Scientia Agricultura Sinica ›› 2026, Vol. 59 ›› Issue (5): 1034-1047.doi: 10.3864/j.issn.0578-1752.2026.05.009

• SOIL & FERTILIZER·WATER-SAVING IRRIGATION·AGROECOLOGY & ENVIRONMENT • Previous Articles     Next Articles

Regional Differences in Wheat Zinc Uptake and Translocation Responses to Soil Zinc Fertilization

LI WenHu1(), LI HaiFeng1, DU YuPeng1, DING YuLan1, LUO YiNuo1, LI YuKe1, SHE WenTing1, ZHANG Feng1, TENG Yu1, ZHANG SiQi1, HUANG Cui1, LI XiaoHan1, LIU JinShan1,2, WANG ZhaoHui1,2()   

  1. 1 College of Natural Resources and Environment, Northwest A&F University/Key Laboratory of Plant Nutrition and Agro- Environment in Northwest China, Ministry of Agriculture and Rural Affairs, Yangling 712100, Shaanxi
    2 State Key Laboratory for Crop Stress Resistance and High-Efficiency Production, Northwest A&F University, Yangling 712100, Shaanxi
  • Received:2025-04-29 Accepted:2025-06-25 Online:2026-03-01 Published:2026-03-06
  • Contact: WANG ZhaoHui

Abstract:

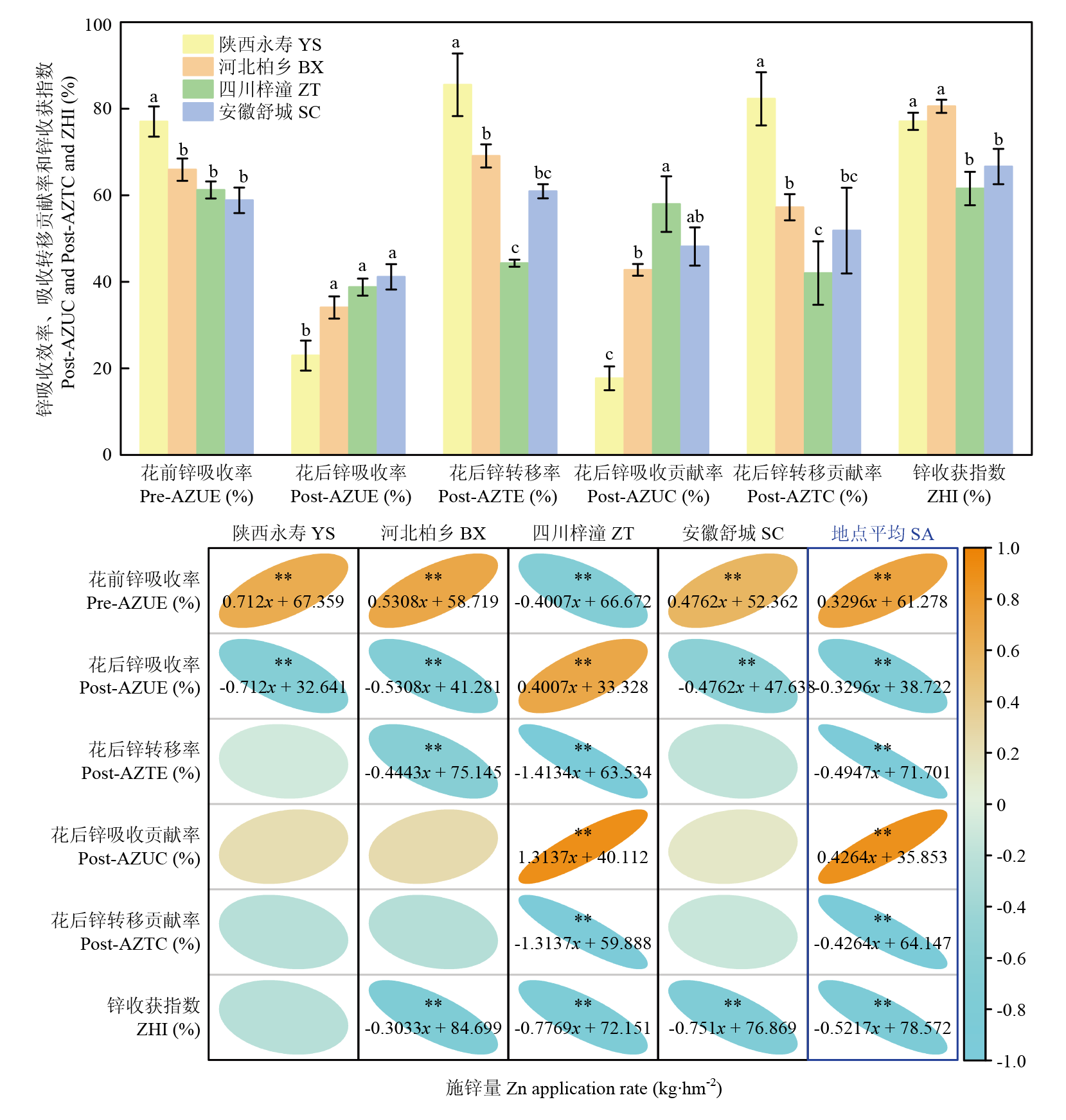
【Objective】 The zinc (Zn) uptake and translocation in wheat have a significant impact on grain Zn concentration. The aim of this study was to understand the relationships between pre-anthesis and post-anthesis Zn uptake and translocation, grain Zn concentration, and Zn rates across different regions, so as to provide the support to the scientific application of Zn fertilizer and the enhancement of wheat grain Zn biofortification.【Method】 Based on the location-fixed field experiment initiated in major wheat-growing regions of China at 2022, including Yongshou of Shaanxi, Baixiang of Hebei, Zitong of Sichuan, and Shucheng of Anhui, soil available Zn concentration, wheat yield, biomass, yield components and Zn concentration in various plant parts were analyzed to understand the regions varies for grain Zn concentration, pre-and post-anthesis Zn uptake, and transportation responses to different Zn application rates during the wheat growing season of 2023-2024.【Result】 The grain yield and yield components did not change with Zn application, but grain Zn concentration increased significantly. The biofortified target of 40.0 mg·kg-1 and the highest of 51.7 and 80.7 mg·kg-1 was achieved respectively in Sichuan and Anhui, but Shaanxi and Hebei could not, with the highest of 32.2 and 34.5 mg·kg-1, respectively. For each 1.0 kg Zn·hm-2 input, Zn uptake in pre-anthesis increased by 9.8, 7.4, 3.0, and 3.0 g·hm-2 at Anhui, Sichuan, Hebei, and Shaanxi, respectively; Zn uptake in post-anthesis increased by 9.8, 8.3, and 0.97 g·hm-2 at Sichuan, Anhui, and Hebei, respectively, but no significant increase was found in Shaanxi; Zn translocation in post-anthesis increased by 5.6 and 2.5 g·hm-2 at Anhui and Shaanxi, respectively, and decreased by 1.6 g·hm-2 at Sichuan, but no significant increase was found in Hebei. For the Zn uptake and translocation efficiencies, with each 1.0 kg Zn·hm-2 input, the increase of 0.71, 0.53, 0.47, and decrease of 0.40 percentage points in pre-anthesis Zn uptake efficiency was observed at Shaanxi, Hebei, Anhui and Sichuan, respectively; the decrease of 0.71, 0.53, 0.47, and increase of 0.40 percentage points in post-anthesis Zn uptake efficiency was observed at Shaanxi, Hebei, Anhui and Sichuan, respectively; the decrease of 1.41 and 0.44 percentage points in post-anthesis Zn translocation efficiency was observed at Sichuan and Hebei, respectively, but not decrease in Shaanxi and Anhui; the decrease of 0.06 and 0.13 in anthesis Zn transfer index from root to shoot was observed at Sichuan and Anhui, respectively, but not decrease in Shaanxi and Hebei. 【Conclusion】 Wheat grain Zn biofortification was collectively influenced by Zn uptake and translocation processes. Compared with efficiencies of the pre-anthesis and post-anthesis Zn uptake, Zn uptake contribution, post-anthesis Zn translocation, and translocation contribution, the pre-anthesis and post-anthesis Zn uptake and translocation exhibited greater impacts by regions variations of wheat grain Zn concentration. Zn fertilization increased pre-anthesis and post-anthesis Zn uptake, while its effect on post-anthesis Zn translocation varied with regions. Compared with post-anthesis Zn translocation, the pre-anthesis and post-anthesis Zn uptake, exhibited greater impacts in wheat grain Zn concentration, particularly the post-anthesis Zn uptake. Therefore, enhancing the soil Zn supply capacity in main wheat production regions of China and promoting Zn uptake in wheat, particularly post-anthesis Zn uptake, could effectively increase grain Zn concentration and achieve the wheat Zn biofortification target.

Key words: wheat, Zn concentration, Zn uptake and translocation, soil Zn fertilization, Zn fertilizer

Table 1

Basic physiochemical properties and fertilizer application rate in 0-20 cm soil layer before wheat sowing at four experimental sites in 2023"

地点
Site
pH 有机质
OM
(g·kg-1)
全氮
Total N
(g·kg-1)
矿质态氮
Mineral N
(mg·kg-1)
有效磷
Available P
(mg·kg-1)
速效钾
Available K
(mg·kg-1)
有效锌
Available Zn
(mg·kg-1)
施肥量 Fertilizer rate (kg·hm-2)
N P2O5 K2O
陕西永寿 YS 8.08 13.7 0.9 15.5 8.6 147.1 0.97 180 100 75
河北柏乡 BX 8.19 18.7 1.1 11.4 12.8 111.1 2.15 150 128 38
四川梓潼 ZT 5.76 29.3 1.6 8.8 12.8 97.7 1.57 169 41 61
安徽舒城 SC 5.04 28.3 1.6 11.3 40.1 189.1 2.16 113 113 113

Fig. 1

Irrigation and precipitation during wheat growing season of 2023 to 2024 at four experimental sites"

Fig. 2

Responses of the yield and grain Zn concentration of wheat to Zn fertilizer application rates at four experimental sites in the major wheat growing regions of China Different lowercase letters indicate significant differences in grain Zn concentration among the five treatments. In the equation, x represents the soil Zn fertilizer application, y represents the Zn concentrations of grain. **: P<0.01, *: P<0.05. The same as below"

Fig. 3

Responses of Zn concentration in different organs of wheat at anthesis to soil Zn fertilizer application rates at four experimental sites in the major wheat growing regions of China Different lowercase letters indicate significant differences in organ Zn concentration among the five treatments (P<0.05). In the equation, x represents the soil Zn fertilizer application, y represents the Zn concentrations in different organs of wheat"

Fig. 4

Responses of the pre- and post-anthesis Zn uptake and post-anthesis transportation of wheat to soil Zn fertilizer application rates at four experimental sites in the major wheat growing regions of China In the equation, x represents the soil Zn fertilizer application, the same as below. Different lowercase letters indicate significant differences in Zn concentration among the four sites (P<0.05)"

Fig. 5

Responses of contribution rate of the Zn uptake and translocation and Zn harvest index of wheat to soil Zn fertilizer application rates at four experimental sites in the major wheat growing regions of China Different lowercase letters indicate significant differences among the four sites (P<0.05)"

Table 2

The Zn transfer index of different organs of wheat at anthesis and harvest"

地点
Site
施锌量
Zn rate
开花期 Anthesis 成熟期 Harvest
根向地上部转移
TF root-to-shoot
茎叶向穗转移
TF straw-to-spike
茎叶向颖壳转移
TF straw-to-chaff
颖壳向籽粒转移
TF chaff-to-grain
陕西永寿 YS 0 7.8a 0.63a 0.28b 13.5a
6.8 7.7a 0.61ab 0.36ab 14.8a
13.6 6.4a 0.53abc 0.44a 14.0a
20.4 9.3a 0.45bc 0.45a 12.8a
27.2 6.8a 0.43c 0.33ab 8.8b
河北柏乡BX 0 11.9a 0.51a 0.49a 8.2a
6.8 11.5a 0.41ab 0.52a 6.1b
13.6 11.0a 0.41ab 0.57a 5.0bc
20.4 11.2a 0.35b 0.63a 4.5bc
27.2 10.5a 0.39b 0.71a 4.4c
四川梓潼ZT 0 4.1a 0.43a 0.51a 15.4a
6.8 4.0a 0.32b 0.50a 11.3b
13.6 3.3ab 0.35ab 0.46ab 8.3c
20.4 2.9ab 0.27b 0.39bc 6.6d
27.2 2.6b 0.27b 0.35c 5.3d
安徽舒城SC 0 11.1a 0.39a 0.33c 14.9a
6.8 7.8ab 0.24b 0.35bc 14.2ab
13.6 7.4b 0.20bc 0.27c 12.1bc
20.4 8.4ab 0.15c 0.42ab 10.6bc
27.2 6.2b 0.16c 0.52a 12.6c
地点均值SA 陕西永寿YS 7.6B 0.53A 0.37B 12.8A
河北柏乡BX 11.2A 0.41B 0.58A 5.6C
四川梓潼ZT 3.4C 0.33C 0.44B 9.4B
安徽舒城SC 8.2B 0.23C 0.38B 12.9A
施锌量均值ZPA 0 8.7a 0.38b 0.42b 9.6b
6.8 7.7b 0.36c 0.46b 9.7b
13.6 7.0c 0.42a 0.45a 9.2b
20.4 8.0a 0.41a 0.52b 9.4b
27.2 6.5c 0.36c 0.41a 12.0a

Fig. 6

Responses of the Zn transfer index of different organs of wheat to soil Zn fertilizer application rates at four experimental sites in the major wheat growing regions of China"

[1]
陈文强. 微量元素锌与人体健康. 微量元素与健康研究, 2006, 23(4): 62-65.
CHEN W Q. The trace element zinc and human body’s health. Studies of Trace Elements and Health, 2006, 23(4): 62-65. (in Chinese)
[2]
沈志锦, 彭克勤, 周浩, 张雪芹, 库文珍, 黄欣, 武新红, 苏益. 植物微量元素锌的研究进展. 湖南农业科学, 2007(3): 110-112.
SHEN Z J, PENG K Q, ZHOU H, ZHANG X Q, KU W Z, HUANG X, WU X H, SU Y. Research progress of plant trace element zinc. Hunan Agricultural Sciences, 2007(3): 110-112. (in Chinese)
[3]
朱盼盼, 马彦平, 周忠雄, 石磊. 微量元素锌与植物营养和人体健康. 肥料与健康, 2021, 48(5): 16-18, 23.
ZHU P P, MA Y P, ZHOU Z X, SHI L. Trace element zinc, plant nutrition and human health. Fertilizer & Health, 2021, 48(5): 16-18, 23. (in Chinese)
[4]
SONG Y, CHEN P, ZALLOUA P A, LI J P, SHI H P. Precision nutrition: 8 stages and 5 dimensions. Precision Nutrition, 2023, 2(4): e00057.
[5]
董国力. 微量元素铁、锌、碘、硒、氟与人体健康的相关性探究. 中国当代医药, 2013, 20(6): 183-184.
DONG G L. Correlation analysis of trace elements iron, zinc, iodine, selenium and fluoride and human health. China Modern Medicine, 2013, 20(6): 183-184. (in Chinese)
[6]
STANGOULIS J C R, KNEZ M. Biofortification of major crop plants with iron and zinc - achievements and future directions. Plant and Soil, 2022, 474(1): 57-76.

doi: 10.1007/s11104-022-05330-7
[7]
STANTON C, SANDERS D, KRÄMER U, PODAR D. Zinc in plants: Integrating homeostasis and biofortification. Molecular Plant, 2022, 15(1): 65-85.

doi: 10.1016/j.molp.2021.12.008
[8]
RECENA R, GARCÍA-LÓPEZ A M, DELGADO A. Zinc uptake by plants as affected by fertilization with Zn sulfate, phosphorus availability, and soil properties. Agronomy, 2021, 11(2): 390.
[9]
褚宏欣, 党海燕, 王涛, 孙蕊卿, 侯赛宾, 黄倩楠, 李小涵, 王朝辉, 黄婷苗. 我国主要麦区土壤有效铁锰铜锌丰缺状况评价及影响因素. 土壤学报, 2024, 61(1): 129-139.
CHU H X, DANG H Y, WANG T, SUN R Q, HOU S B, HUANG Q N, LI X H, WANG Z H, HUANG T M. Evaluations and influencing factors of soil available Fe, Mn, Cu and Zn concentrations in major wheat production regions of China. Acta Pedologica Sinica, 2024, 61(1): 129-139. (in Chinese)
[10]
褚宏欣, 牟文燕, 党海燕, 王涛, 孙蕊卿, 侯赛宾, 黄婷苗, 黄倩楠, 石美, 王朝辉. 我国主要麦区小麦籽粒微量元素含量及营养评价. 作物学报, 2022, 48(11): 2853-2865.

doi: 10.3724/SP.J.1006.2022.11099
CHU H X, MU W Y, DANG H Y, WANG T, SUN R Q, HOU S B, HUANG T M, HUANG Q N, SHI M, WANG Z H. Evaluation on concentration and nutrition of micro-elements in wheat grains in major wheat production regions of China. Acta Agronomica Sinica, 2022, 48(11): 2853-2865. (in Chinese)

doi: 10.3724/SP.J.1006.2022.11099
[11]
CAKMAK I, KUTMAN U B. Agronomic biofortification of cereals with zinc: A review. European Journal of Soil Science, 2018, 69(1): 172-180.

doi: 10.1111/ejss.2018.69.issue-1
[12]
罗一诺, 李文虎, 李艳霏, 张思琦, 牟文燕, 黄宁, 孙蕊卿, 丁玉兰, 佘文婷, 李小涵, 石美, 王朝辉. 我国新育成小麦品种(系)籽粒锌含量及影响因素. 植物营养与肥料学报, 2025, 31(1): 32-47.
LUO Y N, LI W H, LI Y F, ZHANG S Q, MU W Y, HUANG N, SUN R Q, DING Y L, SHE W T, LI X H, SHI M, WANG Z H. Zinc concentration and its influencing factors in grain of newly developed wheat cultivars(lines) in China. Journal of Plant Nutrition and Fertilizers, 2025, 31(1): 32-47. (in Chinese)
[13]
杨月娥, 王森, 王朝辉, 刘慧, 王慧. 我国主要麦区小麦籽粒锌含量对叶喷锌肥的响应. 植物营养与肥料学报, 2016, 22(3): 579-589.
YANG Y E, WANG S, WANG Z H, LIU H, WANG H. Response of wheat grain Zn concentration to foliar sprayed Zn in main wheat production regions of China. Journal of Plant Nutrition and Fertilizer, 2016, 22(3): 579-589. (in Chinese)
[14]
DHALIWAL S S, SHARMA V, SHUKLA A K, VERMA V, BEHERA S K, SINGH P, SINGH H. Foliar zinc application for zinc biofortification in diverse wheat genotypes under low Zn soil. Cereal Research Communications, 2022, 50(4): 1269-1277.

doi: 10.1007/s42976-022-00251-8
[15]
韩金玲, 李雁鸣, 马春英, 王文颇. 施锌对小麦开花后氮、磷、钾、锌积累和运转的影响. 植物营养与肥料学报, 2006, 12(3): 313-320.
HAN J L, LI Y M, MA C Y, WANG W P. Effect of zinc fertilization on accumulation and transportation of N, P, K and Zn after anthesis of wheat. Plant Nutrition and Fertilizer Science, 2006, 12(3): 313-320. (in Chinese)
[16]
丁玉兰, 黄翠, 方佳创, 李文虎, 王星舒, 张学美, 党海燕, 孙蕊卿, 杨珺, 徐隽峰, 等. 旱地小麦锌吸收转移与籽粒锌含量的关系. 植物营养与肥料学报, 2024, 30(9): 1650-1664.
DING Y L, HUANG C, FANG J C, LI W H, WANG X S, ZHANG X M, DANG H Y, SUN R Q, YANG J, XU J F, et al. Relationships of grain zinc concentration with wheat zinc uptake and translocation in dryland. Journal of Plant Nutrition and Fertilizers, 2024, 30(9): 1650-1664. (in Chinese)
[17]
LU M, CAO X R, PAN J Q, GURAJALA H K, HE Z L, YANG X E, KHAN M B. Genotypic variations in zinc accumulation and bioaccessibility among wheat (Triticum aestivum L.) genotypes under two different field conditions. Journal of Cereal Science, 2020, 93: 102953.

doi: 10.1016/j.jcs.2020.102953
[18]
XUE Y F, YUE S C, LIU D Y, ZHANG W, CHEN X P, ZOU C Q. Dynamic zinc accumulation and contributions of pre- and/or post-silking zinc uptake to grain zinc of maize as affected by nitrogen supply. Frontiers in Plant Science, 2019, 10: 1203.

doi: 10.3389/fpls.2019.01203
[19]
SINGH P, SHUKLA A K, BEHERA S K, TIWARI P K, DAS S, TRIPATHI A. Categorization of diverse wheat genotypes for zinc efficiency based on higher yield and uptake efficiency. Journal of Soil Science and Plant Nutrition, 2020, 20(2): 648-656.

doi: 10.1007/s42729-019-00153-5
[20]
杨宁, 赵护兵, 王朝辉, 张达斌, 高亚军. 豆科作物-小麦轮作方式下旱地小麦花后干物质及养分累积、转移与产量的关系. 生态学报, 2012, 32(15): 4827-4835.
YANG N, ZHAO H B, WANG Z H, ZHANG D B, GAO Y J. Accumulation and translocation of dry matter and nutrients of wheat rotated with legumes and its relation to grain yield in a dryland area. Acta Ecologica Sinica, 2012, 32(15): 4827-4835. (in Chinese)

doi: 10.5846/stxb
[21]
王丽, 王朝辉, 郭子糠, 陶振魁, 郑洺钧, 黄宁, 高志源, 张欣欣, 黄婷苗. 黄土高原不同地点小麦籽粒矿质元素的含量差异. 中国农业科学, 2020, 53(17): 3527-3540. doi: 10.3864/j.issn.0578-1752.2020.17.010.
WANG L, WANG Z H, GUO Z K, TAO Z K, ZHENG M J, HUANG N, GAO Z Y, ZHANG X X, HUANG T M. Differences of main nutrient concentration in wheat grain between typical locations of the Loess Plateau. Scientia Agricultura Sinica, 2020, 53(17): 3527-3540. doi: 10.3864/j.issn.0578-1752.2020.17.010. (in Chinese)
[22]
YANG X W, TIAN X H, GALE W J, CAO Y X, LU X C, ZHAO A Q. Effect of soil and foliar zinc application on zinc concentration and bioavailability in wheat grain grown on potentially zinc-deficient soil. Cereal Research Communications, 2011, 39(4): 535-543.

doi: 10.1556/CRC.39.2011.4.8
[23]
颜为, 孙金鞭, 吕洪国, 黄萌, 王志伟, 齐世军, 崔振岭, 薛艳芳, 刘开昌. 不同锌源叶面喷施对冬小麦和夏玉米产量及籽粒营养品质的影响. 农业环境科学学报, 2024, 43(3): 504-515.
YAN W, SUN J B, H G, HUANG M, WANG Z W, QI S J, CUI Z L, XUE Y F, LIU K C. Effects of foliar applications of fertilizers containing different zinc sources on grain yield and grain nutritional quality of winter wheat and summer maize. Journal of Agro- Environment Science, 2024, 43(3): 504-515. (in Chinese)
[24]
KUTMAN U B, KUTMAN B Y, CEYLAN Y, ALI OVA E, CAKMAK I. Contributions of root uptake and remobilization to grain zinc accumulation in wheat depending on post-anthesis zinc availability and nitrogen nutrition. Plant and Soil, 2012, 361(1): 177-187.

doi: 10.1007/s11104-012-1300-x
[25]
牛堉锡. 锌、硒肥运筹对冬小麦锌硒积累、转运、分配的影响[D]. 杨凌: 西北农林科技大学, 2024.
NIU Y X. Effects of zinc and selenium fertilizer management on accumulation, transport and distribution of zinc and selenium in winter wheat[D]. Yangling: Northwest A&F University, 2024. (in Chinese)
[26]
LIU D Y, LIU Y M, ZHANG W, CHEN X P, ZOU C Q. Zinc uptake, translocation, and remobilization in winter wheat as affected by soil application of Zn fertilizer. Frontiers in Plant Science, 2019, 10: 426.

doi: 10.3389/fpls.2019.00426
[27]
LIU Y M, LIU D Y, ZHAO Q Y, ZHANG W, CHEN X X, XU S J, ZOU C Q. Zinc fractions in soils and uptake in winter wheat as affected by repeated applications of zinc fertilizer. Soil and Tillage Research, 2020, 200: 104612.

doi: 10.1016/j.still.2020.104612
[28]
杨习文, 宋淼, 李秋杰, 周苏玫, 韩少宇, 陈旭, 徐利利, 贺德先. 氮锌配施对小麦锌转运、分配与累积的影响. 应用生态学报, 2020, 31(1): 148-156.

doi: 10.13287/j.1001-9332.202001.027
YANG X W, SONG M, LI Q J, ZHOU S M, HAN S Y, CHEN X, XU L L, HE D X. Impacts of combined N and Zn application on Zn translocation, partitioning, and accumulation in Triticum aestivum. Chinese Journal of Applied Ecology, 2020, 31(1): 148-156. (in Chinese)
[29]
吴天琪, 李雅菲, 师江澜, 宁鹏, 田霄鸿. 基施氮肥及灌浆前期喷施锌肥对小麦籽粒富锌及蛋白组分含量的影响. 中国农业科学, 2022, 55(10): 1971-1986. doi: 10.3864/j.issn.0578-1752.2022.10.008.
WU T Q, LI Y F, SHI J L, NING P, TIAN X H. Effects of basal nitrogen and foliar zinc application at the early filling stage on zinc enrichment and protein components content in wheat grain. Scientia Agricultura Sinica, 2022, 55(10): 1971-1986. doi: 10.3864/j.issn.0578-1752.2022.10.008. (in Chinese)
[30]
王少霞, 李萌, 田霄鸿, 陈艳龙, 李硕, 刘珂, 贾舟. 锌与氮磷钾配合喷施对小麦锌累积、分配及转移的影响. 植物营养与肥料学报, 2018, 24(2): 296-305.
WANG S X, LI M, TIAN X H, CHEN Y L, LI S, LIU K, JIA Z. Effects of combined foliar application of Zn with N, P, or K on Zn accumulation, distribution and translocation in wheat. Journal of Plant Nutrition and Fertilizers, 2018, 24(2): 296-305. (in Chinese)
[1] ZHU Qi, JIA ZhenPeng, Tahir SHAH, XU ChenSheng, LI ZhiQi, LÜ HuiShuai, ZHU PengChao, WEI XiaoMin, HUANG DongLin, SUN YanNi, CAO WeiDong, GAO YaJun, WANG ZhaoHui, ZHANG DaBin. Green Manure Crops Combined with Enhanced-Efficiency Products Reduced Greenhouse Gas Emissions and Carbon Footprints in Dryland Wheat Fields [J]. Scientia Agricultura Sinica, 2026, 59(7): 1507-1522.
[2] JIAO WenJuan, HE WanLong, GENG HongWei, BAI Bin, LI JianFeng, CHENG YuKun. Stripe Rust Resistance Evaluation and Molecular Characterization of Yr Genes for 155 Spring Wheat Varieties (Lines) [J]. Scientia Agricultura Sinica, 2026, 59(5): 937-950.
[3] CUI ShiYou, CHEN PengJun, MIAO YuanQing, HAN JiJun, SHEN JunMing. Development and Field Evaluation of Glyphosate-Resistant Wheat Germplasm Generated Through EMS Mutagenesis [J]. Scientia Agricultura Sinica, 2026, 59(4): 723-733.
[4] QIAN Jin, LI YingXue, WU Fang, ZOU XiaoChen. Improved Leaf Phosphorus Content Estimation of Winter Wheat Using Ensemble Hyperspectral Dimensionality Reduction Method [J]. Scientia Agricultura Sinica, 2026, 59(4): 781-792.
[5] KONG Yuan, CUI ShaSha, LI Mei, LI Jian, YANG SiYu, FANG Feng, LIU ShuaiShuai, LIU MingPing, ZENG Yan, GAO XingXiang, BAI LianYang. Spatiotemporal Distribution Dynamics of Five Grass Weed Species Including Lolium multiflorum in Winter Wheat Fields of the Huang- Huai-Hai Region [J]. Scientia Agricultura Sinica, 2026, 59(4): 807-823.
[6] WANG YongSheng, NIU Li, WANG ChangJie, MA LiHua, LIAN XiaoXiao, MENG YaXiong, MA XiaoLe, YAO LiRong, ZHANG Hong, YANG Ke, LI BaoChun, WANG HuaJun, SI ErJing, WANG JunCheng. Genome-Wide Association Study and Candidate Gene Identification for Thousand Grain Weight in Winter Wheat [J]. Scientia Agricultura Sinica, 2026, 59(3): 499-514.
[7] LI XinYi, LI JiaNing, YANG WenPing, XIA Qing, HUO YingRui, HAO ShiHang, HUANG TingMiao, REN YongKang, CHEN Jie, GAO ZhiQiang, YANG ZhenPing. Effects of Post-Anthesis Foliar Zinc Application on Zinc Nutrition in Colored-Grain Wheat [J]. Scientia Agricultura Sinica, 2026, 59(3): 515-527.
[8] XIAN QingLin, XIAO JianKe, GAO AQing, GAO LiChuang, LIU Yang. Effects of Planting Patterns Combined with Soil Moisture Measurement and Supplementary Irrigation on the Yield and Water Use Efficiency of Winter Wheat [J]. Scientia Agricultura Sinica, 2026, 59(3): 589-601.
[9] ZHANG ZhiYong, TAN ShiChao, XIONG ShuPing, MA XinMing, WEI YiHao, WANG XiaoChun. Effects of Annual Water and Nitrogen Optimization on Yield and Nitrogen Migration of Wheat-Maize Rotation System in Irrigation Area of Northern Henan [J]. Scientia Agricultura Sinica, 2026, 59(2): 336-353.
[10] LÜ XuDong, SUN ShiYuan, LI YaNan, LIU YuLong, WANG YanQun, FU Xin, ZHANG JiaYing, NING Peng, PENG ZhengPing. Effects of Intelligent Mechanized Layered Fertilization on Root-Soil Nutrient Distribution and Yield in Wheat Fields [J]. Scientia Agricultura Sinica, 2026, 59(1): 129-146.
[11] LU Hao, ZHANG MingLong, HAN Mei, YAN QingBiao, LI ZhengPeng, YIN Wen, FAN ZhiLong, HU FaLong, CHAI Qiang. Green Manure Returning via Sheep Digest with Nitrogen Fertilizer Reduction are Beneficial to Improve Wheat Yield and Soil Quality at Qinghai-Tibet Plateau [J]. Scientia Agricultura Sinica, 2026, 59(1): 147-160.
[12] YE MeiJin, CHEN JiaTing, ZHOU JieGuang, YIN Li, HU XinRong, LAN YuXin, CHEN Bin, SU LongXing, LIU JiaJun, LIU TianChao, LI XiaoYu, MA Jian. Identification, Validation and Genetic Effect Analysis of Major QTL for Spike Density in Wheat [J]. Scientia Agricultura Sinica, 2026, 59(1): 17-28.
[13] LI YunLi, DIAO DengChao, LIU YaRui, SUN YuChen, MENG XiangYu, WU ChenFang, WANG Yu, WU JianHui, LI ChunLian, ZENG QingDong, HAN DeJun, ZHENG WeiJun. Genome-Wide Association Study of Heat Tolerance at Seedling Stage in A Wheat Natural Population [J]. Scientia Agricultura Sinica, 2025, 58(9): 1663-1683.
[14] PU LiXia, ZHANG JiaRui, YE JianPing, HUANG XiuLan, FAN GaoQiong, YANG HongKun. The Combined Effects of 16, 17-Dihydro Gibberellin A5 and Straw Mulching on Tillering and Grain Yield of Dryland Wheat [J]. Scientia Agricultura Sinica, 2025, 58(9): 1735-1748.
[15] WU Yu, QU XiangRu, YANG Dan, WU Qin, CHEN GuoYue, JIANG QianTao, WEI YuMing, XU Qiang. Widespread Non-Targeted Metabolomics Reveals Metabolites of Chloroplasts in Wheat Responses to Stripe Rust [J]. Scientia Agricultura Sinica, 2025, 58(7): 1333-1343.
Viewed
Full text


Abstract

Cited

  Shared   
  Discussed   
No Suggested Reading articles found!