





中国农业科学 ›› 2026, Vol. 59 ›› Issue (1): 101-113.doi: 10.3864/j.issn.0578-1752.2026.01.008
杨柯昕1(
), 张勇2, 李艳秀1, 谢思遥1, 薛博2, 杨少杰2, 宋德伟2, 马强2, 邹平1, 李杨1, 马斯琦1,*(
), 荆常亮1,*(
)
收稿日期:2025-08-27
接受日期:2025-10-16
出版日期:2026-01-01
发布日期:2026-01-07
通信作者:
联系方式:
杨柯昕,E-mail:kxyang1106@163.com。
基金资助:
YANG KeXin1(
), ZHANG Yong2, LI YanXiu1, XIE SiYao1, XUE Bo2, YANG ShaoJie2, SONG DeWei2, MA Qiang2, ZOU Ping1, LI Yang1, MA SiQi1,*(
), JING ChangLiang1,*(
)
Received:2025-08-27
Accepted:2025-10-16
Published:2026-01-01
Online:2026-01-07
摘要:
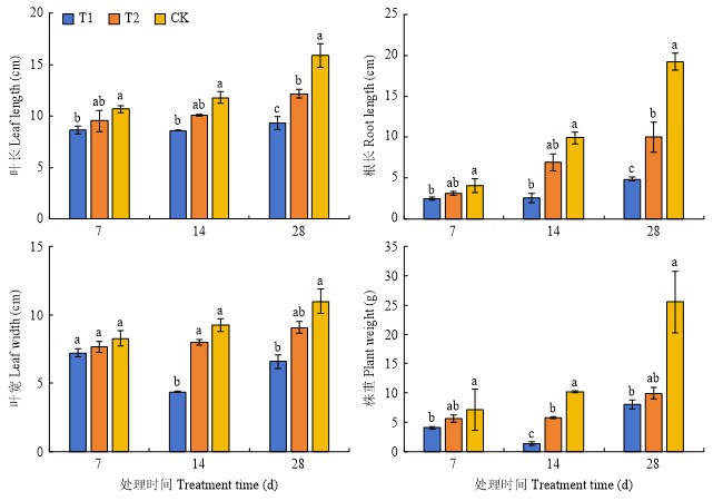
【目的】探究褐藻寡糖缓解烟草莠去津农药残留的功能与途径,开发褐藻寡糖作为生物刺激素的新用途,验证其在作物保护领域的潜力,丰富绿色农业技术手段。【方法】试验于2025年3—6月在山东省青岛市中国农业科学院烟草研究所即墨实验基地进行。以对农药莠去津高度敏感的云烟87品种作为试验材料,采用盆栽方式进行试验。分别设置3个处理:莠去津+清水(T1)、莠去津+褐藻寡糖(T2)、清水处理(CK),设置莠去津土壤中残留量为3.35×10-3 mg·kg-1、褐藻寡糖浓度为200 mg·L-1,移栽后7、14、28 d统计其农艺性状,计算农药抑制率,并收集处理28 d时叶片、根际土进行转录组以及根际微生物群落分析。【结果】200 mg·L-1褐藻寡糖可以缓解莠去津对烟草生长造成的抑制。在植物性状方面,处理7、14、28 d莠去津+褐藻寡糖(T2)叶长、叶宽、根长、株重等主要农艺性状高于或显著高于莠去津+清水(T1)处理组;且褐藻寡糖处理提高了叶片光合速率,缓解了莠去津对烟草根系发育的抑制;烟草转录组分析表明,与莠去津+清水(T1)处理组相比,褐藻寡糖处理后有6 784个基因上调表达,5 792个基因下调表达,KEGG分析得出17条代谢通路显著富集,其中富集因子最高的为光合作用-天线蛋白的代谢途径,与生理生化测定结果高度一致;在根际微生物方面,褐藻寡糖处理提高了土壤根际微生物群落的丰富度与多样性,改变了微生物群落结构,其中具有促生功能的假双斧状菌属(Pseudolabrys)及农药降解功能的黄色土壤杆菌属(Flavisolibacter)等属显著富集。【结论】褐藻寡糖作为一种生物刺激素能够有效缓解莠去津残留引起的药害,其潜在作用机制主要体现在3个层面:缓解莠去津对烟草形态结构的抑制;通过上调光合作用-天线蛋白通路基因的表达来增强植物光合作用效率;调控根际微环境诱导有益微生物的定向富集。
杨柯昕, 张勇, 李艳秀, 谢思遥, 薛博, 杨少杰, 宋德伟, 马强, 邹平, 李杨, 马斯琦, 荆常亮. 褐藻寡糖缓解烟草莠去津药害的效应[J]. 中国农业科学, 2026, 59(1): 101-113.
YANG KeXin, ZHANG Yong, LI YanXiu, XIE SiYao, XUE Bo, YANG ShaoJie, SONG DeWei, MA Qiang, ZOU Ping, LI Yang, MA SiQi, JING ChangLiang. Effects of Alginate Oligosaccharides on Alleviating Atrazine Phytotoxicity in Tobacco[J]. Scientia Agricultura Sinica, 2026, 59(1): 101-113.
图5
差异表达基因的GO注释分析 A:结合Binding;B:催化活性Catalytic activity;C:转运活性Transporter activity;D:转录调控因子活性Transcription regulator activity;E:结构分子活性Structural molecule activity;F:ATP依赖的活动ATP-dependent activity;G:分子功能调节活性Molecular function regulator activity;H:分子换能器活性Molecular transducer activity;I:细胞解剖实体Cellular anatomical entity;J:含蛋白质的复合物Protein-containing complex;K:细胞过程Cellular process;L:代谢过程Metabolic process;M:对刺激的反应Response to stimulus;N:生物调控Biological regulation;O:局限化Localization;P:生物过程涉及生物之间的种间相互作用Biological process involved in interspecies interaction between organisms;Q:发展过程Developmental process;R:生殖过程Reproductive process;S:多细胞生物过程Multicellular organismal process;T:稳态过程Homeostatic process"
图6
差异表达基因KEGG富集分析 A:光合作用-天线蛋白Photosynthesis-antenna protein;B:核糖体Ribosome;C:光合生物中的碳固定Carbon fixation in photosynthetic organisms;D:糖酵解/糖原异生Glycolysis/Gluconeogenesis;E:植物-病原体相互作用Plant-pathogen interaction;F:乙醛酸和二羧酸代谢Glyoxylate and dicarboxylate metabolism;G:淀粉和蔗糖代谢Starch and sucrose metabolism;H:磷酸戊糖途径Pentose phosphate pathway;I:果糖和甘露糖代谢Fructose and mannose metabolism;J:MAPK信号通路-植物MAPK signaling pathway-plant;K:丁酸代谢Butanoate metabolism;L:类固醇生物合成Steroid biosynthesis;M:叶酸的一个碳库One carbon pool by folate;N:氰基氨基酸代谢Cyanoamino acid metabolism;O:辅助因子的生物合成Biosynthesis of cofactors;P:磷脂酰肌醇信号系统Phosphatidylinositol signaling system;Q:磷酸肌醇代谢Inositol phosphate metabolism;R:苯丙氨酸、酪氨酸和色氨酸生物合成Phenylalanine, tyrosine and tryptophan biosynthesis;S:光合作用Photosynthesis;T:类胡萝卜素合成Carotenoid biosynthesis"
| [1] |
李雪, 孔祥清, 刘明, 金永玲, 郭永霞, 周园园, 孙明雨. 酿造用高粱土壤处理除草剂筛选. 植物保护, 2022, 48(2): 289-295.
|
|
|
|
| [2] |
doi: 10.1016/j.chemosphere.2019.125514 |
| [3] |
doi: 10.1016/j.envpol.2020.114264 |
| [4] |
马迪, 高熙韧, 孟真, 王燊, 于飞, 李春杰, 滕春红. 苹果酸改性生物炭对水体中莠去津的吸附性能. 农业环境科学学报, https://link.cnki.net/urlid/12.1347.S.20250408.1318.004.
|
|
|
|
| [5] |
|
| [6] |
doi: 10.1016/j.chemosphere.2023.137807 |
| [7] |
彭梁睿. 烟田高风险除草剂的降解特征及消减技术研究[D]. 北京: 中国农业科学院, 2022.
|
|
|
|
| [8] |
doi: 10.1016/j.watres.2024.121113 |
| [9] |
doi: 10.1016/j.apcatb.2020.119229 |
| [10] |
doi: 10.1016/j.chemosphere.2020.129108 |
| [11] |
doi: 10.1016/j.jhazmat.2019.05.029 |
| [12] |
doi: 10.1104/pp.28.4.622 |
| [13] |
朱晓明. 烟草莠去津和硝磺草酮药害缓解措施研究[D]. 北京: 中国农业科学院, 2020.
|
|
|
|
| [14] |
方丽, 李建波. 赤霉素、芸苔素对小麦上甲咪唑烟酸的解毒作用. 农业科技通讯, 2020(11): 87-91.
|
|
|
|
| [15] |
黄嘉鑫. 褪黑素与水杨酸互作缓解甜玉米烟嘧磺隆药害的生理机制[D]. 沈阳: 沈阳农业大学, 2024.
|
|
|
|
| [16] |
陈雪婷, 程璐, 李嘉伦, 张益先, 王绍刚. 2%氨基寡糖素对噻吩磺隆、灭草松、氟磺胺草醚大豆药害的缓解效果. 现代化农业, 2024(8): 11-14.
|
|
|
|
| [17] |
刘变娥, 遇璐, 丑靖宇. 壳寡糖浸种对玉米戊唑醇种衣剂低温药害的缓解效果. 农药, 2021, 60(1): 23-27.
|
|
|
|
| [18] |
doi: 10.1016/j.agwat.2023.108185 |
| [19] |
杨锦. 褐藻降解菌株的筛选、鉴定及褐藻寡糖提高菜心抗旱性的机制[D]. 广州: 华南农业大学, 2021.
|
| [46] |
doi: 10.1007/s00203-022-02905-x |
| [45] |
doi: 10.1016/j.chemosphere.2022.136138 |
| [44] |
|
|
马丽雅, 王亚, 葛静, 生弘杰, 冯发运, 李勇, 李梅, 余向阳. 降解菌Pseudomonas sp. AT2对莠去津胁迫下水稻生长的影响机制. 农药学学报, 2024, 26(1): 140-148.
|
|
| [43] |
|
|
潘声旺, 雷志华, 吴云霄, 杨丽娟, 何茂萍, 曹生宪. 根系分泌物在有机氯农药残留降解过程中的作用. 云南大学学报(自然科学版), 2017, 39(4): 669-676.
|
|
| [42] |
doi: 10.1007/s12010-024-05033-y |
| [41] |
doi: 10.1038/s41579-020-0412-1 |
| [40] |
|
|
李嘉鑫, 李盈, 滕晓瞳, 李聪慧, 李慧, 陆海. 转录组分析毛白杨响应氧化胁迫的基因表达模式变化. 植物学研究, 2018, 7(2): 10.
|
|
| [39] |
|
|
甘林, 兰成忠, 阮妙鸿, 刘晓菲, 黄伟群, 代玉立, 杨秀娟. 抗感玉米自交系对小斑病菌早期侵染反应的转录组分析. 农业生物技术学报, 2023, 31(3): 460-474.
|
|
| [38] |
|
|
李丽. 水稻热激转录因子OsHsf18调控植物抗生物胁迫与非生物胁迫的功能机制研究[D]. 长沙: 湖南农业大学, 2018.
|
|
| [37] |
doi: 10.1016/j.envexpbot.2022.104928 |
| [36] |
doi: 10.1016/j.bbrc.2019.06.116 |
| [35] |
doi: 10.1016/j.plantsci.2018.12.011 |
| [34] |
|
|
张小芳, 王冰冰, 徐燕, 张炜坤, 赵恢, 张锴, 乔亚科, 李桂兰. PEG模拟干旱胁迫下野生大豆转录组分析. 大豆科学, 2018, 37(5): 681-689.
|
|
| [33] |
|
|
李晓艳, 周敬雯, 严铸云, 陈新. 基于转录组测序揭示适度干旱胁迫对丹参基因表达的调控. 中草药, 2020, 51(6): 1600-1608.
|
|
| [32] |
|
| [31] |
doi: 10.1104/pp.99.4.1502 pmid: 16669065 |
| [30] |
doi: 10.1016/j.carbpol.2014.06.079 |
| [29] |
pmid: 14519996 |
| [28] |
|
|
冯长松, 梁志妍, 张晓霞, 杜红旗, 娄治国, 刘磊. 萌发期耐莠去津苜蓿种质资源筛选及评价. 种子, 2023, 42(10): 8-15.
|
|
| [27] |
|
|
赵旭影, 彭梁睿, 李彩斌, 陈建国, 母婷婷, 肖志鹏, 张龙, 张继光, 郜军艺. 典型黄壤烟田莠去津残留降解及烟草致害阈值研究. 安徽农业科学, 2024, 52(5): 85-87, 131.
|
|
| [26] |
|
|
李永芹, 李艳, 许乐乐, 郭锦忠, 周思彤, 王锂韫. 不同微生物肥料处理对穿心莲根际微生物群落结构的影响. 中国土壤与肥料, 2025(4): 63-74.
|
|
| [25] |
|
|
李杨, 吴元华, 管恩森, 王大海, 王晓琳, 孙延国, 石屹, 王程栋, 张彦. 田间烟草株型和叶片光合功能对密植的适应机制. 江苏农业科学, 2022, 50(10): 58-66.
|
|
| [24] |
State Tobacco Monopoly Bureau of the People’s Republic of China. Grade and investigation method of herbicide phytotoxicity in tobacco: YC/T 526—2015[S]. Beijing: Standards Press of China, (2015-02-15) [2025-08-27]. (in Chinese)
|
|
国家烟草专卖局. 烟草除草剂药害分级及调查方法: YC/T 526— 2015[S]. 北京: 中国标准出版社, (2015-02-15) [2025-08-27].
|
|
| [23] |
State Tobacco Monopoly Bureau of the People’s Republic of China. Investigating and measuring methods of agronomical character of tobacco: YC/T 142—2010[S]. Beijing: Standards Press of China, (2010-05-20) [2025-08-27]. (in Chinese)
|
|
国家烟草专卖局. 烟草农艺性状调查测量方法: YC/T 142— 2010[S]. 北京: 中国标准出版社, (2010-05-20) [2025-08-27].
|
|
| [22] |
|
|
郝文波, 李丽春, 韩云, 唐明, 冯秀杰, 张国宾, 万树青. 6种长效除草剂土壤残留致烟草药害症状及其致害临界值. 广东农业科学, 2013, 40(9): 80-82, 89.
|
|
| [21] |
|
|
胡静, 彭守华, 张玉琴, 尉继强, 毛积磊, 邱杰, 胡怡林, 侯丽娟, 叶全. 褐藻寡糖对土壤养分、小麦生长以及根际微生物多样性的影响. 分子植物育种, https://link.cnki.net/urlid/46.1068.S.20240220.1347.009.
|
|
| [20] |
|
|
孙林, 陈春琳, 钟志海, 杨剑超, 刘凯, 兰翔宇, 任承钢, 秦松, 赵辉, 刘正一. 褐藻寡糖对翅碱蓬种子萌发及抗盐胁迫能力的影响. 分子植物育种, 2023, 21(8): 2746-2753.
|
|
| [19] |
|
| [1] | 郑煜, 陈颐, 遆晋松, 史龙飞, 许校博, 李昱霖, 郭瑞. 烟草不同轮作模式碳足迹及经济效益评价[J]. 中国农业科学, 2025, 58(4): 733-747. |
| [2] | 陈娟妮, 陈品璐, 李珏, 谢蒙潇, 李欣蓓, 丁伟. 纳米氧化镁诱导烟草抗青枯病的作用机理[J]. 中国农业科学, 2025, 58(16): 3327-3344. |
| [3] | 赵琳琳, 贺羽茜, 彭杰丽, 王旭, 马佳, 张秀敏, 胡栋. 链霉菌TOR3209及其挥发性有机化合物提高烟草抗木贼镰孢的能力[J]. 中国农业科学, 2025, 58(11): 2162-2175. |
| [4] | 彭治鑫, 张希芬, 韩小斌, 司国栋, 徐康文, 张成省. 脂肪酸类天然产物2E,4E-癸二烯酸对烟草根际微生物群落的影响[J]. 中国农业科学, 2024, 57(18): 3601-3611. |
| [5] | 高晓晓, 涂丽琴, 杨柳, 刘亚楠, 高丹娜, 孙枫, 李硕, 章松柏, 季英华. 基于基因组序列分析的烟草轻绿花叶病毒江苏辣椒分离物侵染性克隆构建[J]. 中国农业科学, 2023, 56(8): 1494-1502. |
| [6] | 望锦, 刘艳芳, 刘文文, 王雅琦, 宋时洋, 张幸子, 李凤霞. sua-CMS烟草不育系COXⅡ的功能分析[J]. 中国农业科学, 2023, 56(16): 3077-3087. |
| [7] | 裴悦宏,李凤巍,刘维娜,温玉霞,朱鑫,田绍锐,樊光进,马小舟,孙现超. 本氏烟半胱氨酸蛋白酶基因家族特征及其在TMV侵染中的功能[J]. 中国农业科学, 2022, 55(21): 4196-4210. |
| [8] | 温玉霞,张坚,王琴,王靖,裴悦宏,田绍锐,樊光进,马小舟,孙现超. 本氏烟NbMBF1c的克隆、表达及在TMV侵染过程中的功能[J]. 中国农业科学, 2022, 55(18): 3543-3555. |
| [9] | 陈茜,刘英杰,董勇浩,刘金燕,李炜,徐蓬军,臧云,任广伟. 黄瓜花叶病毒侵染烟草对烟蚜生长发育、取食和选择行为的影响[J]. 中国农业科学, 2021, 54(8): 1673-1683. |
| [10] | 徐翔,解屹,宋丽云,申莉莉,李莹,王勇,刘明宏,刘东阳,王小彦,赵存孝,王凤龙,杨金广. 高效靶向降解烟草花叶病毒核酸的dsRNA筛选与大量制备[J]. 中国农业科学, 2021, 54(6): 1143-1153. |
| [11] | 刘昌云,李欣羽,田绍锐,王靖,裴悦宏,马小舟,樊光进,汪代斌,孙现超. 番茄SlN-like的克隆、表达与抗病毒功能[J]. 中国农业科学, 2021, 54(20): 4348-4357. |
| [12] | 魏艳侠,李卓然,张斌,苑瑜瑾,于玮玮,常若葵,王远宏. 贝莱斯芽孢杆菌LJ02中植物免疫蛋白的筛选及其功能[J]. 中国农业科学, 2021, 54(16): 3451-3460. |
| [13] | 赵雪,王锋,王文静,刘晓峰,卞士权,刘艳华,刘新民,杜咏梅,张忠锋,张洪博. 烟草PR3b转录后剪切元件NRSE1与GUS融合表达后的可变剪切[J]. 中国农业科学, 2020, 53(8): 1524-1531. |
| [14] | 贾海燕,宋丽云,徐翔,解屹,张超群,刘天波,赵存孝,申莉莉,王杰,李莹,王凤龙,杨金广. 不同温度下TMV侵染枯斑三生烟的LncRNA差异表达[J]. 中国农业科学, 2020, 53(7): 1381-1396. |
| [15] | 向顺雨,王靖,谢中玉,施焕,曹哲,江龙,马小舟,汪代斌,张帅,黄进,孙现超. 一种新型银纳米颗粒的制备及其抑制烟草赤星病菌的机制[J]. 中国农业科学, 2020, 53(14): 2885-2896. |
|
||