中国农业科学 ›› 2026, Vol. 59 ›› Issue (4): 850-861.doi: 10.3864/j.issn.0578-1752.2026.04.011

• 土壤肥料·节水灌溉·农业生态环境 • 上一篇    下一篇

水肥运筹降低设施菜地氮淋失协同增产增效

杨岩1(), 江丽华2, 李妮2, 石璟1, 谭德水1, 刘玉敏1, 赵环宇1, 徐钰1()   

  1. 1 山东省农业科学院农业资源与环境研究所/养分资源高效利用全国重点实验室/农业农村部废弃物基质化利用重点实验室, 济南 250100
    2 山东农业工程学院, 济南 250100
  • 收稿日期:2025-03-31 出版日期:2026-02-10 发布日期:2026-02-10
  • 通信作者:
    徐钰,E-mail:
  • 联系方式: 杨岩,E-mail:tornado23@126.com。
  • 基金资助:
    山东省重点研发计划(2023TZXD088); 山东省自然科学基金(ZR2022MD081); 山东省重大科技创新工程(2019JZZY010721)

Water and Fertilizer Management for Reducing Nitrogen Leaching in Facility Vegetable Fields and Achieving Concurrent Yield Increase and Efficiency Improvement

YANG Yan1(), JIANG LiHua2, LI Ni2, SHI Jing1, TAN DeShui1, LIU YuMin1, ZHAO HuanYu1, XU Yu1()   

  1. 1 Institute of Resource and Environment, Shandong Academy of Agricultural Sciences/State Key Laboratory of Nutrient Use and Management/Key Laboratory of Wastes Matrix Utilization, Ministry of Agriculture and Rural Affairs, Ji'nan 250100
    2 Shandong Agriculture and Engineering University, Ji'nan 250100
  • Received:2025-03-31 Published:2026-02-10 Online:2026-02-10

摘要:

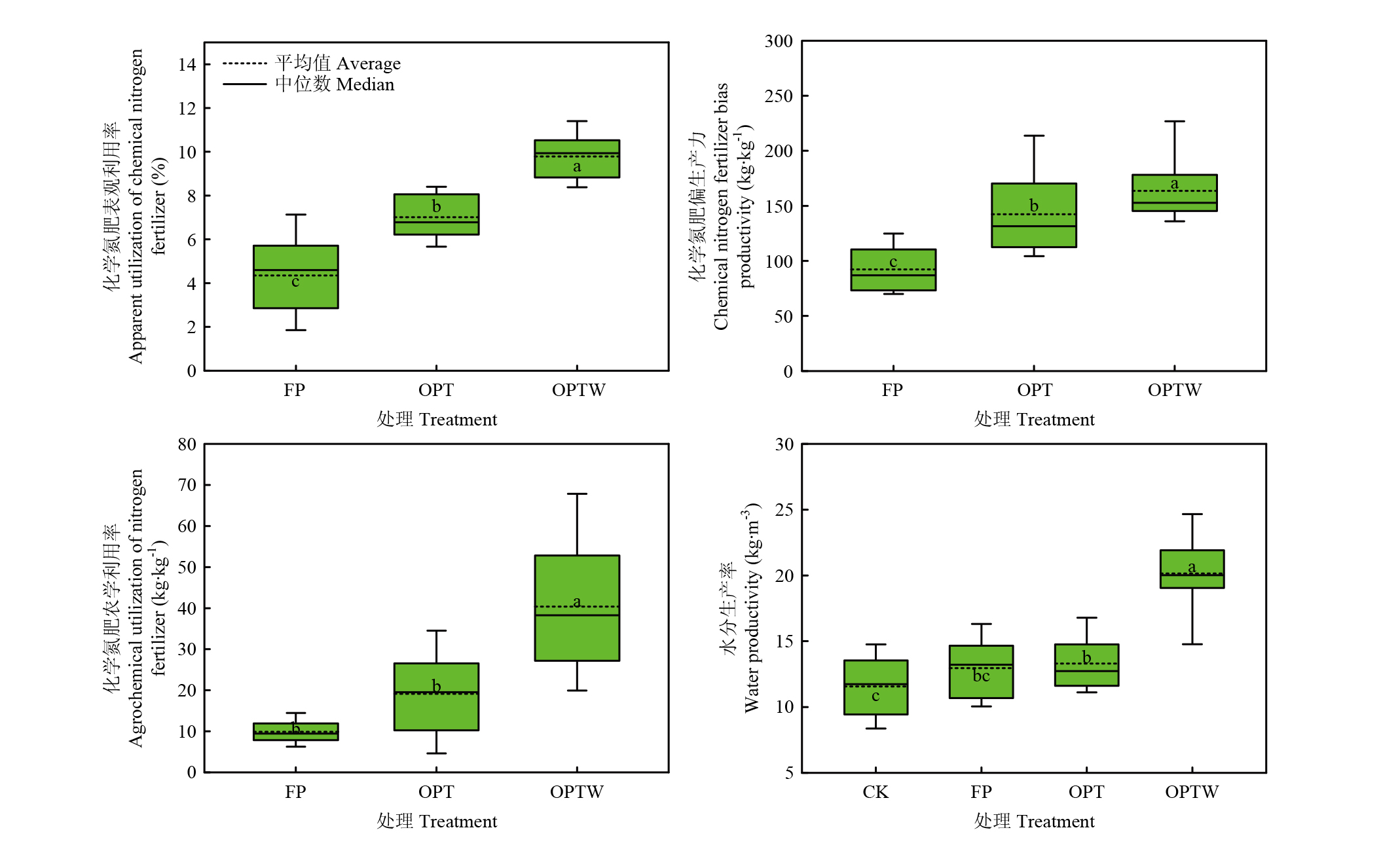
【目的】氮素淋失是设施菜地种植区地下水硝酸盐污染的重要来源之一。明确设施菜地氮素淋失特征为农业面源污染测算和实现蔬菜绿色高效可持续生产提供依据。【方法】以设施番茄-黄瓜轮作系统为研究对象,2016—2023年,在山东省禹城市连续8年开展不同水肥运筹对设施菜地氮素淋失、蔬菜产量和水肥利用效率影响的试验研究。【结果】在设施番茄-黄瓜轮作模式下,淋溶产流高峰主要发生在3月和10月,基本处于设施番茄和黄瓜的结果初期;高峰期产流量占全年产流量的34.6%以上。水肥优化综合管理模式(OPTW)降低设施菜地淋溶产流量32.6%以上,但对淋溶强度无显著影响。各处理淋溶液中可溶性总氮占比达70.0%以上,是氮素流失的主要形态。与传统水肥管理(FP)相比,优化施肥(OPT)全氮淋失量降低24.7%,蔬菜年增产3.2%,水肥利用效率提高2.7%以上;而OPTW则降低全氮淋失量49.6%,蔬菜年产量和水肥利用效率分别提高19.6%和55.5%以上。OPT和OPTW处理全氮淋失系数分别为24.9%和16.3%,二者间无显著差异,其中OPTW较FP降低31.9%。【结论】水肥优化综合管理模式在保证蔬菜增产的同时,实现氮素减排和水肥协同增效,为降低设施菜地氮淋失风险提供可靠技术依托,但后续研究或实际生产中需对灌溉制度进一步优化,并增配氮形态调控、增强土壤水肥固持能力等农艺措施。

关键词: 定位监测, 水肥优化, 灌溉施肥, 设施菜地, 氮淋失

Abstract:

【Objective】Nitrogen leaching is one of the significant sources of nitrate pollution in groundwater in vegetable-growing areas with facilities. This study aimed to explicit the characteristics of nitrogen leaching in facility vegetable fields for the calculation of agricultural non-point source pollution and achieving green, efficient and sustainable vegetable production.【Method】This study took the one-year two-crop system of facility tomato and cucumber as the research object, and conducted an 8-year field experiment from 2016 to 2023 in Yucheng City, Shandong Province, to investigate the effects of different water and fertilizer management strategies on nitrogen leaching, yield, water and fertilizer use efficiency in facility vegetable fields.【Result】Under the rotation mode of facility tomato and cucumber, the peak leaching flow mainly occurred in March and October, which were basically during the fruiting periods; the runoff yield of peak season accounted for more than 34.6% of the annual flow. The optimized water and fertilizer management (OPTW) significantly reduced the leaching flow in facility vegetable fields by more than 32.6%, but had no significant effect on the leaching intensity. The proportion of total soluble nitrogen in the leachate of each treatment was more than 70.0%, which was the main form of nitrogen loss. Compared with the traditional water and fertilizer management (FP), the optimized fertilization (OPT) reduced the total nitrogen leaching by 24.7%, increased the annual vegetable yield by 3.2%, and improved the water and fertilizer use efficiency by more than 2.7%, while OPTW significantly reduced the total nitrogen leaching by 49.6%, increased the annual yield of facility vegetables by 19.6%, and improved the water and fertilizer use efficiency by more than 55.5%. The total nitrogen leaching coefficients of OPT and OPTW were 24.9% and 16.3%, respectively, with no significant difference between them, and OPTW was 31.9% lower than FP.【Conclusion】The optimized water and fertilizer integrated management could ensure vegetable yield increase while reducing nitrogen emissions and improving water and fertilizer use efficiency, providing a reliable technical support for reducing the risk of nitrogen leaching in facility vegetable fields. However, in subsequent research or actual production, the irrigation regime needed to be further optimized, and agronomic measures should be added, such as nitrogen form regulation and enhancement of soil water and fertilizer retention capacity.

Key words: positioning monitoring, water and fertilizer optimization, irrigation and fertilization, facility vegetable field, nitrogen leaching loss