





中国农业科学 ›› 2026, Vol. 59 ›› Issue (1): 41-56.doi: 10.3864/j.issn.0578-1752.2026.01.004
费耀莹1(
), 王迪2, 唐伟杰3,4, 郭彩丽1, 张小虎1, 邱小雷1, 程涛1, 姚霞1,4, 江冲亚1, 朱艳1, 曹卫星1, 郑恒彪1,4,*(
)
收稿日期:2025-06-12
接受日期:2025-10-22
出版日期:2026-01-07
发布日期:2026-01-07
通信作者:
联系方式:
费耀莹,E-mail:faye09010618@163.com。
基金资助:
FEI YaoYing1(
), WANG Di2, TANG WeiJie3,4, GUO CaiLi1, ZHANG XiaoHu1, QIU XiaoLei1, CHENG Tao1, YAO Xia1,4, JIANG ChongYa1, ZHU Yan1, CAO WeiXing1, ZHENG HengBiao1,4,*(
)
Received:2025-06-12
Accepted:2025-10-22
Published:2026-01-07
Online:2026-01-07
摘要:
【目的】水稻籽粒蛋白质含量(grain protein content,GPC)是衡量稻米品质和商品价值的重要指标。建立快速、无损的水稻GPC估测方法,旨在为作物智慧育种提供理论依据和技术支持。【方法】采用无人机搭载RGB相机和多光谱相机,于2022—2023年获取522份水稻育种材料抽穗-成熟期的RGB和多光谱影像及实测GPC数据。利用Gram-Schmidt图像融合方法对RGB和多光谱影像进行处理得到融合影像,并结合基于原始多光谱图像提取的光谱特征和纹理特征,采用随机森林(random forest,RF)、极限梯度提升机(extreme gradient boosting,XGBoost)、梯度提升回归(gradient boosting regression,GBR)3种机器学习回归算法构建GPC估测模型。【结果】RGB影像的红波段包含更丰富的图像信息,经过该波段融合后的植被指数与GPC的相关性均高于由原始多光谱影像计算的植被指数。均值纹理(Mean)在纹理指数构建中出现频率最高(占比63.16%),其中MEA560-MEA840指数与不同类型水稻的GPC具有一定的相关性(淮安常规粳稻:|r2|=0.28;如皋杂交粳稻:|r2|=0.20)。以多光谱图像特征、纹理特征和融合图像特征作为输入参数组合构建的水稻GPC估测模型,在抽穗期(R2 cal=0.64)和成熟期(R2 cal=0.70)的精度高于灌浆期模型(R2 cal=0.53)。相较于使用原始影像特征,结合融合影像特征提高了GPC的估测精度(ΔR2 cal=0.08-0.26)。RF构建的年际模型精度高于XGBoost和GBR模型(RF:R2 val=0.74,RMSE=0.21%;XGBoost:R2 val=0.58,RMSE=0.23%;GBR:R2 val=0.42,RMSE=0.23%)。【结论】结合无人机影像融合技术和机器学习方法能有效提高水稻育种材料GPC的估测精度,研究结果可为大规模水稻品质参数精准估算提供理论参考和有效途径。
费耀莹, 王迪, 唐伟杰, 郭彩丽, 张小虎, 邱小雷, 程涛, 姚霞, 江冲亚, 朱艳, 曹卫星, 郑恒彪. 基于无人机多源影像融合的水稻籽粒蛋白质含量估测[J]. 中国农业科学, 2026, 59(1): 41-56.
FEI YaoYing, WANG Di, TANG WeiJie, GUO CaiLi, ZHANG XiaoHu, QIU XiaoLei, CHENG Tao, YAO Xia, JIANG ChongYa, ZHU Yan, CAO WeiXing, ZHENG HengBiao. Estimation of Rice Grain Protein Content Using Fusion Imagery from UAV-based Multi-Sensors[J]. Scientia Agricultura Sinica, 2026, 59(1): 41-56.
表1
田间试验概况"
| 地点 Site | 播种时间 Sowing time | 品种 Variety | 株行距 plant and row spacing | 面积 Area (m2) | 小区个数 Number of plots |
|---|---|---|---|---|---|
| 如皋 Rugao | 2022-05-15 | 常规粳稻 Conventional Japonica rice 杂交粳稻 Hybrid Japonica rice | 20 cm×20 cm | 3.60 | 240 |
| 2023-05-10 | 常规粳稻 Conventional Japonica rice 杂交粳稻 Hybrid Japonica rice | 20 cm×30 cm | 5.20 | 240 | |
| 淮安 Huaian | 2023-05-10 | 常规粳稻 Conventional Japonica rice | 20 cm×20 cm | 10.75 | 297 |
表3
本研究中所用的光谱参数"
| 光谱参数 Spectral parameter | 名称 Name | 公式 Formula | 参考文献 Reference |
|---|---|---|---|
| NDRE | 归一化差值红边指数 Normalized difference red-edge index | $\mathrm{NDRE}=\frac{\mathrm{R}_{840}-\mathrm{R}_{717}}{\mathrm{R}_{840}+\mathrm{R}_{717}}$ | [ |
| CIrededge | 红边叶绿素指数 Red-edge chlorophyll index | $\mathrm{CI}_{\text {rededge }}=\frac{\mathrm{R}_{840}}{\mathrm{R}_{717}}-1$ | [ |
| CIgreen | 绿度叶绿素指数 Green chlorophyll index | $\mathrm{CI}_{\text {green }}=\frac{\mathrm{R}_{717}}{\mathrm{R}_{560}}-1$ | [ |
| NDYI | 归一化差值黄度指数 Normalized difference yellowness index | $\mathrm{NDYI}=\frac{\mathrm{R}_{560}-\mathrm{R}_{475}}{\mathrm{R}_{560}+\mathrm{R}_{475}}$ | [ |
| EVI2 | 增强型植被指数2 Enhanced vegetation index 2 | $\mathrm{EVI} 2=\frac{2.5 \times\left(\mathrm{R}_{840}-\mathrm{R}_{717}\right)}{\mathrm{R}_{840}+6 \times \mathrm{R}_{668}-7.5 \times \mathrm{R}_{475}+1}$ | [ |
| MCARI | 修正型叶绿素吸收反射指数 Modified chlorophyll absorption reflectance index | $M C A R I=\left[\left(R_{717}-R_{668}\right)-0.2 \times\left(R_{717}-R_{560}\right)\right] \times\left(\frac{R_{717}}{R_{668}}\right)$ | [ |
| SAVI | 土壤调节植被指数 Soil adjusted vegetation index | $\mathrm{SAVI}=\frac{1.5 \times\left(\mathrm{R}_{840}-\mathrm{R}_{668}\right)}{\mathrm{R}_{840}+\mathrm{R}_{668}+0.5}$ | [ |
| DATT | 达特指数 Datt vegetation index | $\mathrm{DATT}=\frac{\mathrm{R}_{840}-\mathrm{R}_{717}}{\mathrm{R}_{840}-\mathrm{R}_{668}}$ | [ |
| DVI | 差值植被指数 Difference vegetation index | $\mathrm{DVI}=\mathrm{R}_{840}-\mathrm{R}_{668}$ | [ |
| GNDVI | 绿度归一化差值植被指数 Green normalized difference vegetation index | $\text { GNDVI }=\frac{R_{840}-R_{560}}{R_{840}+R_{560}}$ | [ |
| OSAVI | 优化型土壤调节植被指数 Optimized soil adjusted vegetation index | $\text { OSAVI }=\frac{R_{840}-R_{668}}{R_{840}+R_{668}+0.16}$ | [ |
| SIPI | 结构不敏感色素指数 Structure-intensive pigment index | $\text { SIPI }=\frac{R_{840}-R_{475}}{R_{840}+R_{668}}$ | [ |
| SRPI | 简单比值色素指数 Simple ratio pigment index | $\mathrm{SRPI}=\frac{\mathrm{R}_{475}}{\mathrm{R}_{668}}$ | [ |
表4
数据集划分"
| 模型 Model | 年份 Year | 类型 Type | 数据集描述 Dataset description | 样本数量 Number |
|---|---|---|---|---|
| 机器学习 Machine learning | 2023 | 常规粳稻 Conventional Japonica Rice | 训练集 Training set | 105 |
| 验证集 Validation set | 45 | |||
| 杂交粳稻 Hybrid Japonica Rice | 训练集 Training set | 80 | ||
| 验证集 Validation set | 34 | |||
| 交叉验证 Cross validation | 2023 | 常规粳稻 Conventional Japonica Rice | 训练集 Training set | 103 |
| 验证集 Validation set | 44 | |||
| 杂交粳稻 Hybrid Japonica Rice | 训练集 Training set | 60 | ||
| 验证集 Validation set | 26 | |||
| 年际验证 Inter-annual validation | 2022 | 杂交粳稻 Hybrid Japonica Rice | 训练集 Training set | 200 |
| 2023 | 杂交粳稻 Hybrid Japonica Rice | 验证集 Validation set | 200 |
表5
不同年份、区域的水稻GPC描述性统计结果"
| 类型 Type | 地点 Site | 年份 Year | 均值 Mean | 最大值 Max | 最小值 Min | 中位数 Median | 标准差 Standard deviation | 变异系数 Coefficient of variation (%) | ||||
|---|---|---|---|---|---|---|---|---|---|---|---|---|
| 常规粳稻 Conventional Japonica rice | 如皋 Rugao | 2022 | 6.64 | 7.80 | 5.67 | 6.62 | 0.58 | 0.09 | ||||
| 淮安 Huaian | 2023 | 7.11 | 8.02 | 6.07 | 7.14 | 0.47 | 0.07 | |||||
| 如皋 Rugao | 2023 | 8.61 | 10.41 | 6.97 | 8.49 | 0.98 | 0.11 | |||||
| 杂交粳稻 Hybrid Japonica rice | 如皋 Rugao | 2022 | 7.04 | 10.38 | 5.40 | 6.83 | 0.97 | 0.14 | ||||
| 2023 | 9.08 | 11.97 | 6.70 | 9.12 | 1.21 | 0.13 | ||||||
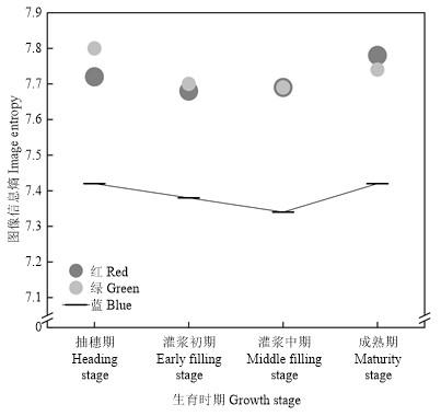
表6
基于红、绿波段融合的图像综合评价"
| 时期 Period | 波段 Band | 峰值信噪比 PSNR | 结构相似性指数 SSIM | 归一化均方根误差NRMSE | 空间频率 SF | 标准差 SD | 平均梯度 AG | ||||
|---|---|---|---|---|---|---|---|---|---|---|---|
| 抽穗期 Heading | 红 Red | 12.09 | 0.70 | 0.26 | 32.06 | 31.39 | 18.36 | ||||
| 绿 Green | 8.44 | 0.59 | 0.39 | 15.04 | 14.43 | 8.42 | |||||
| 灌浆初期 Early filling | 红 Red | 9.86 | 0.62 | 0.36 | 16.12 | 15.75 | 8.85 | ||||
| 绿 Green | 8.92 | 0.41 | 0.32 | 16.34 | 15.82 | 8.80 | |||||
| 灌浆中期 Middle filling | 红 Red | 12.09 | 0.61 | 0.26 | 32.06 | 31.39 | 18.36 | ||||
| 绿 Green | 9.73 | 0.49 | 0.33 | 13.01 | 12.84 | 7.29 | |||||
| 成熟期 Maturity | 红 Red | 10.05 | 0.67 | 0.34 | 18.61 | 17.44 | 10.64 | ||||
| 绿 Green | 9.55 | 0.58 | 0.32 | 18.31 | 15.25 | 9.31 | |||||
表7
单时相GPC估测建模和验证精度"
| 生育时期 Period | 参数 Parameter | R2 | RF | XGBoost | GBR | |||
|---|---|---|---|---|---|---|---|---|
| 淮安 Huaian | 如皋 Rugao | 淮安 Huaian | 如皋 Rugao | 淮安 Huaian | 如皋 Rugao | |||
| 抽穗开花期 Heading | 植被指数、纹理指数 Vegetation index、Texture index | 建模R2 cal Calibration R2 cal | 0.54 | 0.49 | 0.55 | 0.68 | 0.48 | 0.34 |
| 验证R2 val Validation R2 val | 0.29 | 0.39 | 0.54 | 0.67 | 0.38 | 0.08 | ||
| 融合指数、纹理指数 Fusion index、Texture index | 建模R2 cal Calibration R2 cal | 0.56 | 0.78 | 0.64 | 0.64 | 0.63 | 0.60 | |
| 验证R2 val Validation R2 val | 0.41 | 0.73 | 0.33 | 0.55 | 0.42 | 0.46 | ||
| 灌浆初期 Early filling | 植被指数、纹理指数 Vegetation index、Texture index | 建模R2 cal Calibration R2 cal | - | 0.44 | - | 0.79 | - | 0.26 |
| 验证R2 val Validation R2 val | - | 0.42 | - | 0.74 | - | 0.21 | ||
| 融合指数、纹理指数 Fusion index、Texture index | 建模R2 cal Calibration R2 cal | - | 0.76 | - | 0.62 | - | 0.41 | |
| 验证R2 val Validation R2 val | - | 0.74 | - | 0.58 | - | 0.40 | ||
| 灌浆中期 Middle filling | 植被指数、纹理指数 Vegetation index、Texture index | 建模R2 cal Calibration R2 cal | 0.42 | 0.42 | 0.46 | 0.80 | 0.30 | 0.13 |
| 验证R2 val Validation R2 val | 0.28 | 0.32 | 0.20 | 0.65 | 0.18 | 0.08 | ||
| 融合指数、纹理指数 Fusion index、Texture index | 建模R2 cal Calibration R2 cal | 0.44 | 0.78 | 0.53 | 0.73 | 0.45 | 0.62 | |
| 验证R2 val Validation R2 val | 0.33 | 0.74 | 0.37 | 0.66 | 0.31 | 0.49 | ||
| 成熟期 Maturity | 植被指数、纹理指数 Vegetation index、Texture index | 建模R2 cal Calibration R2 cal | 0.31 | 0.47 | 0.32 | 0.75 | 0.30 | 0.42 |
| 验证R2 val Validation R2 val | 0.26 | 0.44 | 0.28 | 0.72 | 0.23 | 0.14 | ||
| 融合指数、纹理指数 Fusion index、Texture index | 建模R2 cal Calibration R2 cal | 0.46 | 0.76 | 0.70 | 0.62 | 0.48 | 0.53 | |
| 验证R2 val Validation R2 val | 0.29 | 0.75 | 0.51 | 0.51 | 0.33 | 0.37 | ||
表8
多时相GPC估测建模和验证精度"
| 参数 Parameter | R2 | RF | XGB | GBR | |||||||
|---|---|---|---|---|---|---|---|---|---|---|---|
| 淮安 Huaian | 如皋 Rugao | 淮安 Huaian | 如皋 Rugao | 淮安 Huaian | 如皋 Rugao | ||||||
| 植被指数、纹理指数 Vegetation index、Texture index | 建模R2 cal Calibration R2 cal | 0.41 | 0.48 | 0.42 | 0.46 | 0.30 | 0.69 | ||||
| 验证R2 val Validation R2 val | 0.26 | 0.35 | 0.32 | 0.38 | 0.28 | 0.48 | |||||
| 融合指数、纹理指数 Fusion index、Texture index | 建模R2 cal Calibration R2 cal | 0.47 | 0.76 | 0.62 | 0.64 | 0.51 | 0.53 | ||||
| 验证R2 val Validation R2 val | 0.34 | 0.74 | 0.39 | 0.58 | 0.35 | 0.42 | |||||
| [1] |
doi: 10.1016/j.eja.2021.126405 |
| [2] |
doi: 10.1016/j.compag.2023.108147 |
| [3] |
doi: 10.1016/j.fcr.2022.108735 |
| [4] |
王宇唯, 马旭, 谭穗妍, 贾兴娜, 陈嘉盈, 秦亦娟, 胡希红, 郑惠文. 无人机遥感与地面观测的多模态数据融合反演水稻氮含量. 农业工程学报, 2024, 40(18): 100-109.
|
|
|
|
| [5] |
doi: 10.1016/j.fcr.2023.108858 |
| [6] |
doi: 10.1016/j.compag.2023.108008 |
| [7] |
doi: 10.1016/j.isprsjprs.2022.09.015 |
| [8] |
doi: 10.1016/j.isprsjprs.2023.10.018 |
| [9] |
doi: 10.1016/j.rse.2017.06.008 |
| [10] |
doi: 10.1016/j.compag.2021.106421 |
| [11] |
doi: 10.1016/j.eja.2025.127534 |
| [12] |
doi: 10.1016/j.compag.2024.109022 |
| [13] |
张良培, 沈焕锋. 遥感数据融合的进展与前瞻. 遥感学报, 2016, 20(5): 1050-1061.
|
|
doi: 10.11834/jrs.20166243 |
|
| [14] |
doi: 10.3390/rs15030854 |
| [15] |
doi: 10.3390/agriculture14101797 |
| [16] |
doi: 10.1016/j.fcr.2021.108419 |
| [17] |
刘吉凯, 王伟强, 苏祥祥, 李军, 年颖, 祝雪晴, 马强, 李新伟. 基于无人机多光谱影像和机器学习的水稻产量与氮素利用率预测. 农业工程学报, 2025, 41(20): 127-138.
|
|
|
|
| [18] |
doi: 10.3389/fpls.2018.00936 pmid: 30034405 |
| [19] |
doi: 10.1016/j.fcr.2023.108823 |
| [20] |
doi: 10.1016/j.compag.2023.108259 |
| [21] |
doi: 10.1016/j.fcr.2023.109175 |
| [22] |
doi: 10.1016/j.fcr.2010.01.010 |
| [23] |
doi: 10.1078/0176-1617-00887 pmid: 12749084 |
| [24] |
doi: 10.1016/j.rse.2016.06.016 |
| [25] |
doi: 10.1016/j.rse.2008.06.006 |
| [26] |
doi: 10.1016/S0034-4257(00)00113-9 |
| [27] |
doi: 10.1016/0034-4257(88)90106-X |
| [28] |
doi: 10.1016/S0176-1617(99)80314-9 |
| [29] |
|
| [30] |
doi: 10.1016/S0176-1617(11)81633-0 |
| [31] |
doi: 10.1016/S0034-4257(97)00114-4 |
| [32] |
|
| [33] |
doi: 10.3390/rs12060957 |
| [34] |
doi: 10.1016/j.eswa.2021.115222 |
| [35] |
李树涛, 李聪妤, 康旭东. 多源遥感图像融合发展现状与未来展望. 遥感学报, 2021, 25(1): 148-166.
|
|
doi: 10.11834/jrs.20210259 |
|
| [36] |
doi: 10.3390/rs11151809 |
| [37] |
doi: 10.1016/j.scib.2023.01.026 |
| [38] |
doi: 10.1016/j.jag.2020.102177 |
| [39] |
doi: 10.1016/j.compag.2021.106491 |
| [40] |
刘骁驰, 黄向阳, 金明, 李思齐, 唐子竣, 向友珍, 李志军, 张富仓. 融合无人机多光谱与纹理特征解析开花期大豆叶片氮浓度的垂直分布. 农业工程学报, 2025, 41(14): 174-183.
|
|
|
|
| [41] |
doi: 10.1016/j.rse.2021.112353 |
| [42] |
doi: 10.1016/j.rse.2022.113284 |
| [43] |
doi: 10.1016/j.eja.2024.127388 |
| [44] |
doi: 10.1016/j.rse.2019.111240 |
| [45] |
doi: 10.1016/j.rse.2020.112173 |
| [1] | 彭廷燊, 陆久焱, 吴美林, 严雨欣, 刘宏周, 南文斌, 秦小健, 李明, 龚俊义, 梁永书. 多年生水稻黄糯2号和长白7号产量相关性状的QTL分析[J]. 中国农业科学, 2026, 59(7): 1361-1379. |
| [2] | 张卫建, 严圣吉, 尚子吟, 唐志伟, 吴柳格, 李佳锐, 陈浩天, 邓艾兴, 张俊, 张鑫, 郑成岩, 宋振伟. 稻田甲烷不完全源于水稻种植的人为贡献[J]. 中国农业科学, 2026, 59(4): 824-833. |
| [3] | 陈敏, 焦紫岚, 乔承彬, 许昊, 张碧, 马东花, 孔维儒, 王敬文, 宋佳伟, 罗成科, 李培富, 田蕾. 不同亚种水稻种质资源对盐胁迫的形态生理响应及适应策略[J]. 中国农业科学, 2026, 59(4): 705-722. |
| [4] | 郭富城, 唐海江, 郝馨怡, 马国林, 杨九菊, 黄霖锋, 田蕾, 王彬, 罗成科. 不同灌溉方式对宁夏盐渍化土壤水盐运移、水稻产量及水分利用效率的影响[J]. 中国农业科学, 2026, 59(4): 750-764. |
| [5] | 钱瑾, 李映雪, 吴芳, 邹晓晨. 集成光谱降维的冬小麦叶片磷含量估算[J]. 中国农业科学, 2026, 59(4): 781-792. |
| [6] | 朱姝, 国志鹏, 孙颖. 水稻雷帕霉素靶蛋白OsTOR调控根伸长的功能研究[J]. 中国农业科学, 2026, 59(3): 475-485. |
| [7] | 吕文彦, 程海涛, 马兆惠, 田淑华. 育种新时代水稻杂交育种技术与策略探讨[J]. 中国农业科学, 2026, 59(2): 233-238. |
| [8] | 廖婷璐, 石亚飞, 肖东浩, 舍杨梦斐, 郭富城, 杨九菊, 唐海江, 罗成科. 外源硝普钠对碱胁迫下水稻幼苗糖代谢的影响[J]. 中国农业科学, 2026, 59(2): 265-277. |
| [9] | 刘天生, 刘耕源, 赵安琪, 杨旭, 蔡明雪, 杨艾文, 娄铭轩, 李沐恺, 王晗, 张亚玲. 黑龙江省水稻恶苗病致病群体[J]. 中国农业科学, 2026, 59(2): 305-321. |
| [10] | 王忠妮, 雷月, 李佳丽, 宫彦龙, 朱速松. ABC转运蛋白OsARG1调控水稻抽穗期的功能[J]. 中国农业科学, 2026, 59(1): 1-16. |
| [11] | 董桂春, 王子涵, 王树深, 李杰, 霍晓晴, 杨瑞, 周娟, 舒小伟, 李妍, 曹靓婧, 王子瑞, 姚友礼, 黄建晔. 硫包衣缓释肥提升水稻产量及氮肥利用率的技术途径[J]. 中国农业科学, 2026, 59(1): 57-77. |
| [12] | 王爱冬, 李瑞杰, 冯向前, 洪卫源, 李子秋, 张晓果, 王丹英, 陈松. 基于多角度成像与机器学习的水稻叶面积精确估算[J]. 中国农业科学, 2025, 58(9): 1719-1734. |
| [13] | 韦萍, 潘炬忠, 朱德平, 邵胜雪, 陈珊珊, 韦雅倩, 高维维. OsDREB1J调控水稻籽粒大小的功能研究[J]. 中国农业科学, 2025, 58(8): 1463-1478. |
| [14] | 刘劲松, 伍龙梅, 包晓哲, 刘志霞, 张彬, 杨陶陶. 短期减施氮肥对华南地区早晚兼用型水稻产量和稻米品质的影响[J]. 中国农业科学, 2025, 58(8): 1508-1520. |
| [15] | 王彬, 吴朋浩, 鲁剑巍, 任涛, 丛日环, 陆志峰, 李小坤. 长江中游地区水稻-油菜轮作体系需水特征[J]. 中国农业科学, 2025, 58(7): 1355-1365. |
|
||