZHANG  TianJin2, LIU  ZhongKuan3, FENG  Wei3(
), XIAO  BingZheng1, ZHANG  TianJin2, LIU  ZhongKuan3, FENG  Wei3( ), DU  ZhangLiu1,4(
), DU  ZhangLiu1,4( )
)
			  
			
			
			
                
        
    
Received:2025-08-28
									
				
									
				
											Accepted:2025-09-27
									
				
											Published:2025-10-16
									
				
											Online:2025-10-14
									
			摘要:
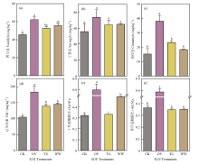
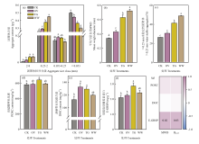
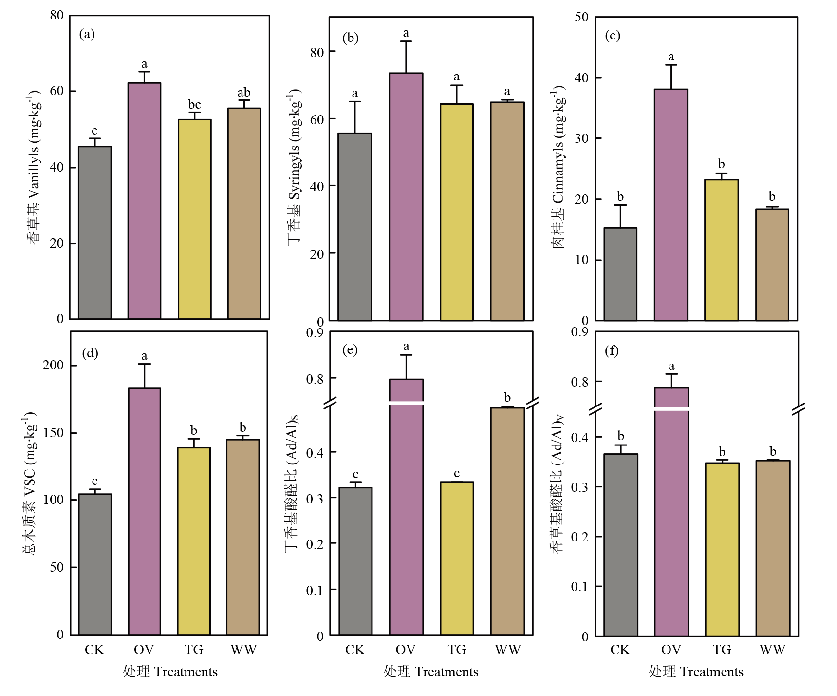
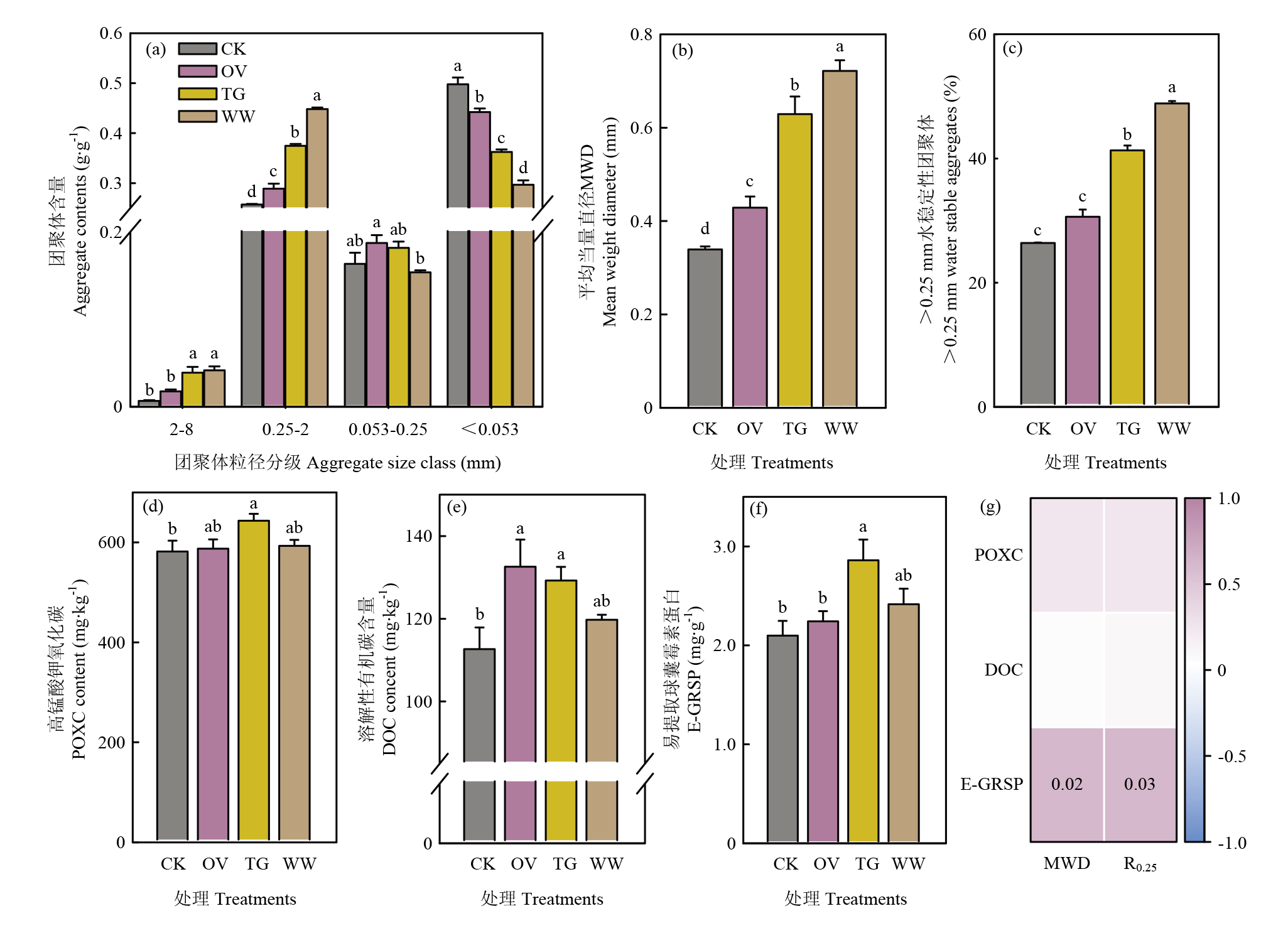
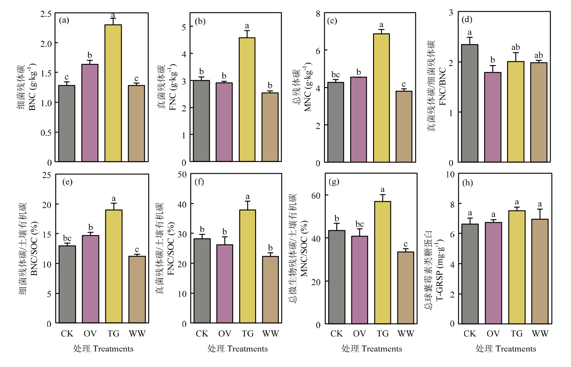
【目的】探究冬绿肥种植模式下土壤团聚性和有机质来源特征,为盐碱农田有机质积累和土壤质量提升提供科学依据。【方法】在河北黄骅进行4年绿肥试验,设置冬闲田(CK)、冬种二月兰(OV)、冬种黑麦(TG)和冬小麦(WW)4个处理,探究其对土壤水稳性团聚体分布、稳定性和有机质组分的影响,明确不同来源有机质的相对贡献及影响因素。利用木质素酚类、球囊霉素相关土壤蛋白(GRSP)和微生物死亡残体(MNC)3种生物标志物,定量解析植物源和微生物源有机质组分。【结果】与CK相比较,冬绿肥措施在不同程度上提高了土壤有机碳(SOC)储量(增幅为12.2%—21.8%,其中TG处理差异显著)和全氮储量(增幅为22.5%—36.4%)。另外,不同冬绿肥措施中>2—8 mm和0.25—2 mm团聚体组分的含量较CK分别提高了1.9—6.2倍和12.4%—74.6%。与CK相比较,OV、TG和WW处理的团聚体平均当量直径分别增加了26.7%、86.4%和113.8%,大团聚体占比(>0.25 mm)分别增加了16.3%、57.3%和86.4%。在植物源木质素方面,与CK相比,OV处理的香草基、肉桂基单体含量分别增加了37.7%和149.7%。OV、TG和WW处理的总木质素酚较CK分别增加了74.6%、32.9%和38.4%。同时,TG处理较CK的易提取态GRSP增加了36.5%,而总GRSP无显著差异。冬绿肥措施在不同程度上提高了细菌残体(BNC)、真菌残体(FNC)和总残体(MNC)的含量,其中TG处理的MNC含量较CK增加了60.6%,且TG处理提高了BNC、FNC和MNC对SOC贡献率(分别为19%、38%和57%);不同绿肥措施微生物残体对土壤有机碳的贡献均高于植物源碳。【结论】冬绿肥模式有利于提高土壤团聚性,促进微生物源有机质的积累,对滨海盐碱地区碳固存和土壤质量提升具有重要作用。
靳晓莹, 肖柄政, 张天津, 刘忠宽, 冯伟, 杜章留. 冬绿肥提升滨海盐碱土团聚性及植物源与微生物源有机碳固存[J]. 中国农业科学, 2025, 58(20): 4203-4215.
JIN XiaoYing, XIAO BingZheng, ZHANG TianJin, LIU ZhongKuan, FENG Wei, DU ZhangLiu. Winter Green Manure Enhances Soil Aggregation and Plant- and Microbial-Derived Carbon Sequestration in Coastal Saline-Alkali Soils[J]. Scientia Agricultura Sinica, 2025, 58(20): 4203-4215.
 
												
												表1
冬绿肥措施下土壤有机碳和全氮含量、储量及其比率"
| 处理 Treatments | 容重 Bulk density (g·cm-3) | 含量 Concentrations (g·kg-1) | 碳氮比 SOC/TN | 储量 Storage (Mg·hm-2) | ||
|---|---|---|---|---|---|---|
| 土壤有机碳SOC | 全氮 TN | SOC | TN | |||
| CK | 1.16±0.03a | 9.96±0.70b | 0.85±0.07b | 11.71±0.19a | 20.43±1.43b | 1.75±0.15b | 
| OV | 1.06±0.03a | 11.18±0.51ab | 1.04±0.06a | 10.71±0.09b | 22.92±1.06ab | 2.14±0.12a | 
| TG | 1.05±0.04a | 12.13±0.30a | 1.16±0.02a | 10.45±0.42b | 24.88±0.61a | 2.38±0.04a | 
| WW | 1.07±0.07a | 11.42±0.57ab | 1.09±0.04a | 10.49±0.13b | 23.41±1.17ab | 2.23±0.09a | 
 
												
												表2
冬绿肥措施下土壤盐分相关参数特征"
| 处理 Treatments | pH 水土比2.5:1 | EC (dS·m-1) | CEC (cmol·kg-1) | SAR ((mmol·L-1)1/2) | CROSS ((mmol·L-1)1/2) | 
|---|---|---|---|---|---|
| CK | 8.40±0.03a | 0.139±0.01b | 6.55±0.24a | 0.70±0.07a | 0.75±0.07a | 
| OV | 8.21±0.06ab | 0.141±0.01b | 5.88±0.24a | 0.71±0.03a | 0.79±0.02a | 
| TG | 8.10±0.02ab | 0.122±0.01b | 6.09±0.15a | 0.53±0.04b | 0.60±0.03b | 
| WW | 7.80±0.06b | 0.193±0.02a | 6.11±0.07a | 0.68±0.06a | 0.74±0.06a | 
| [1] | FAO. Global Status of Salt-Affected Soils-Main Report. FAO Rome, 2024. | 
| [2] | 杨劲松, 姚荣江, 王相平, 谢文萍, 张新, 朱伟, 张璐, 孙瑞娟. 中国盐渍土研究: 历程、现状与展望. 土壤学报, 2022, 59(1): 10-27. | 
|  | |
| [3] | 赵英, 王丽, 赵惠丽, 陈小兵. 滨海盐碱地改良研究现状及展望. 中国农学通报, 2022, 38(3): 67-74.  doi: 10.11924/j.issn.1000-6850.casb2021-0255 | 
| doi: 10.11924/j.issn.1000-6850.casb2021-0255 | |
| [4] | doi: 10.1111/gcb.14644 pmid: 30955227 | 
| [5] | 李可心, 王光美, 张晓冬, 张海波, 石一鸣, 季增诚, 周志勇. 毛叶苕子对滨海盐碱地土壤活性有机碳和后茬玉米产量的影响. 中国生态农业学报(中英文), 2023, 31(3): 405-416. | 
|  | |
| [6] |  | 
| [7] | 张京磊, 王国良, 吴波, 贾春林, 张进红, 周圆, 马冰. 滨海盐碱地苜蓿-小黑麦黑麦轮作对土壤细菌和真菌群落多样性与网络结构的影响. 生态环境学报, 2024, 33(7): 1048-1062.  doi: 10.16258/j.cnki.1674-5906.2024.07.006 | 
|  | |
| [8] | 王强盛, 薄雨心, 余坤龙, 刘晓雪. 绿肥还田在稻作生态系统的效应分析及研究展望. 土壤, 2021, 53(2): 243-249. | 
|  | |
| [9] | 曹卫东, 周国朋, 高嵩涓. 绿肥内源驱动土壤健康的作用与机制. 植物营养与肥料学报, 2024, 30(7): 1274-1283. | 
|  | |
| [10] |  | 
| [11] | doi: 10.1111/gcb.12551 pmid: 24789378 | 
| [12] |  | 
| [13] |  | 
| [14] |  | 
| [15] |  | 
| [16] |  | 
| [17] |  | 
| [18] |  | 
| [19] |  | 
| [20] | 鲍士旦. 土壤农化分析. 3版. 北京: 中国农业出版社, 2000. | 
|  | |
| [21] |  | 
| [22] |  | 
| [23] |  | 
| [24] |  | 
| [25] |  | 
| [26] |  | 
| [27] | doi: 10.1111/gcb.15595 pmid: 33713528 | 
| [28] |  | 
| [29] |  | 
| [30] |  | 
| [31] |  | 
| [32] | 闫桂菀, 董文斌, 李忠义, 韦彩会, 唐红琴, 邓羽松, 张宇亭, 何铁光. 绿肥覆盖对果园土壤团聚体及有机碳组分的影响. 应用生态学报, 2024, 35(12): 3427-3434.  doi: 10.13287/j.1001-9332.202412.012 | 
| doi: 10.13287/j.1001-9332.202412.012 | |
| [33] |  | 
| [34] |  | 
| [35] | 杨滨娟, 黄国勤, 兰延, 陈洪俊, 王淑彬. 施氮和冬种绿肥对土壤活性有机碳及碳库管理指数的影响. 应用生态学报, 2014, 25(10): 2907-2913. | 
|  | |
| [36] |  | 
| [37] | 王国璀, 胡发龙, 李含婷, 殷文, 樊志龙, 范虹, 柴强, 曹卫东. 绿肥提高农田土壤有机碳固存机制的研究进展. 植物营养与肥料学报, 2024, 30(6): 1185-1198. | 
|  | |
| [38] | 赵秋, 田秀平, 周丽平, 代雪宾, 宁晓光, 张新建. 不同冬绿肥翻压对土壤有机氮组分和氮素矿化的影响. 水土保持通报, 2023, 43(1): 78-83. | 
|  | |
| [39] | 刘冲, 洪立洲, 郁凯, 董静, 陈环宇, 邢锦城. 江苏沿海滩涂绿肥种植模式对土壤水稳性团聚体及有机碳含量的影响. 江苏农业科学, 2023, 51(12): 180-186. | 
|  | |
| [40] | 吕奕彤, 于爱忠, 吕汉强, 王玉珑, 苏向向, 柴强. 绿洲灌区玉米农田土壤团聚体组成及其稳定性对绿肥还田方式的响应. 中国生态农业学报(中英文), 2021, 29(7): 1194-1204. | 
|  | |
| [41] |  | 
| [42] |  | 
| [43] |  | 
| [44] |  | 
| [45] | 程琪, 毛霞丽, 孙涛, 王湘洁, 马庆旭, 吴良欢. 长期化肥与不同有机物料配施对土壤微生物生态化学计量特征和群落结构的影响. 植物营养与肥料学报, 2024, 30(2): 209-220. | 
|  | |
| [46] |  | 
| [47] |  | 
| [48] |  | 
| [49] |  | 
| [50] |  | 
| [51] | doi: 10.1038/nmicrobiol.2017.105 pmid: 28741607 | 
| [52] |  | 
| [53] |  | 
| [54] | doi: 10.1038/s41579-022-00695-z pmid: 35228712 | 
| [1] | 尹波, 于爱忠, 王鹏飞, 杨学慧, 王玉珑, 尚永盼, 张冬玲, 刘亚龙, 李悦, 王凤. 绿肥还田结合氮肥减施对干旱灌区麦田土壤水热特征及小麦产量的影响[J]. 中国农业科学, 2025, 58(7): 1366-1380. | 
| [2] | 黄少辉, 杨慧敏, 杨军芳, 杨文方, 聂浩亮, 张静, 邢素丽, 王敬霞, 杨云马, 贾良良. 磷肥长期施用对石灰性褐土团聚体中磷形态及磷酸酶活性的影响[J]. 中国农业科学, 2025, 58(5): 943-955. | 
| [3] | 仇海龙, 李盼, 张殿凯, 樊志龙, 胡发龙, 陈桂平, 范虹, 何蔚, 殷文, 赵连豪. 西北绿洲灌区麦后复种绿肥对减量施氮春小麦生长及产量的补偿效应[J]. 中国农业科学, 2025, 58(3): 443-459. | 
| [4] | 于茹, 李玉义, 曹巨峰, 马俊, 常芳弟, 宋佳珅, 张宏媛, 李晓彬, 李浩若, 张华, 王婧. 施肥管理对麦后复种绿肥盐碱土碳组分与小麦产量的影响[J]. 中国农业科学, 2025, 58(20): 4189-4202. | 
| [5] | 张梦璇, 常芳弟, 魏禾雅, 李晓红, 伍林美, 张宏媛. 盐碱地麦后复种绿肥与氮肥减施对小麦产量、环境足迹及经济效益的协同效应[J]. 中国农业科学, 2025, 58(20): 4216-4230. | 
| [6] | 白小龙, 刘娜, 宋佳珅, 王国丽, 王伟妮, 刘俊梅, 李玉义. 复合隔层对盐碱土水分入渗、蒸发及水盐分布的影响[J]. 中国农业科学, 2025, 58(20): 4246-4258. | 
| [7] | 张斯佳, 杨杰, 赵帅, 李莉威, 王贵彦. 华北平原多样化作物与小麦-玉米轮作对土壤质量的影响[J]. 中国农业科学, 2025, 58(2): 238-251. | 
| [8] | 张欢欢, 张刁亮, 王晓丽, 陈寒, 邵娟, 殷文, 胡发龙, 柴强, 樊志龙. 绿肥联合麦秸还田对减量施氮春小麦光合特性和产量的影响[J]. 中国农业科学, 2025, 58(17): 3461-3472. | 
| [9] | 王鹏飞, 于爱忠, 王凤, 王玉珑, 吕汉强, 尚永盼, 尹波, 刘亚龙, 张冬玲, 霍建喆, 姜科强, 庞小能. 干旱地区绿肥还田条件下减氮对玉米农艺性状、产量及籽粒品质的影响[J]. 中国农业科学, 2025, 58(13): 2552-2563. | 
| [10] | 李蓉, 李正鹏, 严清彪, 郭冉冉, 韩梅, 徐珂. 复种绿肥协同不同水平氮肥对春小麦产量及品质的影响[J]. 中国农业科学, 2025, 58(12): 2333-2345. | 
| [11] | 郭磊, 张斌斌, 沈志军, 严娟, 许建兰, 蔡志翔, 俞明亮, 王发林, 宋宏峰. 桃园绿肥连续还田后中微量元素释放特征及对土壤有效养分的影响[J]. 中国农业科学, 2025, 58(12): 2411-2426. | 
| [12] | 高嵩涓, 吴翠霞, 周国朋, 常单娜, 曹卫东. “绿肥+”产业机制及其实践[J]. 中国农业科学, 2025, 58(10): 1982-1993. | 
| [13] | 乔钲岩, 于淼, 唐玉劼, 石贵山, 刘新宇, 刘晓涵, 王新鼎, 李扬, 王鼐, 陈冰嬬. 粒用高粱幼苗期耐苏打盐碱综合评价与指标鉴选[J]. 中国农业科学, 2025, 58(1): 30-42. | 
| [14] | 韩潇杰, 任志杰, 李双静, 田培培, 卢素豪, 马耕, 王丽芳, 马冬云, 赵亚南, 王晨阳. 不同施氮量对土壤团聚体碳氮含量及小麦产量的影响[J]. 中国农业科学, 2024, 57(9): 1766-1778. | 
| [15] | 麻碧娇, 陈桂平, 苟志文, 殷文, 樊志龙, 胡发龙, 范虹, 何蔚. 河西灌区减氮条件下小麦复种绿肥的水分利用及经济效益[J]. 中国农业科学, 2024, 57(4): 740-754. | 
| 
 | ||