Scientia Agricultura Sinica ›› 2026, Vol. 59 ›› Issue (6): 1217-1230.doi: 10.3864/j.issn.0578-1752.2026.06.006

• TILLAGE & CULTIVATION·PHYSIOLOGY & BIOCHEMISTRY·AGRICULTURE INFORMATION TECHNOLOGY • Previous Articles     Next Articles

Evaluation of Nitrogen Efficiency of Different Stay-Green Maize Hybrids

HE JiHang(), ZHANG Qing, LÜ XiangYue, XUE JiQuan, XU ShuTu(), LIU JianChao()   

  1. College of Agronomy, Northwest A&F University/Key Laboratory of Maize Biology and Genetic Breeding in Arid Area of Northwest Region, Yangling 712100, Shaanxi
  • Received:2025-05-07 Accepted:2026-03-04 Online:2026-03-16 Published:2026-03-24
  • Contact: XU ShuTu, LIU JianChao

Abstract:

【Objective】Stay-green trait is an important agronomic characteristic closely related to high yield, good quality, and stress resistance of maize. This study explored the differences in nitrogen uptake and translocation of different stay-green maize hybrids, aiming to provide a theoretical basis for the physiological mechanism of high nitrogen efficiency in maize. 【Method】The tested materials were the stay-green hybrid Shandan 650 and the non-stay-green hybrid Zhengdan 958. In 2023, 6 N treatments were applied: N1 (0 kg·hm-2), N2 (60 kg·hm-2), N3 (120 kg·hm-2), N4 (180 kg·hm-2), N5 (240 kg·hm-2), and N6 (300 kg·hm-2). In 2024, a nitrogen×density interaction experiment was conducted with three N levels—low N (LN, 0 kg·hm-2), medium N (MN, 180 kg·hm-2), and high N (HN, 240 kg·hm-2)—and two planting densities—low density (LD, 60 000 plants·hm-2) and high density (HD, 75 000 plants·hm-2). After the silking stage of maize, indicators were determined for each treatment, such as SPAD value of ear leaves, total number of green leaves per plant, dry matter, and nitrogen accumulation in vegetative organs and grains. Meanwhile, nitrogen absorption and translocation rates as well as nitrogen use efficiency-related indicators were analyzed. 【Result】 Grain yield of both hybrids initially increased and then stabilized with rising N rates, with Shandan 650 consistently outperforming Zhengdan 958 across all N and density treatments. Post-silking, Shandan 650 exhibited faster chlorophyll degradation (SPAD decline: 65.1% vs. 49.9%) and greater green leaf loss than Zhengdan 958, particularly under low N. Shandan 650 demonstrated superior N remobilization efficiency, especially under low N and high density, with significantly higher N translocation from leaves to grains. Overall, Shandan 650 achieved significantly higher N remobilization efficiency, nitrogen use efficiency, nitrogen agronomic efficiency, and nitrogen harvest index than Zhengdan 958. Furthermore, under high-density planting conditions, reasonable nitrogen reduction further enhanced its nitrogen efficiency performance. 【Conclusion】 The functional stay-green maize variety Shandan 650 maintains consistent greenness and photosynthetic capacity until a certain period before physiological maturity, at which point a rapid decline occurs along with nitrogen remobilization. Its strong nitrogen translocation capacity in vegetative organs enhances nitrogen translocation rate and nitrogen use efficiency, and higher nitrogen efficiency could be achieved under reasonable nitrogen reduction and density increase.

Key words: maize, nitrogen use efficiency, stay-green, yield, nitrogen

Table 1

Tested soil fertility"

年份
Year
全氮
Total nitrogen
(g·kg-1)
碱解氮
Alkali-hydrolyze nitrogen (mg·kg-1)
有机质
Organic matter
(mg·kg-1)
速效磷
Available phosphorus
(mg·kg-1)
速效钾
Available potassium
(mg·kg-1)
pH
2023 0.54 66.12 12.64 12.14 131.11 8.5
2024 0.46 51.24 13.45 15.71 133.37 8.8

Fig. 1

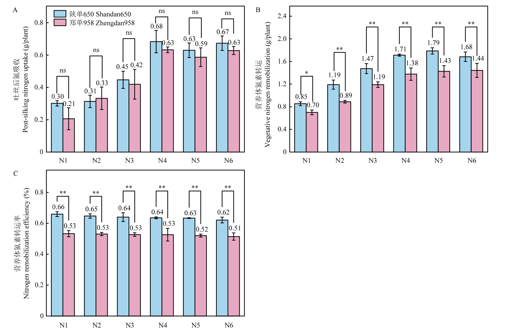
Nitrogen response curves of SD 650 and ZD 958 under different nitrogen application rates in 2023 “ns” indicates no significant difference between varieties at the same N rate (P≥0.05); * indicates a significant difference between varieties at the same N rate (P<0.05); ** indicates a highly significant difference between varieties at the same N rate (P<0.01); Error bars represent standard deviation of triplicate measurements. The same as below"

Fig. 2

Yield analysis of SD 650 and ZD 958 under different nitrogen application rates and planting densities in 2024 HNLD: High nitrogen, low density; HNHD: High nitrogen, high density; MNLD: Medium nitrogen, low density; MNHD: Medium nitrogen, high density; LNLD: Low nitrogen, low density; LNHD: Low nitrogen, high density. The same as below"

Fig. 3

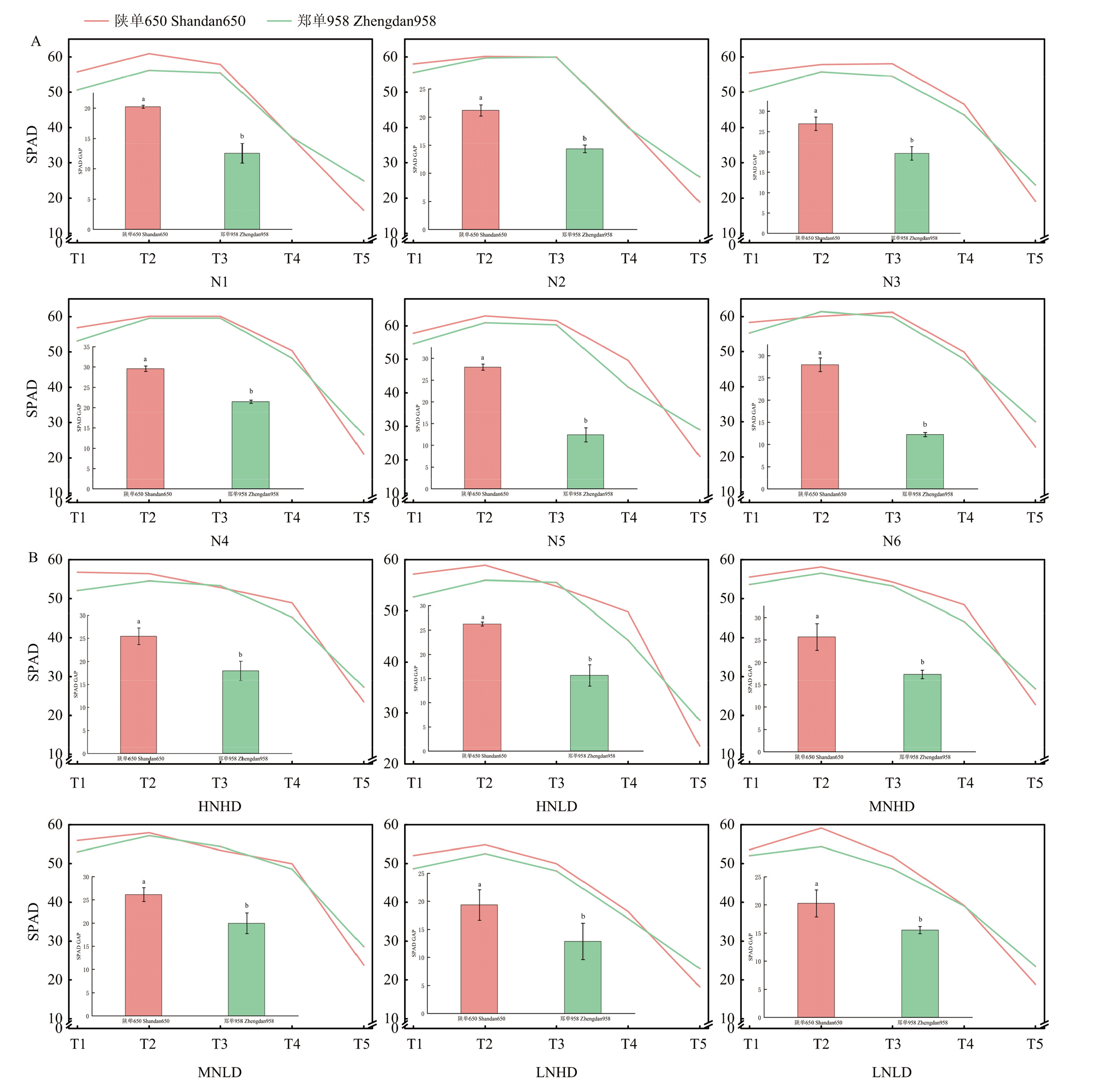
Dynamic trends of SPAD and dynamic differences in chlorophyll of the two varieties under different nitrogen treatments (A) and nitrogen-density interactions (B) SPAD GAP represents the dynamic difference in chlorophyll; The significance markers are for comparisons between varieties. The same as below"

Fig. 4

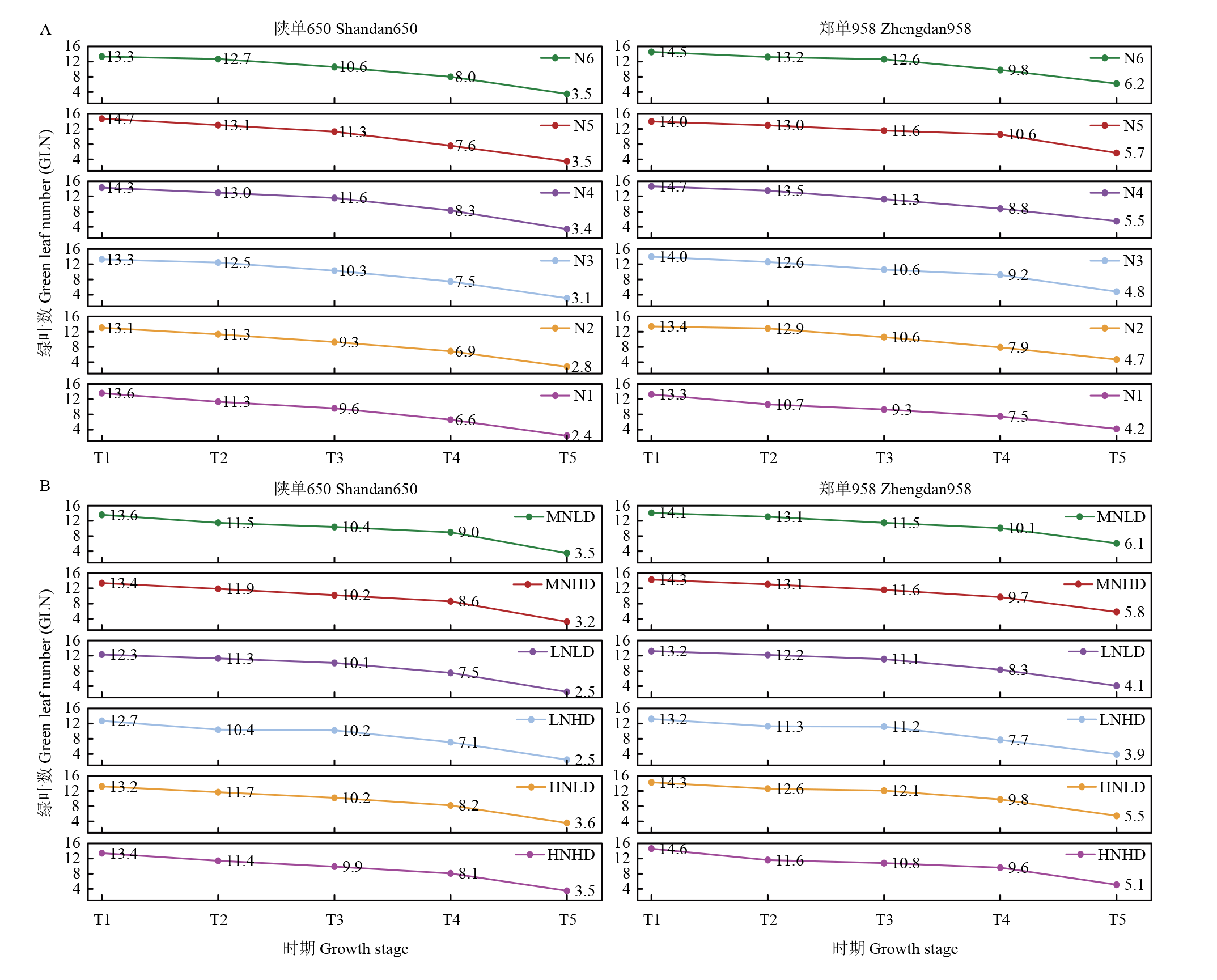
Dynamic change trends of the number of green leaves of the two varieties under different nitrogen treatments (A) and nitrogen-density interactions (B)"

Fig. 5

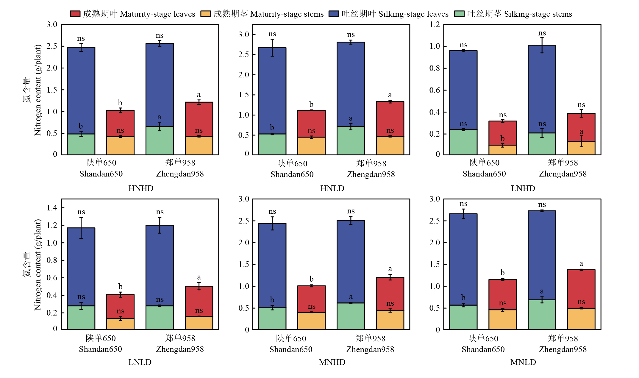
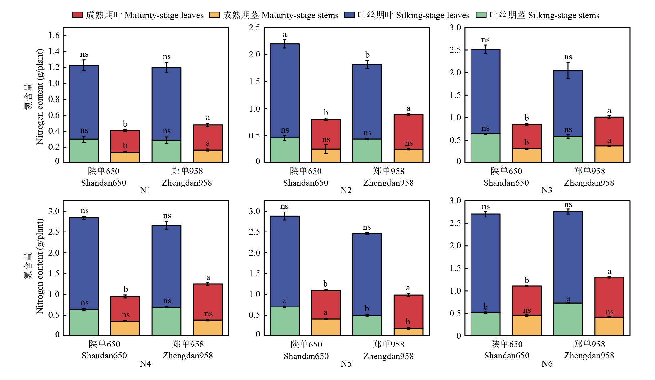
Changes in the nitrogen content of stems and leaves of two stay-green maize hybrids under different nitrogen treatments"

Fig. 6

Changes in stem and leaf nitrogen content of two stay-green maize hybrids under nitrogen-density interaction"

Fig. 7

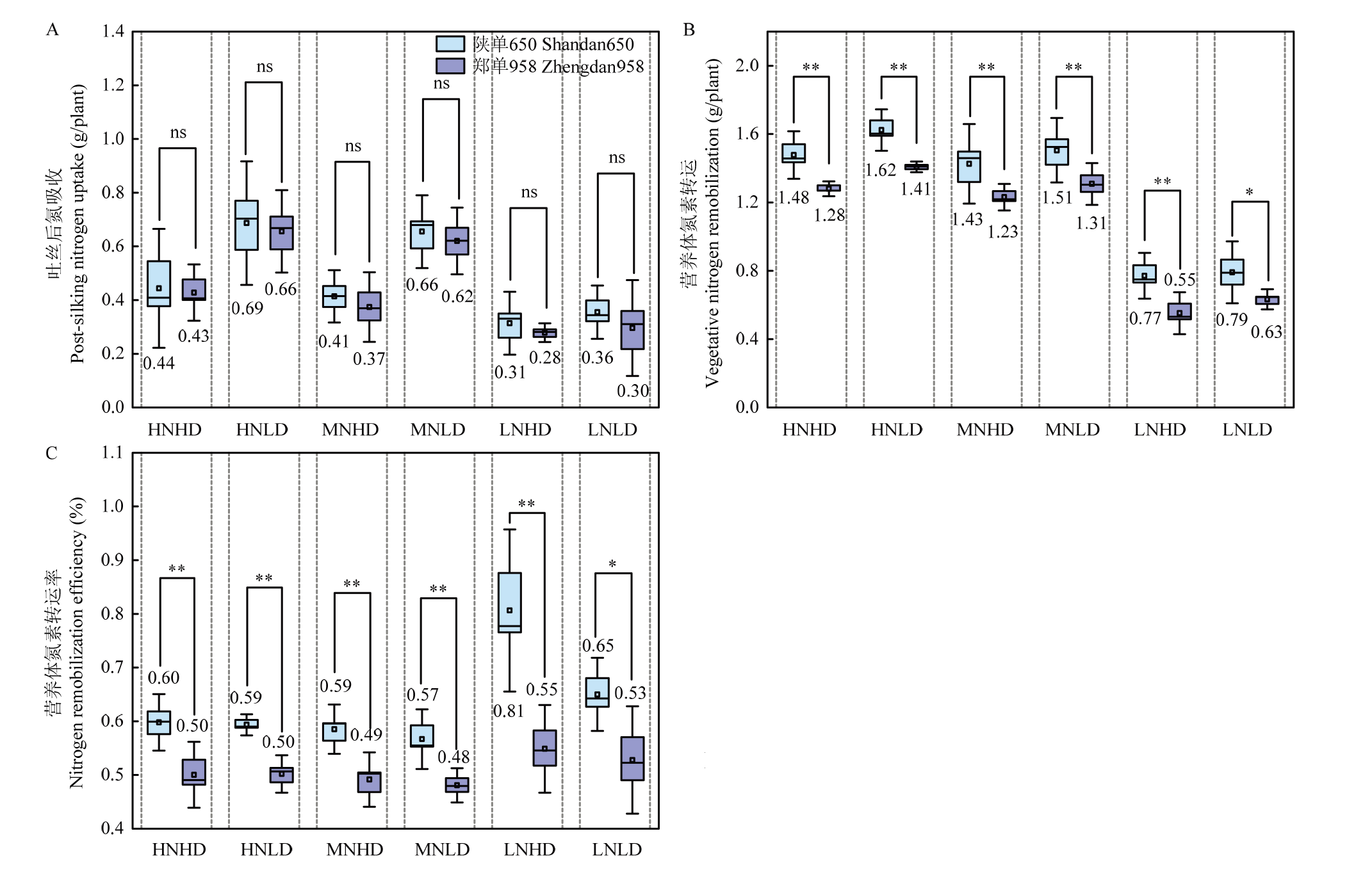
Analysis of nitrogen absorption and transport in two stay-green varieties under different nitrogen treatments"

Fig. 8

Analysis of nitrogen absorption and transport in two stay-green varieties under the interaction of nitrogen and planting density"

Table 2

Evaluation of nitrogen use efficiency of maize hybrids under different nitrogen treatments and nitrogen-density interactions"

年份
Year
处理
Treatment
品种
Varieties
氮素利用效率
Nitrogen utilization efficiency
氮素吸收效率
Nitrogen uptake efficiency
氮肥利用率
Nitrogen use efficiency
氮肥农学效率
Nitrogen agronomic efficiency
氮素转运对
籽粒贡献率
Nitrogen contribution proportion
氮素收获指数
Nitrogen harvest index
2023 N1 陕单650 Shandan650 61.63±1.54a - - - 0.76±0.02a 0.75±0.03a
郑单958 Zhengdan985 57.84±1.11b - - - 0.67±0.02b 0.62±0.03b
N2 陕单650 Shandan650 58.92±0.79a 2.35±0.03a 0.71±0.01a 43.78±1.82a 0.74±0.03a 0.77±0.07a
郑单958 Zhengdan985 56.64±0.43b 2.23±0.18a 0.63±0.04b 39.25±1.05b 0.66±0.02b 0.60±0.04b
N3 陕单650 Shandan650 56.82±0.98a 1.47±0.16a 0.65±0.01a 37.17±0.80a 0.71±0.02a 0.72±0.05a
郑单958 Zhengdan985 54.23±0.57b 1.42±0.03a 0.64±0.01a 31.33±1.30b 0.63±0.02b 0.58±0.01b
N4 陕单650 Shandan650 53.74±0.82a 1.12±0.05a 0.59±0.01a 26.53±1.41a 0.68±0.03a 0.70±0.03a
郑单958 Zhengdan985 53.18±1.62a 1.05±0.05a 0.56±0.01b 24.48±1.35a 0.62±0.02b 0.59±0.03b
N5 陕单650 Shandan650 53.05±1.65a 0.85±0.02a 0.47±0.01a 21.40±1.00a 0.64±0.03a 0.70±0.03a
郑单958 Zhengdan985 50.13±0.44b 0.81±0.02a 0.45±0.01b 18.91±1.17b 0.64±0.03a 0.55±0.05b
N6 陕单650 Shandan650 52.01±2.26a 0.69±0.04a 0.40±0.01a 15.65±0.96a 0.63±0.04a 0.63±0.01a
郑单958 Zhengdan985 48.96±0.95a 0.67±0.03a 0.36±0.03b 16.17±0.66b 0.61±0.04a 0.54±0.05b
2024 LNHD 陕单650 Shandan650 65.71±2.33a - - - 0.70±0.02a 0.76±0.01a
郑单958 Zhengdan985 55.88±3.14b - - - 0.64±0.02b 0.67±0.01b
LNLD 陕单650 Shandan650 64.04±2.35a - - - 0.65±0.01a 0.74±0.01a
郑单958 Zhengdan985 57.61±1.23b - - - 0.62±0.01b 0.65±0.03b
MNHD 陕单650 Shandan650 59.46±0.41a 1.05±0.05a 0.59±0.01a 31.46±2.10a 0.64±0.02a 0.67±0.02a
郑单958 Zhengdan985 54.92±1.15b 0.97±0.01a 0.56±0.01b 22.14±3.92b 0.60±0.01b 0.63±0.01b
MNLD 陕单650 Shandan650 56.37±1.67a 1.12±0.03a 0.56±0.03a 28.37±0.93a 0.62±0.02a 0.65±0.03a
郑单958 Zhengdan985 51.80±2.08b 1.09±0.02a 0.50±0.02b 23.37±2.26b 0.59±0.02a 0.62±0.01a
HNHD 陕单650 Shandan650 53.41±0.55a 0.64±0.01a 0.38±0.01a 17.67±1.20a 0.59±0.01a 0.61±0.01a
郑单958 Zhengdan985 51.26±0.85b 0.64±0.02a 0.35±0.01b 13.90±2.28a 0.55±0.01b 0.58±0.01b
HNLD 陕单650 Shandan650 53.63±0.52a 0.67±0.02a 0.35±0.01a 16.17±0.53a 0.57±0.01a 0.59±0.01a
郑单958 Zhengdan985 50.22±0.83b 0.66±0.01a 0.32±0.01b 14.46±0.56b 0.54±0.01b 0.56±0.02a
[1]
张家铜, 彭正萍, 李婷, 袁硕, 王艳群, 薛世川. 不同供氮水平对玉米体内干物质和氮动态积累与分配的影响. 河北农业大学学报, 2009, 32(2): 1-5.
ZHANG J T, PENG Z P, LI T, YUAN S, WANG Y Q, XUE S C. Effects of different N application rates on the dynamic accumulation and distribution of assimilate and N content in maize. Journal of Agricultural University of Hebei, 2009, 32(2): 1-5. (in Chinese)
[2]
王帅丽, 穆心愿, 杨豫龙, 徐佳敏, 刘天学, 温涛, 付景, 郑玉珍, 赵亚丽, 李鸿萍, 张改平, 赵霞. 供氮水平对不同氮效率玉米品种氮素吸收、干物质形成及产量的影响. 玉米科学, 2023, 31(4): 118-130.
WANG S L, MU X Y, YANG Y L, XU J M, LIU T X, WEN T, FU J, ZHENG Y Z, ZHAO Y L, LI H P, ZHANG G P, ZHAO X. Effects of nitrogen supply levels on nitrogen uptake, dry matter production and yield of maize varieties with different nitrogen efficiency. Journal of Maize Sciences, 2023, 31(4): 118-130. (in Chinese)
[3]
李俊茹, 姜长云. 中国粮食供需形势: 历史回顾、风险挑战与政策启示. 南京农业大学学报(社会科学版), 2023, 23(3): 168-179.
LI J R, JIANG C Y. China’s food supply and demand situation: historical review, risk challenges and policy implications. Journal of Nanjing Agricultural University (Social Sciences Edition), 2023, 23(3): 168-179. (in Chinese)
[4]
常晓, 郭志军, 王小博, 吴嫚, 韩慧敏, 杨兆生, 李健. 玉米自交系氮高效指标的筛选及综合评价. 玉米科学, 2019, 27(1): 17-24.
CHANG X, GUO Z J, WANG X B, WU M, HAN H M, YANG Z S, LI J. Indexes screening and evaluation for nitrogen use efficiency in maize inbred lines. Journal of Maize Sciences, 2019, 27(1): 17-24. (in Chinese)
[5]
张卫峰, 马林, 黄高强, 武良, 陈新平, 张福锁. 中国氮肥发展、贡献和挑战. 中国农业科学, 2013, 46(15): 3161-3171. doi:10.3864/j.issn.0578-1752.2013.15.010.
ZHANG W F, MA L, HUANG G Q, WU L, CHEN X P, ZHANG F S. The development and contribution of nitrogenous fertilizer in China and challenges faced by the country. Scientia Agricultura Sinica, 2013, 46(15): 3161-3171. doi:10.3864/j.issn.0578-1752.2013.15.010. (in Chinese)
[6]
LIU Z, HU C H, WANG Y N, SHA Y, HAO Z H, CHEN F J, YUAN L X, MI G H. Nitrogen allocation and remobilization contributing to low-nitrogen tolerance in stay-green maize. Field Crops Research, 2021, 263: 108078.

doi: 10.1016/j.fcr.2021.108078
[7]
FAN P P, MING B, EVERS J B, LI Y Y, LI S K, XIE R Z, ANTEN N P R. Nitrogen availability determines the vertical patterns of accumulation, partitioning, and reallocation of dry matter and nitrogen in maize. Field Crops Research, 2023, 297: 108927.

doi: 10.1016/j.fcr.2023.108927
[8]
THOMAS H, HOWARTH C J. Five ways to stay green. Journal of Experimental Botany, 2000, 51(suppl_1): 329-337.

doi: 10.1093/jexbot/51.suppl_1.329
[9]
GUO Y F, GAN S S. Translational researches on leaf senescence for enhancing plant productivity and quality. Journal of Experimental Botany, 2014, 65(14): 3901-3913.

doi: 10.1093/jxb/eru248 pmid: 24935620
[10]
LIU G Z, HOU P, XIE R Z, MING B, WANG K R, XU W J, LIU W M, YANG Y S, LI S K. Canopy characteristics of high-yield maize with yield potential of 22.5 Mg·Ha-1. Field Crops Research, 2017, 213: 221-230.

doi: 10.1016/j.fcr.2017.08.011
[11]
MOLLA M S H, NAKASATHIEN S, ALI M A, KHAN A, ALAM M R, HOSSAIN A, FAROOQ M, EL SABAGH A. Influence of nitrogen application on dry biomass allocation and translocation in two maize varieties under short pre-anthesis and prolonged bracketing flowering periods of drought. Archives of Agronomy and Soil Science, 2019, 65(7): 928-944.

doi: 10.1080/03650340.2018.1538557
[12]
CARLONE M R, RUSSELL W A. Response to plant densities and nitrogen levels for four maize cultivars from different eras of breeding. Crop Science, 1987, 27(3): cropsci1987.0011183X002700030008x.
[13]
SU W N, AHMAD S, AHMAD I, HAN Q F. Nitrogen fertilization affects maize grain yield through regulating nitrogen uptake, radiation and water use efficiency, photosynthesis and root distribution. PeerJ, 2020, 8: e10291.

doi: 10.7717/peerj.10291
[14]
WANG Z G, MA B L, YU X F, GAO J L, SUN J Y, SU Z J, YU S B. Physiological basis of heterosis for nitrogen use efficiency of maize. Scientific Reports, 2019, 9: 18708.

doi: 10.1038/s41598-019-54864-x pmid: 31822689
[15]
CIAMPITTI I A, VYN T J. Physiological perspectives of changes over time in maize yield dependency on nitrogen uptake and associated nitrogen efficiencies: A review. Field Crops Research, 2012, 133: 48-67.

doi: 10.1016/j.fcr.2012.03.008
[16]
CHEN Y L, XIAO C X, WU D L, XIA T T, CHEN Q W, CHEN F J, YUAN L X, MI G H. Effects of nitrogen application rate on grain yield and grain nitrogen concentration in two maize hybrids with contrasting nitrogen remobilization efficiency. European Journal of Agronomy, 2015, 62: 79-89.

doi: 10.1016/j.eja.2014.09.008
[17]
HAVÉ M, MARMAGNE A, CHARDON F, MASCLAUX-DAUBRESSE C. Nitrogen remobilization during leaf senescence: Lessons from Arabidopsis to crops. Journal of Experimental Botany, 2017, 68(10): 2513-2529.
[18]
崔超, 高聚林, 于晓芳, 王志刚, 孙继颖, 胡树平, 苏治军, 谢岷. 不同氮效率基因型高产春玉米花粒期干物质与氮素运移特性的研究. 植物营养与肥料学报, 2013, 19(6): 1337-1345.
CUI C, GAO J L, YU X F, WANG Z G, SUN J Y, HU S P, SU Z J, XIE M. Dry matter accumulation and nitrogen migration of high-yielding spring maize for different nitrogen efficiency in the flowering and milking stages. Plant Nutrition and Fertilizer Science, 2013, 19(6): 1337-1345. (in Chinese)
[19]
黄高宝, 张恩和, 胡恒觉. 不同玉米品种氮素营养效率差异的生态生理机制. 植物营养与肥料学报, 2001, 7(3): 293-297.
HUANG G B, ZHANG E H, HU H J. Eco-physiological mechanism on nitrogen use efficiency difference of corn varieties. Plant Nutrition and Fertilizer Science, 2001, 7(3): 293-297. (in Chinese)
[20]
王艳, 米国华, 陈范骏, 张福锁. 玉米氮素吸收的基因型差异及其与根系形态的相关性. 生态学报, 2003, 23(2): 297-302.
WANG Y, MI G H, CHEN F J, ZHANG F S. Genotypic differences in nitrogen uptake by maize inbred lines its relation to root morphology. Acta Ecologica Sinica, 2003, 23(2): 297-302. (in Chinese)
[21]
FAN H M, QUAN S X, YE Q, ZHANG L, LIU W, ZHU N, ZHANG X Q, RUAN W Y, YI K K, CRAWFORD N M, WANG Y. A molecular framework underlying low-nitrogen-induced early leaf senescence in Arabidopsis thaliana. Molecular Plant, 2023, 16(4): 756-774.

doi: 10.1016/j.molp.2023.03.006
[22]
KANTE M, REVILLA P, DE LA FUENTE M, CAICEDO M, ORDÁS B. Stay-green QTLs in temperate elite maize. Euphytica, 2016, 207(2): 463-473.

doi: 10.1007/s10681-015-1575-0
[23]
李广浩, 董树亭, 赵斌, 张吉旺, 刘鹏. 不同土壤水分状况下实现夏玉米高产及氮素高效的控释尿素用量研究. 植物营养与肥料学报, 2018, 24(3): 579-589.
LI G H, DONG S T, ZHAO B, ZHANG J W, LIU P. Optimal application rates of controlled release urea for high yield and high nitrogen use efficiency of summer maize under different soil water conditions. Journal of Plant Nutrition and Fertilizers, 2018, 24(3): 579-589. (in Chinese)
[24]
曹胜彪, 张吉旺, 董树亭, 刘鹏, 赵斌, 杨今胜. 施氮量和种植密度对高产夏玉米产量和氮素利用效率的影响. 植物营养与肥料学报, 2012, 18(6): 1343-1353.
CAO S B, ZHANG J W, DONG S T, LIU P, ZHAO B, YANG J S. Effects of nitrogen rate and planting density on grain yield and nitrogen utilization efficiency of high yield summer maize. Plant Nutrition and Fertilizer Science, 2012, 18(6): 1343-1353. (in Chinese)
[25]
MU X H, CHEN Q W, CHEN F J, YUAN L X, MI G H. Within-leaf nitrogen allocation in adaptation to low nitrogen supply in maize during grain-filling stage. Frontiers in Plant Science, 2016, 7: 699.

doi: 10.3389/fpls.2016.00699 pmid: 27252716
[26]
MU X H, CHEN Q W, CHEN F J, YUAN L X, MI G H. Dynamic remobilization of leaf nitrogen components in relation to photosynthetic rate during grain filling in maize. Plant Physiology and Biochemistry, 2018, 129: 27-34.

doi: S0981-9428(18)30229-8 pmid: 29787936
[27]
MASCLAUX-DAUBRESSE C, CHARDON F. Exploring nitrogen remobilization for seed filling using natural variation in Arabidopsis thaliana. Journal of Experimental Botany, 2011, 62(6): 2131-2142.

doi: 10.1093/jxb/erq405
[28]
POMMEL B, GALLAIS A, COQUE M, QUILLERÉ I, HIREL B, PRIOUL J L, ANDRIEU B, FLORIOT M. Carbon and nitrogen allocation and grain filling in three maize hybrids differing in leaf senescence. European Journal of Agronomy, 2006, 24(3): 203-211.

doi: 10.1016/j.eja.2005.10.001
[29]
CHIBANE N, CAICEDO M, MARTINEZ S, MARCET P, REVILLA P, ORDÁS B. Relationship between delayed leaf senescence (stay-green) and agronomic and physiological characters in maize (Zea mays L.). Agronomy, 2021, 11(2): 276.

doi: 10.3390/agronomy11020276
[30]
BORRELL A, HAMMER G, VAN OOSTEROM E. Stay-green: A consequence of the balance between supply and demand for nitrogen during grain filling? Annals of Applied Biology, 2001, 138(1): 91-95.

doi: 10.1111/aab.2001.138.issue-1
[31]
CAI F, MI N, MING H Q, ZHANG Y S, ZHANG H, ZHANG S J, ZHAO X L, ZHANG B B. Responses of dry matter accumulation and partitioning to drought and subsequent rewatering at different growth stages of maize in Northeast China. Frontiers in Plant Science, 2023, 14: 1110727.

doi: 10.3389/fpls.2023.1110727
[32]
GREGERSEN P L, HOLM P B, KRUPINSKA K. Leaf senescence and nutrient remobilisation in barley and wheat. Plant Biology, 2008, 10(s1): 37-49.

doi: 10.1111/plb.2008.10.issue-s1
[33]
WANG W, LI M Y, ZHOU R, MO F, KHAN A, BATOOL A, ZHANG W, LU J S, ZHU Y, WANG B Z, YANG Y M, WANG J, TAO X P, XIONG Y C. Leaf senescence, nitrogen remobilization, and productivity of maize in two semiarid intercropping systems. European Journal of Agronomy, 2023, 150: 126943.

doi: 10.1016/j.eja.2023.126943
[34]
LIANG G H, HUA Y P, CHEN H F, LUO J S, XIANG H K, SONG H X, ZHANG Z H. Increased nitrogen use efficiency via amino acid remobilization from source to sink organs in Brassica napus. The Crop Journal, 2023, 11(1): 119-131.

doi: 10.1016/j.cj.2022.05.011
[35]
袁静超, 刘剑钊, 梁尧, 张洪喜, 刘松涛, 蔡红光, 任军. 东北中部春玉米超高产群体养分管理模式的研究与验证. 植物营养与肥料学报, 2020, 26(9): 1669-1680.
YUAN J C, LIU J Z, LIANG Y, ZHANG H X, LIU S T, CAI H G, REN J. Study and demonstration of superhigh yield nutrient managemnt for maize production in the middle area of Northeast China. Journal of Plant Nutrition and Fertilizers, 2020, 26(9): 1669-1680. (in Chinese)
[36]
CHEN K, S. KUMUDINI S V, TOLLENAAR M, VYN T J. Plant biomass and nitrogen partitioning changes between silking and maturity in newer versus older maize hybrids. Field Crops Research, 2015, 183: 315-328.

doi: 10.1016/j.fcr.2015.08.013
[37]
李春春, 高玉红, 郭丽琢, 刘宏胜, 李映, 扬天庆, 可佳. 氮素形态配比对玉米氮素积累及转运的影响. 玉米科学, 2018, 26(1): 134-141.
LI C C, GAO Y H, GUO L Z, LIU H S, LI Y, YANG T Q, KE J. Effects of different forms and ratios of nitrogen on nutrient accumulation and transfer of whole plastic-film mulching on double ridges and planting in catchment furrows of maize. Journal of Maize Sciences, 2018, 26(1): 134-141. (in Chinese)
[38]
WANG Z T, GUO J, LUO W X, NIU S D, QU L L, LI J, CHEN Y P, LI G H, YANG H, LU D L. Salicylic acid cooperates with lignin and sucrose signals to alleviate waxy maize leaf senescence under heat stress. Plant, Cell & Environment, 2025, 48(6): 4341-4355.

doi: 10.1111/pce.v48.6
[39]
PONS T L, WESTBEEK M H M. Analysis of differences in photosynthetic nitrogen-use efficiency between four contrasting species. Physiologia Plantarum, 2004, 122(1): 68-78.

doi: 10.1111/ppl.2004.122.issue-1
[40]
URIBELARREA M, CRAFTS-BRANDNER S J, BELOW F E. Physiological N response of field-grown maize hybrids (Zea mays L.) with divergent yield potential and grain protein concentration. Plant and Soil, 2009, 316(1): 151-160.

doi: 10.1007/s11104-008-9767-1
[41]
ZHANG Y H, XU Z G, LI J, WANG R. Optimum planting density improves resource use efficiency and yield stability of rainfed maize in semiarid climate. Frontiers in Plant Science, 2021, 12: 752606.

doi: 10.3389/fpls.2021.752606
[42]
XU C L, HUANG S B, TIAN B J, REN J H, MENG Q F, WANG P. Manipulating planting density and nitrogen fertilizer application to improve yield and reduce environmental impact in Chinese maize production. Frontiers in Plant Science, 2017, 8: 1234.

doi: 10.3389/fpls.2017.01234 pmid: 28747925
[43]
李广浩, 刘娟, 董树亭, 刘鹏, 张吉旺, 赵斌, 石德杨. 密植与氮肥用量对不同耐密型夏玉米品种产量及氮素利用效率的影响. 中国农业科学, 2017, 50(12): 2247-2258. doi:10.3864/j.issn.0578-1752.2017.12.006.
LI G H, LIU J, DONG S T, LIU P, ZHANG J W, ZHAO B, SHI D Y. Effects of close planting and nitrogen application rates on grain yield and nitrogen utilization efficiency of different density-tolerance maize hybrids. Scientia Agricultura Sinica, 2017, 50(12): 2247-2258. doi:10.3864/j.issn.0578-1752.2017.12.006. (in Chinese)
[44]
WANG X B, WANG L F, SHANGGUAN Z P. Leaf gas exchange and fluorescence of two winter wheat varieties in response to drought stress and nitrogen supply. PLoS ONE, 2016, 11(11): e0165733.

doi: 10.1371/journal.pone.0165733
[45]
BÄNZIGER M, EDMEADES G O, BECK D, BELLON M R. Breeding for drought and nitrogen stress tolerance in maize: From theory to practice. CIMMYT, 2000.
[1] PENG TingShen, LU JiuYan, WU MeiLin, YAN YuXin, LIU HongZhou, NAN WenBin, QIN XiaoJian, LI Ming, GONG JunYi, LIANG YongShu. QTL Analysis of Yield-Related Traits in Both Huangnuo2# and Changbai7# of Perennial Chinese Rice [J]. Scientia Agricultura Sinica, 2026, 59(7): 1361-1379.
[2] WANG YaFei, YAN Peng, XUE JinTao, DONG XueRui, MENG FanQi, GUO LiNa, LUO Yi, ZHANG Juan, DONG ZhiQiang, LU Lin. Effects of Ethephon-Glycine Betaine-Salicylic Acid Mixture on Root System Architecture, Physiological Function and Yield of Maize Under Heat Stress [J]. Scientia Agricultura Sinica, 2026, 59(7): 1439-1455.
[3] XU YangHaoJun, CHEN LiMing, YANG ShiQi, TANG YiFan, TAN XueMing, ZENG YongJun, PAN XiaoHua, ZENG YanHua. Effects of Long-Term Different Straw Returning Methods on Soil Organic Carbon, Nutrients and Aggregate Formation in Different Soil Layers of Double Cropping Rice Field [J]. Scientia Agricultura Sinica, 2026, 59(7): 1492-1506.
[4] WANG YuPing, FU Zhi, SUN JiaYing, MU XiaoMeng, LIU HuiLin, GUO JinYun, SONG WenJing, HOU LeiPing, ZHAO HaiLiang. Evaluation of the Mitigating Effect and Application Efficacy of Melatonin Applied at the Seedling Stage on Short-Term Chilling Stress in Tomato Plants [J]. Scientia Agricultura Sinica, 2026, 59(7): 1523-1535.
[5] WANG JiaNuo, CHEN GuiPing, LI Pan, WANG LiPing, NAN YunYou, HE Wei, FAN ZhiLong, HU FaLong, CHAI Qiang, YIN Wen, ZHAO LiaoHao. Photo-Physiological Mechanism at Grain Filling Stage of No-Tillage with Plastic Re-Mulching to Increase Maize Yield in Oasis Irrigation Areas [J]. Scientia Agricultura Sinica, 2026, 59(6): 1189-1202.
[6] ZHOU XinJie, REN Hao, CHEN YingLong, ZHANG JiWang, ZHAO Bin, REN BaiZhao, LIU Peng, WANG HongZhang. Effects of Calcium Peroxide on Root Morphology and Yield Formation of Summer Maize in Waterlogging Farmland [J]. Scientia Agricultura Sinica, 2026, 59(6): 1203-1216.
[7] LI YongJuan, ZHANG YueTong, WANG YiBo, ZHAO ChangJiang, SONG Jie, CHEN XueLi, YAO Qin. Effects of Biochar Application on the Abundance and Community Composition of Nitrogen-Fixing Microbial nifH Gene in Soybean Rotation and Continuous Cropping Systems [J]. Scientia Agricultura Sinica, 2026, 59(6): 1272-1285.
[8] LI SiYuan, LI HongPing, CHANG HongQing, ZHANG SenYan, LI SiJia, CUI XinFei, QIAO Po, ZENG Bo, LIU GuiZhen, LIU TianXue, TANG JiHua, LI ChaoHai. Effects of Density Increase on Dynamic Change of Yield and Agronomic Traits of Maize Cultivars with Different Plant Heights [J]. Scientia Agricultura Sinica, 2026, 59(5): 967-984.
[9] DONG JinLong, ZHAO Ying, YU HaiBing, LÜ JianYe, QIN JiaQi, LIANG Chen, MING Bo, LI ShaoKun. Multi-Model Elucidating of Nutritional Quality Contributions to Maize Kernel Test Weight and Regional Heterogeneity [J]. Scientia Agricultura Sinica, 2026, 59(5): 985-995.
[10] GUO FuCheng, TANG HaiJiang, HAO XinYi, MA GuoLin, YANG JiuJu, HUANG LinFeng, TIAN Lei, WANG Bin, LUO ChengKe. Effects of Different Irrigation Methods on Water-Salt Transport, Rice Yield, and Water Use Efficiency in Saline Soil in Ningxia [J]. Scientia Agricultura Sinica, 2026, 59(4): 750-764.
[11] YANG Yan, JIANG LiHua, LI Ni, SHI Jing, TAN DeShui, LIU YuMin, ZHAO HuanYu, XU Yu. Water and Fertilizer Management for Reducing Nitrogen Leaching in Facility Vegetable Fields and Achieving Concurrent Yield Increase and Efficiency Improvement [J]. Scientia Agricultura Sinica, 2026, 59(4): 850-861.
[12] HAO Kun, CHEN HongDe, ZHANG Wei, ZHONG Yun, DANG MeiRong, ZHU ShiJiang, HUANG ZhiKun, JIN Ying. Comprehensive Evaluation of Water-Nitrogen Management Under Surge-Root Irrigation Based on Citrus Yield, Quality, and Water- Nitrogen Use Efficiency [J]. Scientia Agricultura Sinica, 2026, 59(4): 862-873.
[13] YAN TingLin, DU YaDan, HU XiaoTao, WANG He, LI XiaoYan, WANG YuMing, NIU WenQuan, GU XiaoBo. The Impacts of Nitrogen Fertilizer Organic Alternatives Under Aerated Drip Irrigation on Cotton Yield and Water Use Efficiency Under Deficit Irrigation Conditions [J]. Scientia Agricultura Sinica, 2026, 59(3): 602-618.
[14] YANG Rui, CHEN JingDong, HUANG Ying, XIE LingLi, ZHANG XueKun, ZHOU DengWen, LIU QingYun, XU JinSong, XU BenBo. Genetic Improvement and Configuration Analysis of High-Yield Rapeseed Lines in the Upper Reaches of the Yangtze River [J]. Scientia Agricultura Sinica, 2026, 59(2): 250-264.
[15] CHEN GuiPing, WEI JinGui, GUO Yao, LI Pan, WANG FeiEr, QIU HaiLong, FENG FuXue, YIN Wen. Synergistic Effects of Wide-Narrow Row and Density Enhancement on the Photosynthetic Characteristics and Resource Utilization of Maize in Oasis Irrigation Areas [J]. Scientia Agricultura Sinica, 2026, 59(2): 278-291.
Viewed
Full text


Abstract

Cited

  Shared   
  Discussed   
No Suggested Reading articles found!