Scientia Agricultura Sinica ›› 2026, Vol. 59 ›› Issue (6): 1231-1243.doi: 10.3864/j.issn.0578-1752.2026.06.007

• PLANT PROTECTION • Previous Articles     Next Articles

Analysis of Population Dynamics and Migration Status of Harmonia axyridis Under Searchlight Trap and Ground Light Trap

DU MengYuan1(), HOU YanHong1(), LIU Di1, CHEN Li1, FAN ZhiYe1, WANG WenHao1, SHEN HaiLong1, WANG CanGuan1, LI ShiMin1, HUANG JianRong2(), CHEN Qi1()   

  1. 1 Luohe Academy of Agricultural Sciences/Yancheng Field Scientific Observation and Research Station for Plant Protection of the Ministry of Agriculture and Rural Affairs, Luohe 462300, Henan
    2 Institute of Plant Protection, Henan Academy of Agricultural Sciences/Entomological Radar Station Zero of Henan Province for Field Scientific Observation and Research, Zhengzhou 450002
  • Received:2025-11-24 Accepted:2025-12-19 Online:2026-03-16 Published:2026-03-24
  • Contact: HUANG JianRong, CHEN Qi

Abstract:

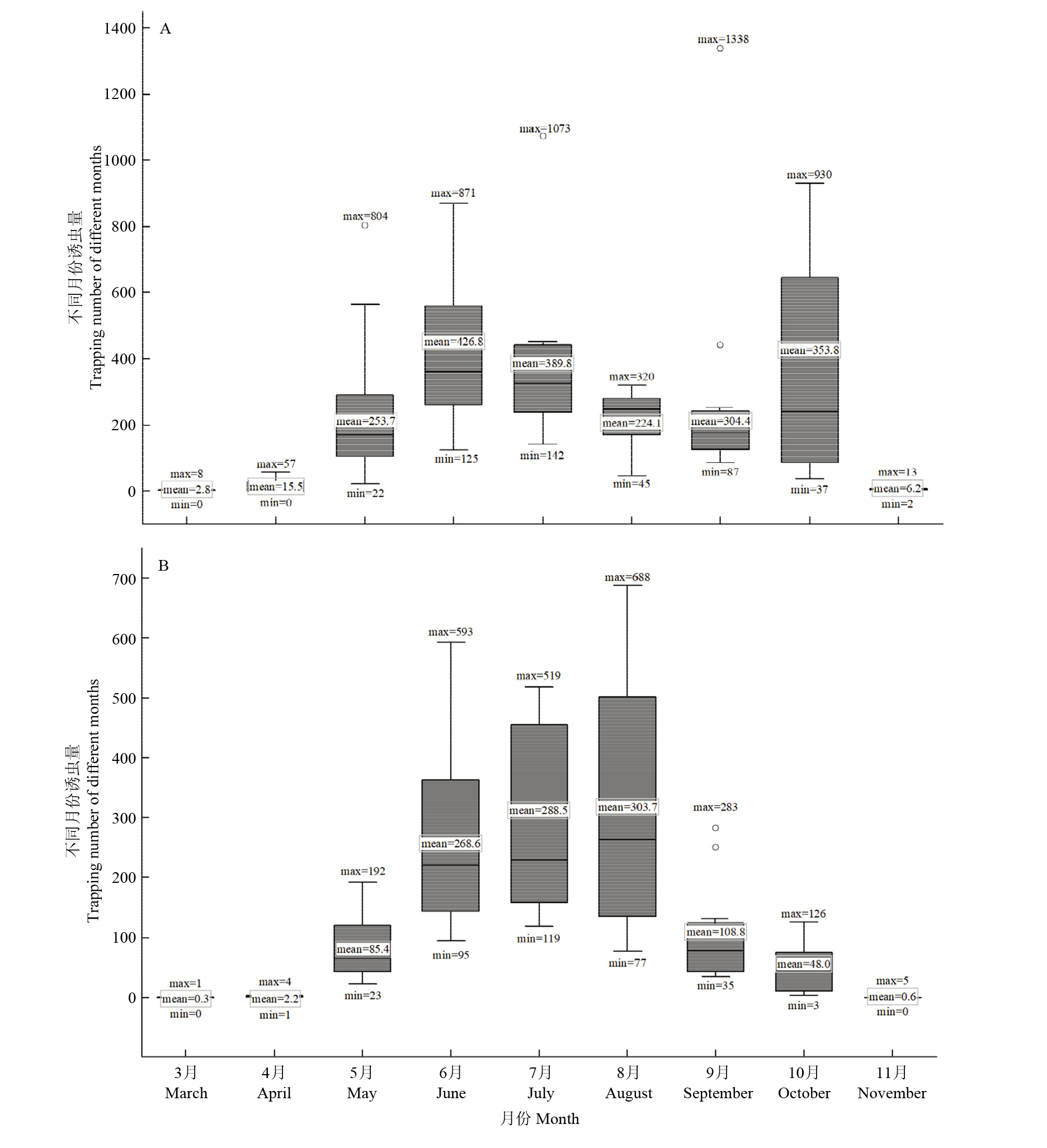
【Objective】The objective of this study is to clarify the population dynamics and migration patterns of Harmonia axyridis under light traps in Luohe City, Henan Province, analyze their changing trends, and to provide data support for the effective protection and utilization of H. axyridis for biological control. 【Method】From 2015 to 2024, systematic monitoring of H. axyridis was conducted in Luohe City, Henan Province, using searchlight traps and ground light traps. From March 1 to November 30 each year, the number of H. axyridis under the two types of traps was sorted and counted daily. Based on the annual and monthly trapping amounts, as well as the first and last capture dates under the two traps, the patterns and trends of H. axyridis phototaxis were analyzed. The population dynamics of H. axyridis were examined based on the daily trapping percentage relative to the annual total and the distribution of peak occurrence days across different seasons. Additionally, the migration patterns of H. axyridis were analyzed using the optimized ratio of trapping amounts between searchlight traps and ground light traps. 【Result】Over the 10-year period, the searchlight traps accumulated a total of 19 771 H. axyridis individuals, while the ground light traps accumulated 11 061 individuals. The number of insects caught by the searchlight traps showed a significant decreasing trend, whereas the number caught by the ground light traps showed a significant increasing trend. The annual catches of the two types of traps exhibited a significant negative correlation (P<0.05). Except for the years 2021-2023, when the ground light traps captured more individuals than the searchlight traps, the searchlight traps captured more individuals in all other years. H. axyridis was detected over a longer period under the searchlight traps, with the first occurrence date approximately 20 days earlier and the last occurrence date about 19.5 days later compared to the ground light traps. There were exceptionally high peak capture days under the searchlight traps, while no such phenomenon was observed under the ground light traps. Under the searchlight traps, H. axyridis exhibited three peak periods: late May to mid-June, mid- to late July, and late September to mid-October, with the highest capture occurring from late May to mid-June. The peak capture days for the ground light traps were concentrated from early June to mid-August, with no distinct peak periods, though the highest capture occurred from late July to mid-August. The air-to-ground ratio indicated three migration peaks for H. axyridis: late May to early June, early to mid-July, and mid-September to late October, with the highest migration intensity observed in October. Over the past decade, the southward migration of H. axyridis has significantly decreased, and the annual migration days have shown a significant declining trend (P<0.01). 【Conclusion】There are notable differences in the annual capture numbers and population dynamics of H. axyridis between searchlight traps and ground light traps. The peak periods under searchlight traps are more distinct and exhibit sharper increases and decreases. The earlier first occurrence and later last occurrence dates under searchlight traps make them more advantageous for monitoring H. axyridis migration. Influenced by global warming, the occurrence of H. axyridis in Luohe is increasing, while its migration is decreasing. The combined use of searchlight traps and ground light traps allows for a more precise analysis of migration behavior and quantification of migration intensity.

Key words: Harmonia axyridis, searchlight trap, ground light trap, population dynamics, migration status

Fig. 1

The trapping number and ratio of H. axyridis by searchlight trap and ground light trap during 2015-2024"

Fig. 2

The first capture date (A) and final capture date (B) of H. axyridis during 2015-2024"

Fig. 3

The trapping number of different months by searchlight trap (A) and ground light trap (B) during 2015-2024"

Fig. 4

The number of peak days in different periods during 2015-2024"

Fig. 5

The percentage of daily trapped number to annual trapped number by two kinds of trap lights during 2015-2024"

Fig. 6

Proportion of H. axyridis captures in searchlight traps and ground light traps from mid-September to late October relative to the annual total during 2015-2024"

Fig. 7

Ratio of H. axyridis adults trapped by searchlight trap to ground light trap during 2015-2024"

Fig. 8

Days with ratio greater than 1 by searchlight trap to ground light trap during 2015-2024"

[1]
吴钰薇, 郑林浩, 高鹏, 石文倩, 王昱, 康健, 李启云, 徐文静. 异色瓢虫生物生态学及其应用研究进展. 黑龙江农业科学, 2022(10): 109-114.
WU Y W, ZHENG L H, GAO P, SHI W Q, WANG Y, KANG J, LI Q Y, XU W J. Research progress on bioecology and application of Harmonia axyridis. Heilongjiang Agricultural Sciences, 2022(10): 109-114. (in Chinese)
[2]
KOCH R L. The multicolored Asian lady beetle, Harmonia axyridis: A review of its biology, uses in biological control, and non-target impacts. Journal of Insect Science, 2003, 3: 32.
[3]
王小艺, 沈佐锐. 异色瓢虫的应用研究概况. 昆虫知识, 2002, 39(4): 255-261.
WANG X Y, SHEN Z R. Progress of applied research on multicolored Asian ladybird beetle. Entomological Knowledge, 2002, 39(4): 255-261. (in Chinese)
[4]
李天奇, 李天娇, 陈琦, 侯艳红, 陈莉, 杜梦园, 师兴凯, 李世民. 河南漯河小麦和玉米轮作田瓢虫科天敌种类及种群动态. 山西农业科学, 2024, 52(3): 102-108.
LI T Q, LI T J, CHEN Q, HOU Y H, CHEN L, DU M Y, SHI X K, LI S M. Species and population dynamics of predatory ladybugs in wheat-corn rotation fields of Luohe, Henan Province. Journal of Shanxi Agricultural Sciences, 2024, 52(3): 102-108. (in Chinese)
[5]
王甦, 张润志, 张帆. 异色瓢虫生物生态学研究进展. 应用生态学报, 2007, 18(9): 2117-2126.
WANG S, ZHANG R Z, ZHANG F. Research progress on biology and ecology of Harmonia axyridis Pallas (Coleoptera: Coccinellidae). Chinese Journal of Applied Ecology, 2007, 18(9): 2117-2126. (in Chinese)
[6]
BROQUET T, PETIT E J. Molecular estimation of dispersal for ecology and population genetics. Annual Review of Ecology, Evolutions, and Systematics, 2009, 40: 193-216.
[7]
CHAPMAN J W, REYNOLDS D R, WILSON K. Long-range seasonal migration in insects: Mechanisms, evolutionary drivers and ecological consequences. Ecology Letters, 2015, 18: 287-302.

doi: 10.1111/ele.12407 pmid: 25611117
[8]
WANG X Y, YANG X M, ZHOU L H, WYCKHUYS K A, JIANG S, VAN LIEM N, VI L X, ALI A, WU K M. Population genetics unveils large-scale migration dynamics and population turnover of Spodoptera exigua. Pest Management Science, 2022, 78(2): 612-625.

doi: 10.1002/ps.v78.2
[9]
赵天璇, 袁明龙. 我国异色瓢虫的生物生态学特性. 草业科学, 2017, 34(3): 614-629.
ZHAO T X, YUAN M L. Biological and ecological characteristics of Harmonia axyridis in China. Pratacultural Science, 2017, 34(3): 614-629. (in Chinese)
[10]
翟保平. 天敌伴迁与生物多样性. 生物多样性, 2001, 9(2): 176-180.
ZHAI B P. Accompanying migration of natural enemies and biodiversity. Biodiversity Science, 2001, 9(2): 176-180. (in Chinese)

doi: 10.17520/biods.2001027
[11]
任频频, 李保国, 黄峰. 农作物种植结构演变下的黄淮海旱作区小麦玉米生产时空格局. 资源科学, 2022, 44(3): 436-449.

doi: 10.18402/resci.2022.03.02
REN P P, LI B G, HUANG F. Spatiotemporal patterns of wheat and maize production under the evolution of crop planting structures in the Huang-Huai-Hai dry farmland, China. Resources Science, 2022, 44(3): 436-449. (in Chinese)

doi: 10.18402/resci.2022.03.02
[12]
高倩, 杨秀丽, 吴林源, 李祥瑞, 朱勋, 张云慧. 黄淮海地区小麦穗期蚜虫的优势种及在麦株上的垂直分布生态位. 昆虫学报, 2025, 68(2): 163-173.
GAO Q, YANG X L, WU L Y, LI X R, ZHU X, ZHANG Y H. Dominant species and vertical distribution niches of aphids on wheat plants during the ear stage in the Huang-Huai-Hai Region, North China. Acta Entomologica Sinica, 2025, 68(2): 163-173. (in Chinese)
[13]
王振营, 王晓鸣. 我国玉米病虫害发生现状、趋势与防控对策. 植物保护, 2019, 45(1): 1-11.
WANG Z Y, WANG X M. Current status and management strategies for corn pests and diseases in China. Plant Protection, 2019, 45(1): 1-11. (in Chinese)
[14]
张云慧. 东北与华北地区迁飞昆虫的垂直昆虫雷达监测与虫源分析[D]. 北京: 中国农业科学院, 2008.
ZHANG Y H. Radar observation and population analysis of migratory insects in north and northeast of China[D]. Beijing: Chinese Academy of Agricultural Sciences, 2008. (in Chinese)
[15]
吴先福, 封洪强, 薛芳森, 吴孔明. 昆虫迁飞过程中的定向行为. 植物保护, 2006, 32(5): 1-5.
WU X F, FENG H Q, XUE F S, WU K M. Orientation behaviors of insects in migratory process. Plant Protection, 2006, 32(5): 1-5. (in Chinese)
[16]
宋海燕, 李丽莉, 张晴晴, 孙晨可, 李超, 卢增斌, 朱振国, 于毅, 门兴元. 山东省探照灯诱虫器和地面灯诱虫器诱集昆虫群落结构. 应用昆虫学报, 2021, 58(3): 724-735.
SONG H Y, LI L L, ZHANG Q Q, SUN C K, LI C, LU Z B, ZHU Z G, YU Y, MEN X Y. Community structure of insects in Shandong Province as revealed by searchlight and ground light-traps. Chinese Journal of Applied Entomology, 2021, 58(3): 724-735. (in Chinese)
[17]
邓望喜, 许克进, 荣秀兰, 许甲柱. 飞机网捕褐稻虱及白背飞虱的研究初报. 昆虫知识, 1980, 17(3): 97-102.
DENG W X, XU K J, RONG X L, XU J Z. A general survey on seasonal migrations of Nilaparvata lugens and Sogatella furcifera (Homoptera: Delphacidae) by means of airplane collections. Entomological Knowledge, 1980, 17(3): 97-102. (in Chinese)
[18]
周燕. 渤海湾地区棉铃虫-草蛉同步迁飞行为的研究[D]. 北京: 中国农业科学院, 2022.
ZHOU Y. Study on synchronous migration behaviors between cotton bollworm and lacewings across the Bohai Strait[D]. Beijing: Chinese Academy of Agricultural Sciences, 2022. (in Chinese)
[19]
封洪强. 华北地区空中昆虫群落及昆虫季节性迁移的雷达观测[D]. 北京: 中国农业科学院, 2003.
FENG H Q. Community aloft and radar observation of seasonal migration of insects in northern China[D]. Beijing: Chinese Academy of Agricultural Sciences, 2003. (in Chinese)
[20]
程登发, 封洪强, 吴孔明. 扫描昆虫雷达与昆虫迁飞监测. 北京: 科学出版社, 2005: 1-20.
CHENG D F, FENG H Q, WU K M. Scanning Entomological Radar and Insect Migration Monitoring. Beijing: Science Press, 2005: 1-20. (in Chinese)
[21]
FENG H Q, WU K M, CHENG D F, GUO Y Y. Spring migration and summer dispersal of Loxostege sticticalis (Lepidoptera: Pyralidae) and other insects observed with radar in northern China. Environmental Entomology, 2004, 33(5): 1253-1265.

doi: 10.1603/0046-225X-33.5.1253
[22]
王丽丽, 栾炳辉, 王洪涛, 王培松, 高兴祥, 刘保友. 两种诱虫灯下亚洲玉米螟种群动态及迁飞状态分析. 中国农业科学, 2024, 57(20): 4071-4081. doi: 10.3864/j.issn.0578-1752.2024.20.012.
WANG L L, LUAN B H, WANG H T, WANG P S, GAO X X, LIU B Y. Analysis of population dynamics and migration status of Ostrinia furnacalis under searchlight trap and ground light-trap. Scientia Agricultura Sinica, 2024, 57(20): 4071-4081. doi: 10.3864/j.issn.0578-1752.2024.20.012. (in Chinese)
[23]
宋海燕, 李丽莉, 张晴晴, 宋莹莹, 朱振国, 卢增斌, 于毅, 门兴元. 昆虫经山东省向南迁飞的种类及迁飞路线探讨. 应用昆虫学报, 2021, 58(3): 592-600.
SONG H Y, LI L L, ZHANG Q Q, SONG Y Y, ZHU Z G, LU Z B, YU Y, MEN X Y. Southward migration routes of insect species in Shandong Province. Chinese Journal of Applied Entomology, 2021, 58(3): 592-600. (in Chinese)
[24]
徐练, 文礼章, 易倩, 胡亮, 彭云鹏. 不同光波、光源距离及环境温度对异色瓢虫成虫趋光行为的影响. 中国农学通报, 2016, 32(10): 106-113.

doi: 10.11924/j.issn.1000-6850.casb15100034
XU L, WEN L Z, YI Q, HU L, PENG Y P. Effects of light wave, light source distance and temperature on phototaxis behavior of Harmonia axyridis. Chinese Agricultural Science Bulletin, 2016, 32(10): 106-113. (in Chinese)
[25]
刘超华, 汪红武, 陈利珍, 王小平, 雷朝亮. 苎麻田灯下主要害虫及天敌成分分析. 环境昆虫学报, 2013, 35(4): 422-427.
LIU C H, WANG H W, CHEN L Z, WANG X P, LEI C L. Composing components of the main pests and natural enemy insects under forecast lamp in ramie field. Journal of Environmental Entomology, 2013, 35(4): 422-427. (in Chinese)
[26]
贾艺凡. 三种重要夜蛾科害虫灯下种群动态与上灯行为节律研究[D]. 南京: 南京农业大学, 2016.
JIA Y F. Population dynamics and light-trapped behavioral rhythm of three key species of Lepidopteran pests[D]. Nanjing: Nanjing Agricultural University, 2016. (in Chinese)
[27]
FENG H Q, WU K M, CHENG D F, GUO Y Y. Northward migration of Helicoverpa armigera (Lepidoptera: Noctuidae) and other moths in early summer observed with radar in northern China. Journal of Economic Entomology, 2004, 97(6): 1874-1883.

doi: 10.1093/jee/97.6.1874
[28]
程云霞, 康爱国, 王泱洋, 高峰, 江幸福. 高空灯与黑光灯对草地螟成虫监测效果的差异分析. 植物保护, 2025, 51(3): 62-68.
CHENG Y X, KANG A G, WANG Y Y, GAO F, JIANG X F. Comparative analysis of monitoring efficacy for the beet webworm (Loxostege sticticalis L.) adults between searchlight and black-light traps. Plant Protection, 2025, 51(3): 62-68. (in Chinese)
[29]
韩海亮, 章金明, 董航顺, 陈斌, 王桂跃, 徐红星, 吕仲贤, 赵福成. 两种测报灯对浙中地区玉米田害虫的种群监测与动态分析. 上海农业学报, 2023, 39(4): 78-84.
HAN H L, ZHANG J M, DONG H S, CHEN B, WANG G Y, XU H X, Z X, ZHAO F C. Population monitoring and dynamic analysis of pests in maize fields in central area of Zhejiang Province by two types of forecasting lamps. Acta Agriculturae Shanghai, 2023, 39(4): 78-84. (in Chinese)
[30]
焦桂华, 曾娟, 尚秀梅, 刘杰. 高空测报灯与自动虫情测报灯监测黏虫的比较试验. 中国植保导刊, 2017, 37(8): 41-44, 47.
JIAO G H, ZENG J, SHANG X M, LIU J. Comparative experiment on monitoring Mythimna separata with high-altitude forecasting lamps and automatic insect condition forecasting lamps. China Plant Protection, 2017, 37(8): 41-44, 47. (in Chinese)
[31]
梁晓辰. 七星瓢虫与异色瓢虫麦田种群动态及影响因子分析[D]. 泰安: 山东农业大学, 2017.
LIANG X C. Population dynamics and influencing factors of Coccinella septempunctata and Harmonia axyridis in the wheat fields[D]. Taian: Shandong Agricultural University, 2017. (in Chinese)
[32]
侯艳红, 杜梦园, 李卫华, 陈莉, 沈海龙, 王文豪, 刘迪, 陈琦, 范志业, 师兴凯, 李世民, 黄建荣. 漯河地区亚洲玉米螟越冬代种群与温度关系分析. 玉米科学, 2026, 34(1): 111-117.
HOU Y H, DU M Y, LI W H, CHEN L, SHEN H L, WANG W G, LIU D, CHEN Q, FAN Z Y, SHI X K, LI S M, HUANG J R. The analysis on the relationship between overwintering generation of Ostrinia furnacalis and temperature in Luohe Area, Henan Province. Journal of Maize Sciences, 2026, 34(1): 111-117. (in Chinese)
[33]
余金咏, 于泉林. 冀东地区亚洲玉米螟化性探讨. 玉米科学, 2013, 21(3): 140-143, 148.
YU J Y, YU Q L. A preliminary study on the voltinism of Ostrinia furnacalis (Guenée) in the eastern region of Hebei Province. Journal of Maize Sciences, 2013, 21(3): 140-143, 148. (in Chinese)
[34]
张鹤, 林进添. 昆虫对全球气候变暖的响应. 环境昆虫学报, 2015, 37(6): 1280-1286.
ZHANG H, LIN J T. Responses of insects to global warming. Journal of Environmental Entomology, 2015, 37(6): 1280-1286. (in Chinese)
[35]
侯艳红, 杜梦园, 陈琦, 刘迪, 王文豪, 李雷雷, 沈海龙, 陈莉, 范志业, 李世民, 黄建荣. 2010—2021年河南漯河玉米螟和桃蛀螟种群动态演变. 中国植保导刊, 2023, 43(7): 39-43.
HOU Y H, DU M Y, CHEN Q, LIU D, WANG W H, LI L L, SHEN H L, CHEN L, FAN Z Y, LI S M, HUANG J R. Population dynamics of Ostrinia furnacalis and Conogethes punctiferalis in Luohe, Henan, 2010-2021. China Plant Protection, 2023, 43(7): 39-43. (in Chinese)
[36]
段云, 陈琦, 董嘉欣, 高凌云, 李世民, 武予清. 2015年—2020年河南漯河越冬代劳氏黏虫的种群动态及虫源性质分析. 植物保护, 2023, 49(1): 334-339, 345.
DUAN Y, CHEN Q, DONG J X, GAO L Y, LI S M, WU Y Q. Dynamics and population characteristics of Mythimna loreyi in Luohe, Henan Province, from 2015 to 2020. Plant Protection, 2023, 49(1): 334-339, 345. (in Chinese)
[37]
CHEN Q, ZHANG Y D, QI X H, XU Y W, HOU Y H, FAN Z Y, SHEN H L, LIU D, SHI X K, LI S M, DUAN Y, WU Y Q. The effects of climate warming on the migratory status of early summer populations of Mythimna separata (Walker) moths: A case-study of enhanced corn damage in central-northern China, 1980-2016. Ecology and Evolution, 2019, 9(21): 12332-12338.

doi: 10.1002/ece3.v9.21
[38]
ZENG J, LIU Y Q, ZHANG H W, LIU J, JIANG Y Y, WYCKHUYS K A G, WU K M. Global warming modifies long-distance migration of an agricultural insect pest. Journal of Pest Science, 2020, 93(2): 569-581.

doi: 10.1007/s10340-019-01187-5
[39]
ZHANG S Y, ZHANG Y Y, YANG F, ZHOU C, SHEN H M, WANG B B, ZENG J, REYNODS D R, CHAPMAN J W, HU G. Climate change is leading to an ecological trap in a migratory insect. Proceedings of the National Academy of Sciences of the United States of America, 2025, 122(9): e2422595122.
[40]
徐扬, 张琦, 郭线茹, 赵曼, 李为争, 席玉强, 王高平, 胡明鑫, 张利娟. 当前和未来气候下龟纹瓢虫在中国的适生区预测. 环境昆虫学报, 2024, 46(6): 1391-1400.
XU Y, ZHANG Q, GUO X R, ZHAO M, LI W Z, XI Y Q, WANG G P, HU M X, ZHANG L J. Predicting the suitable regions of Propylea japonica in China under current and future climate. Journal of Environmental Entomology, 2024, 46(6): 1391-1400. (in Chinese)
[41]
张智, 祁俊锋, 张瑜, 林培炯, 张云慧. 迁飞性害虫监测预警技术发展概况与应用展望. 应用昆虫学报, 2021, 58(3): 530-541.
ZHANG Z, QI J F, ZHANG Y, LIN P J, ZHANG Y H. Development of monitoring and forecasting technologies for migratory insect pests and suggestions for their future application. Chinese Journal of Applied Entomology, 2021, 58(3): 530-541. (in Chinese)
[42]
付晓伟. “渤海湾通道”迁飞性昆虫群落结构及种群动态研究[D]. 北京: 中国农业科学院, 2015.
FU X W. Study on the community structure and population dynamics of migratory insects across the Bohai Strait[D]. Beijing: Chinese Academy of Agricultural Sciences, 2015. (in Chinese)
[43]
杨俊成, 李春晓, 沈佐锐. 异色瓢虫越冬地的选择及迁入、迁出量的测定//中国昆虫学会2000年学术年会论文集. 北京: 中国科学技术出版社, 2000: 1047-1050.
YANG J C, LI C X, SHEN Z R. Overwintering site selection and determination of immigration/emigration rates in Harmonia axyridis//Proceedings of the 2000 Annual Academic Conference of the Entomological Society of China. Beijing: Science and Technology of China Press, 2000: 1047-1050. (in Chinese)
[44]
张云慧, 陈林, 程登发, 姜玉英, 吕英. 草地螟2007年越冬代成虫迁飞行为研究与虫源分析. 昆虫学报, 2008, 51(7): 720-727.
ZHANG Y H, CHEN L, CHENG D F, JIANG Y Y, Y. The migratory behaviour and population source of the first generation of the meadow moth, Loxostege sticticalis L. (Lepidoptera: Pyralidae) in 2007. Acta Entomologica Sinica, 2008, 51(7): 720-727. (in Chinese)
[1] HUANG ShengLin, XU YiBo, KONG XiangYi, SHI CaiHua, JIAO XiaoGuo, ZHANG YouJun, WU MingYue, XIE Wen. Analysis of Annual Population Dynamics of Megalurothrips usitatus on Cowpea in Hainan [J]. Scientia Agricultura Sinica, 2025, 58(21): 4439-4450.
[2] WANG LiLi, LUAN BingHui, WANG HongTao, WANG PeiSong, GAO XingXiang, LIU BaoYou. Analysis of Population Dynamics and Migration Status of Ostrinia furnacalis Under Searchlight Trap and Ground Light-Trap [J]. Scientia Agricultura Sinica, 2024, 57(20): 4071-4081.
[3] GE XinZhu,SHI YuXing,WANG ShaSha,LIU ZhiHui,CAI WenJie,ZHOU Min,WANG ShiGui,TANG Bin. Sequence Analysis of Harmonia axyridis Pyruvate Kinase Gene and Its Regulation of Trehalose Metabolism [J]. Scientia Agricultura Sinica, 2021, 54(23): 5021-5031.
[4] QI Hui-hui, ZHANG Yun-hui, WANG Jian, PENG He, ZHANG Zhi, CHENG Deng-fa. Rhythm of Rice Leaf Folder (Cnaphalocrocis medinalis) to the Searchlight Trap [J]. Scientia Agricultura Sinica, 2014, 47(22): 4436-4444.
[5] ZHAO Hong-hai, DING Hai-yan, WANG Feng-long. Comparison and Analysis of the Field Infection Characteristics of Heterodera glycines Between Soybean and Tobacco [J]. Scientia Agricultura Sinica, 2014, 47(22): 4417-4425.
[6] ,,,,,,. Trend of Occurrence of Cotton Bollworm and Control Efficacy of Bt Cotton in Cotton Planting Region of Southern Xinjiang [J]. Scientia Agricultura Sinica, 2006, 39(01): 199-205 .
Viewed
Full text


Abstract

Cited

  Shared   
  Discussed   
No Suggested Reading articles found!